ПРИЛОЖЕНИЕ 5. Протоиерей Александр Классен968. ИСТОРИЧЕСКОЕ ВВЕДЕНИЕ В КНИГУ ПРОРОКА АВВАКУМА969
«На стражу мою встал я и, стоя на башне, наблюдал, чтобы узнать, что скажет Он во мне и что мне отвечать по жалобе моей?»970 – эти действия пророка Аввакума ставят его в редкий ряд людей-богоборцев, таких как патриарх Иаков и многострадальный Иов. Пророк высказывает Богу свою жалобу, а затем, взойдя на башню, ждет ответа. Жалоба Аввакума – это не смиренное обращение просителя. Пророк требует от Бога ответа на мучительный для него вопрос: почему Бог допускает зло в мире, и, в частности, среди его собственного народа? Римский поэт Децим Юний Ювенал сказал когда-то: facet indignatio versum (лат.) – негодование рождает красноречие. Боль и переживание за свой народ, страдающий от нечестивых злодеев, горение в костях и сердце пророка в сочетании с собственным поэтическим складом ума породили книгу пророка Аввакума – произведение оригинальное по стилю и литературным качествам, и необыкновенно сильное в плане религиозном. Пророчество Аввакума содержит описание двух этических проблем и песнь-псалом, завершающий книгу. Первые четыре стиха первой главы формируют первую проблему. Бог, Аввакум и злодейство – вот персонажи этой драмы. Почему Ягве терпит нетерпимое? Как можно терпеть злодейство, разрушающее закон и суд? «Доколе, Господи, я буду взывать, и Ты не слышишь, буду вопиять к Тебе о насилии, и Ты не спасаешь? Для чего даешь мне видеть злодейство и смотреть на бедствия? Грабительство и насилие предо мною, и восстает вражда, и поднимается раздор. От этого закон потерял силу, и суда правильного нет: так как нечестивый одолевает праведного, то и суд происходит превратный»971. Похоже, что у пророка свой взгляд на проблему нечестия, и она отличается от той, что у Ягве. Пророк чувствует, что его взгляд на эту проблему – правильный, и хочет услышать Божий ответ.
Орудие Божие – халдеи, поднимутся, чтобы наказать нечестивых. Еще не разрешена первая проблема, как возникает вторая. Пророческому взору представляется, как народ жестокий и необузданный разрушает страну его. Возмездие слишком жестоко и ужасно. Оно простирается не только на злодеев, но и на праведных. «Для чего же Ты смотришь на злодеев и безмолвствуешь, когда нечестивец поглощает того, кто праведнее его, и оставляешь людей как рыбу в море, как пресмыкающихся, у которых нет властителя?»972.
На башне стоит пророк и ждет, когда же Ягве укажет ему путь на выход из трагических противоречий этого мира. Ответ он получает краткий и, на первый взгляд, загадочный: «праведный своею верою жив будет»973. Необходимо быть терпеливым, не терять надежды и веры в Бога. Solvitur ambulando (лат.) – дорогу осилит идущий. Только так, практически, через жизненный опыт можно понять и усвоить уроки, которые дает нам Создатель. Заключительная песнь Аввакума показывает, что свет озарил душу пророка. Сомнения его разрешены, и он готов встретить любые трудности, если Ягве не оставит его.
ПРОРОК
Имя пророка חבקוק – редкое для иврита слово. С ним связана лингвистическая проблема, породившая несколько вариантов его происхождения. В масоретском тексте слово имеет точку (дагеш) в третьей букве «куф». Однако текст LXX, более древний, чем масоретские огласовки, предлагает по-гречески чтение Αμβακουμ. На иврите сочетание μβ обозначается буквой «бет» с дагешем. Если принять, что масореты неточно передали звучание слова, то возможен вариант חבקוק с дагешем во второй букве. Но такого слова нет в иврите и тогда это слово, возможно, заимствовано из другого языка. Немецкий библеист 19 века Franz Delitsch, а вслед за ним целый ряд ученых вплоть до нашего времени производят имя пророка от аккадского hambaququ, обозначающее садовое растение. Такой подход позволяет допустить сильное иностранное влияние на Израиль, какое возможно было лишь в позднее время, когда евреи стали носить не только свои – еврейские имена, но и имена тех народов, с которыми они входили в ближайшее соприкосновение974.
Некоторые древние раввины производили имя пророка из еврейского слова חבקת – «обнимать», употребленного в 4Цар. 4:16. С ними согласен и блж. Иероним, который пишет: «Прежде всего нам необходимо знать, что у Греков и Латинян имя пророка неправильно читается Амбакум; это имя у Евреев читается Абакук и понимается в смысле объятие, или, как более выразительно на греческом мы будем употреблять: περιληψις, т.е. обхватывание»975. В другом месте блж. Иероним дает еще одно обоснование своей позиции: «В настоящее же время у нас в руках Аввакум, который называется объятие или потому, что он есть возлюбленный Господень, или потому, что он вступает в спор, в борьбу и, так сказать, в рукопашное состязание с Богом, так что имя его происходит от состязателя, т.е. обхватывающего противника руками. Ибо никто не осмеливался столь дерзновенным голосом призывать Бога к разрешению спора о справедливости и говорить Ему: «Почему в делах человеческих и в устроении этого мира находится столь много несправедливости?»976.
Еще одно мнение встречаем у F.Е.Peiser, который на основании сходства фразеологии у Аввакума (1:14; 2:2, 9–14) и у автора «Эпоса о Гильгамеше», особенно в рассказе о потопе, делает вывод, что Аввакум был знаком с ассировавилонской литературой в ее клинописной форме. Далее Peiser делает вывод о том, что имя pipan – это псевдоним, а сам автор происходит из царского рода, возможно, является сыном или внуком Манассии и был увезен в Ниневию во время первой атаки мидян и вавилонян на этот город977.
Дважды в тексте книги мы встречаем слово נביא Именно в 1:1 и 3:1 Аввакум называет себя пророком, и это все, что писатель сообщает о себе. Видимо, из-за недостатка сведений о пророке, в апокрифической литературе иудеев и христианизированных вариантах иудейских преданий появляется ряд портретов Аввакума.
ИУДЕЙСКОЕ ПРЕДЛНИЕ
В 14 главе книги пророка Даниила, являющейся неканоническим добавлением, есть рассказ о том, как пророк был брошен в львиный ров и Ангел Господень послал к Даниилу пророка Аввакума. «Был в Иудее пророк Аввакум, который, сварив похлебку и накрошив хлеба в блюдо, шел на поле, чтобы отнести это жнецам. Но Ангел Господень сказал Аввакуму: отнеси этот обед, который у тебя, в Вавилон к Даниилу, в ров львиный. Аввакум сказал: господин! Вавилона я никогда не видал и рва не знаю. Тогда Ангел Господень взял его за темя и, подняв его за волосы головы его, поставил его в Вавилоне над рвом силою духа своего. И воззвал Аввакум и сказал: Даниил! Даниил! Возьми обед, который Бог послал тебе. Даниил сказал: вспомнил Ты обо мне, Боже, и не оставил любящих Тебя. И встал Даниил и ел: Ангел же Божий мгновенно поставил Аввакума на его место».978 Таким образом Аввакум сделан современником пророка Даниила. В Септуагинте имеем к рассказу о «Виле и Драконе» подзаголовок, где Аввакум назван сыном Иисуса из колена Левин. Основываясь на этих сведениях, некоторые исследователи (Delitsch, Baumgartner) говорят о левитском происхождении пророка и о принадлежности его к левитскому хору979. Архиепископ Варфоломей (Ремов) в своей магистерской диссертации, посвященной книге пророка Аввакума, говорит о том, что «нет никаких оснований считать пророка Аввакума, автора нашей книги, и пророка Аввакума, о котором говорится в «Βηλ καιΔρακων»980, за одно и то же лицо. Для нас весьма знаменательно, что Св. Церковь в Богослужении своем не дает оснований к такому отожествлению»981.
В главе «Погонщик осла» книги Зогар982 мы встречаем следующую легенду. «Устрашился рабби Шимон и заплакал. Воскликнул: «Творец, услышал я весть Твою, испугался». Эти слова произнес Хавакук в час, когда познал смерть, а Элиша вернул его к жизни. И дано ему имя Хавакук, как сказано: «Ровно через год, в это же время, ты будешь обнимать (חבקת) сына». Ибо Хавакук был сыном Шунамитянки. И было два объятия (חבוקים): одно – его матери, а другое – Элиши, как сказано: «Приложил он уста свои к его устам»983. Так книга Зогар объясняет редупликацию двух последних коренных имени Хавакук. Имя пророка имеет тот же корень, что и слово «обнимать» (חבקת). На основании этого совпадения иудейское предание отождествляет сына Сунамитянки с пророком Аввакумом. Таким образом, время жизни пророка соотносится с периодом служения пророка Елисея (IX в. до Р.Х.).
В иудейской хронологии Seder ‘Olam Rabbah (II–III вв. по Р.Х.) указывается время служения Аввакума в период царствования Манассии.
ХРИСТИАНСКОЕ ПРЕДАНИЕ984
В «Житиях пророков», одна редакция которой приписывается св. Епифанию Кипрскому, другая – Дорофею, а третья – Исихию Иерусалимскому, Аввакум был из Симеонова колена, и родился в городке Βηζζουχαρ (Βηζζουχαρ у Епифания, Βηθιτουχαρια у Дорофея, Βηδζουχαρ у Епифания во второй рецензии, Βεθουχαρ у Исихия и Βαιθζαχαρ в греческих минеях985). Город этот предположительно находился в пределах земли Иудиной986. Во время осады Иерусалима Навуходоносором Аввакум бежал в город Оотракт) в Египте и пребывал там, пока халдеи не отступили от города. После этого он вернулся в Иудею и жил там, возделывая землю. Умер пророк за два года до указа царя Кира о восстановлении Храма. Говорится в житии также о чудесном посещении Вавилона и о том, что пророк предсказал скорое освобождение из плена иудеев.
Гроб пророка показывали во времена Евсевия при Келе или Киле в Палестине в колене Иудином, в 8-ми милях от Елевферополя. Но в средние века и даже позднее в 18 в. Иудеи указывали место погребения в селении Иакук в Галилее, недалеко от Сафета, в колене Невфалимовом987. В современном Израиле – это арабская деревня Яакук. Видимо, по сходству с именем пророка это место стали отождествлять с местом его кончины.
Другое предполагаемое место называют в Иране, в городе Туйсеркане, где построен мавзолей пророка Аввакума. Туйсеркан был основан на руинах древнего города Раудавар, разрушенного монгольскими войсками, в первой половине XIII века. Там по преданию и был похоронен пророк Аввакум (проведший последние годы жизни в близлежащей Экбатане)988.

Предполагаемое место захоронения пророка Аввакума в деревне Яакук

Мавзолей пророка Аввакума в Туйсеркане (Иран)
АВТОРСТВО И ВРЕМЯ НАПИСАНИЯ КНИГИ
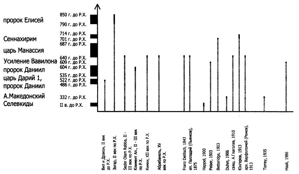
Точную дату написания книги установить невозможно, поскольку нет никаких внешних данных для ее определения. Средневековые раввины (Кимхи, Абрабанель), основываясь на хронике Seder ‘Olam Rabbah (II–III вв. по Р.Х.), относят время написания книги к последним годам правления царя Манассии. Климент Александрийский сообщает, что Аввакум пророчествовал во время царя Седекии (599–588 до Р.Х.). Блаженный Иероним относит пророчество ко времени Вавилонского плена.
В XIX веке исследователи текста обращают внимание на то, что пророк упоминает восстание Халдеев (הכשדים): Ибо вот, Я подниму Халдеев, народ жестокий и необузданный, который ходит по широтам земли, чтобы завладеть не принадлежащими ему селениями989. Если предположить, что речь идет о крепнущем Вавилонском царстве, тогда датировку книги можно отнести к периоду между падением Ниневии (612 г. ) и битвой при Кархемише (605 г.)990. Важным для правильной датировки книги представлялось решение вопроса: кто тот злодей, притесняющий народ, о котором пишет пророк во 2–4 стихах первой главы? Внутри самого народа действует нечестивец, или это иностранный агрессор? Если это чужестранец, то откуда? Это Вавилон, Ассирия или Греция? Различное решение этого вопроса привело к разбросу датировок. Betteridge (1903) и проф. Юнгеров (1913) определяли время появления книги периодом с 714–700 г. до Р.Х во времена царствования Езекии. В качестве критерия Юнгеров приводит высказывание немецкого библеиста XVIII века Готфрида Айхорна (Johann Gottfried Eichhorn) о языке автора книги: «Соловей не поет в тяжелую зиму при вымершей роще; так и Аввакум песнословил не при умиравшем языке еврейском. Язык и выражение его для этого слишком прекрасны; его творчество слишком оригинально; его цветы – крепкие, полные чада весны, не слабые и тощие, как в зиму; короче, он должен был слагать свое поэтическое творение в цветущее время еврейского царства и еврейского языка»991. Keil, Delitsch, Baumgartner, Knabenbauer, еп. Палладий (Пьянков), свящ. А. А. Глаголев говорят о последних годах правления Манассии (171, с. 31).
В 1906 году Bernard Duhm выдвинул идею о том, что Халдеи (הכשדים) – это неверная передача слова הכתיאים и относит это к грекам, а именно к периоду завоевательных походов Александра Македонского. Любопытно, что один из первых комментаторов пророческого текста в найденном в Кумране списке книги (1Q р Наb.) также читает вместо הכשדים – הכתיאים, относя их к римлянам992.
Радикальное предположение делает Happel, относя книгу пророка Аввакума к периоду царствования Селевкидов993.
График, иллюстрирующий датировку книги, представлен на рис. 1.

Рис. 1. Вариант датировки книги
ИСТОРИЯ ТЕКСТА
Книга пророка Аввакума представлена масоретским текстом, дошедшим до нас в разночтениях, обнаруженных в различных рукописях. Критическое издание этих текстов можно увидеть, например, в Biblia Hebraica Stuttgartensia.
Помимо средневековых манускриптов, доставшихся нам от масоретских справщиков, ученые располагают рядом документов, найденных в Кумране и других пещерах Мертвого моря. Вот перечень этих документов:
В первую очередь это манускрипт из первой кумранской пещеры (lQpHab). Текст датируется первым веком до Р.Х. и содержит первые две главы книги вместе с комментарием (פשר) к ним.
В пещерах ущелья Нахал Дарга обнаружен свиток книги малых пророков (Mur 88), датируемый вторым веком по Р.Х. Текст содержит отрывки Авв. 1:3–2:11 и Авв. 2:18–3:19.
В пещерах потока Нахал Хевер (חבר נחל), недалеко от Эйн Геди, найден греческий текст книги малых пророков (8 Hev XHgr). Авторство перевода приписывают Феодотиону. Текст содержит следующие отрывки из книги пророка Аввакума: 1:5–11; 1:14–2:8; 2:13–20; 3:9–15.
Греческие переводы LXX, Аквилы, Феодотиона и Симмаха доступны в критическом издании книги малых пророков, выполненном Иосифом Циглером (Joseph Ziegler). Работу можно найти в издании Septuaginta. Vetus Testamentum Graecum Auctoritate Academiae Scientiarum Gottingensis editum, Göttingen.
Кодекс Барберини содержит греческий текст третьей главы книги пророка. Автор перевода неизвестен. Текст представлен в шести средневековых рукописях, датируемых периодом от 8 до 13 вв. по Р.Х.
Известен еще Таргум Ионафана, сына Узиила. Это довольно свободный пересказ пророческого текста на арамейском языке.
Критический анализ латинского перевода (Вульгата) выполнен Вебером в 1975 г.
Критическое издание сирийского перевода (Пешитта) выполнено институтом Пешитты в 1980 г.
В тексте книги насчитывается по крайней мере четыре hapax legomena994 (מעקל, 1:4; מגמת, 1:9; כפים, 2:11; חביון, 3:4). Значение этих слов трудно поддается переводу995.
Архиепископ Варфоломей (Ремов) отмечает, что значительное число hapax legomena и редких выражений у Аввакума свидетельствуют о классическом достоинстве его языка996.
ИСТОРИЯ ЭКЗЕГЕЗЫ
Обзор толкователей книги пророка Аввакума правильнее всего будет начать с комментария, сделанного представителем кумранской общины. Этот интересный комментарий был найден, как уже было сказано выше, в первой кумранской пещере в 1947 году. Пергамент был приобретен монастырем св. Марка в Иерусалиме и перекуплен в 1955 году государством Израиль. Свиток имеет тринадцать столбцов текста, содержащих первые две главы книги. Обе главы снабжены толкованием, в котором автор соотносит текст пророческой книги целиком к реалиям духовного противостояния между Учителем Праведности (הצדק מורה) кумранской общины и неким Нечестивым Священником (הרשע הכהן) в Иерусалиме. Концепция толкователя такова, что поскольку текст пророчества имеет божественное происхождение, то и ключ к его пониманию может быть дан только Богом. Этот ключ к разумению божественного пророческого текста дан Учителю Праведности. Далее, используя метод дискретизации, автор смело дробит текст на фразы и предложения, придавая им смысл, направленный на современность. Подробное исследование этого комментария есть в предлагаемой прот. Геннадием Фастом книге толкования на пророка Аввакума.
СВЯТООТЕЧЕСКИЕ ТОЛКОВАНИЯ НА КНИГУ ПРОРОКА АВВАКУМА
Цельное толкование текста книги пророка Аввакума имеется у следующих шести святых отцов.
Блаженный Иероним Стридонский (342–420).
Родился в Стридоне на границе Далмации и Паннонии в 342 году. Умер в Вифлееме в 420 году. Блаженный Иероним был одним из лучших знатоков античной и христианской литературы своего времени. Он также является одним из немногих среди святых отцов и учителей церкви, кто знал еврейский язык. Этот факт увеличивает ценность толкований блж. Иеронима на Священное Писание Ветхого Завета.
Блж. Иероним написал «Две книги толкований на пророка Аввакума к Хроматин», в которых применяет как буквальный, так и аллегорический метод толкования. Раскрывается значение Аввакумова пророчества в приложении к историческому времени VII-VI веков до Р.Х., а также возможное мессианское (христологическое) и эсхатологическое значение. Часто толкователь прилагает слова пророка Аввакума и к духовному состоянию церкви. Можно сказать, что блаженный Иероним использовал все экзегетические принципы, которые и потом будут применяться толкователями этой книги.
В своем комментарии блж. Иероним применяет и элемент научного подхода, что выражается в попытках отыскать наиболее точное значение еврейских букв, используя филологический анализ, а также в обращении к переводам LXX, Симмаха, Аквилы и Феодотиона. Часто Иероним приводит объяснения своего еврея-наставника, тем самым обращаясь к иудейско-раввинистической традиции толкования книги.
Комментарий блж. Иеронима стал неким стандартом для последующей христианской традиции истолкования книги пророка Аввакума.
Блаженный Августин, епископ Иппонский (354–430).
Величайший святой отец Западной церкви. Чрезвычайно плодовитый богослов, толкователь св. Писания. Толкуя Писание, блж. Августин использовал все известные в его время методы экзегезы. Отдельного трактата по толкованию книги пророка Аввакума Августин не писал, однако в его знаменитом творении «О граде божием к Марцеллину против язычников» в книге 18-й имеется Глава (32-я) «О пророчестве, содержащемся в молитве и песни Аввакума». В этой главе святой отец последовательно изъясняет всю песнь Аввакума997 в мессианском значении. Свои размышления блж. Аввакум начинает так: «В следующих словах Аввакума о чем ином говорится, как не о грядущем пришествии Христа». При толковании святой отец использует различные кодексы пророческой книги на латинском языке.
Св. Кирилл, архиепископ Александрийский († 444).
Великий Учитель церкви и церковный деятель первой половины V века. Догматист и экзегет. Истолковал почти все Св. Писание. Боролся с несторианской ересью. Святой Кирилл является составителем «Толкования на пророка Аввакума», в котором изъясняется последовательно текст всей книги. Библейская книга берется в ее греческом переводе Семидесяти. Толкование полное, разностороннее. Рассматривается и прямое значение относительно исторической обстановки времен пророка Аввакума и аллегорическое, преимущественно в отношении к Иисусу Христу, а также различные другие духовные смыслы. Толкование святого Кирилла вместе с толкованиями блж. Иеронима, безусловно, являются основными и опорными во всей святоотеческой экзегетике книги пророка Аввакума.
Блаженный Феодорит, епископ Киррский (ок. 393-ок. 457).
По рождению и образованию принадлежит Антиохии Великой. С 423 г. епископ Кирской церкви, видный церковный деятель эпохи несторианских и монофизитских споров, блестящий восточный богослов V века. Блж. Феодорит-экзегет, догматист, апологет и историк церкви.
Блж. Феодорит – составительТолкования на пророка Аввакума», в котором последовательно истолковывается весь текст книги. Толкование блж. Феодорита более краткое, чем у блж. Иеронима и св. Кирилла Александрийского, а по содержанию соответствует в основных чертах толкованиям упомянутых отцов. Преобладают исторический (иудеи – халдеи) и мессианский (христологический) аспекты понимания пророческой книги.
Прп. Исихий Иерусалимский († после 451).
Греческий подвижник, учитель церкви, аскетический писатель, экзегет. Родился в Иерусалиме, изучал богословие в Константинополе, где был учеником св. Григория Богослова. С 412 г. пресвитер в Иерусалиме. Прп. Исихий применяет аллегорический метод толкования. Имеются сведения, что прп. Исихий составил толкование на всю Библию. Из этого комментария сохранилось лишь немногое. Так сохранился фрагмент «Примечания к малым пророкам», где разъясняется и текст книги пророка Аввакума (Migne, PG, t.93). Текст толкования на русский язык не переведен.
Блаженный Феофилакт Болгарский, архиепископ Охридский († ок. 1107).
Блж Феофилакт родился в Греции на о. Эвбея, возможно был учеником Михаила Пселла. Толкования Св. Писания у блж. Феофилакта экклектично, вбирает в себя сказанное многими ранее его. Святой отей составил толкование на весь Новый Завет, кроме Апокалипсиса, а также на книги некоторых малых пророков. Имеется толкование на книгу пророка Аввакума (Migne. PG, t 126), на русский язык не переведенное. У других святых отцов последовательного толкования книги пророка Аввакума не имеется. Однако многие святые в своих творениях так или иначе обращаются к книге пророка Аввакума. В книге протоиерея Геннадия Фаста имеются ссылки на труды еще двадцати восьми отцов и учителей церкви.
Св. Климент, епископ Римский, муж апостольский. Третий епископ Рима. Понтификат его приходился на 92–101 годы. Упоминается среди сотрудников апостола Павла998. Во епископы возведен апостолом Петром. При императоре Траяне сослан в Крым (Херсонес Таврический), где и принял мученическую кончину. Св. Климент написал Послание к Коринфянам.
Св. Феофил, епископ Антиохийский. Являлся шестым епископом Антиохии (169–180). Родился вблизи Евфрата, получил греческое образование. Автор апологетических и экзегетических произведений. Сохранились три книги к Автолику, образованному язычнику. У св. Феофила впервые встречается слово «Троица» (Tριάς).
Св. Ириней, епископ Лионский († 202) – значительный богослов II века. Ученик св. Поликарпа Смирнского, ученика св. апостола Иоанна Богослова. Автор пяти книг «Против ересей», апологет христианства перед язычниками и гностическими ересями.
Ориген († 253). Знаменитый учитель александрийской Огласительной школы. Текстолог, владевший языками Библии. Экзегет, истолковавший значительную часть Св. Писания. Широко пользовался аллегорическим методом толкования. На V вселенском соборе был отлучен, однако чтится и признается, как учитель Церкви.
Св. Киприан, епископ Карфагенский (206–258), священномученик, святой отец и учитель Североафриканской церкви. Один из первых латинских авторов.
Св. Мефодий, епископ Патарский († ок. 310), другие называют его епископом Олимпийским. Писал богословские трактаты, обильно толкуя тексты Св. Писания. Принял мученическую кончину.
Св. Афанасий Великий, архиепископ Александрийский (ок. 290–373). Великий святой отец церкви, отец Православия, боролся с арианством. Его творения в области тринитарного богословия содержат толкования многочисленных мест Св. Писания.
Прп. Ефрем Сирин († 372), великий святой отец, подвижник, богослов, писатель, гимнограф. Учитель Сирийской церкви, владел сирийским (арамейским) языком и был сведущ в иудейском предании. Его труды содержат многочисленные толкования на Св. Писание.
Св. Кирилл, архиепископ Иерусалимский († 386), автор знаменитых Огласительных слов.
Св. Василий Великий, архиепископ Кесарии Каппадокийской (ок. 330–379). Вселенский великий учитель и святитель церкви.
Св. Григорий богослов, епископ Назианский, архиепископ Константинопольский (ок. 330–394). Вселенский великий учитель и святитель церкви. Практически все труды св. Григория посвящены тринитарному богословию. Друг св. Василия Великого.
Св. Григорий, епископ Нисский (ок. 335–394). Один из трех великих Каппадокийцев. Богослов, философ, экзегет Священного Писания. Часто прибегал к аллегорическому толкованию текста Писания. Младший брат св. Василия Великого.
Авва Евгарий Понтийский († 399). Ученик св. Григория Богослова, подвизался в Нитрийской пустыни при обоих Макариях, подвижник, слушал Дидима Слепца, муж ученый, один из первых учителей монашеского богословия. Был осуждаем за приверженность оригену.
Св. Иоанн Златоуст, архиепископ Константинопольский (ок. 347–407).
Вселенский великий учитель и святитель церкви. Непревзойденный проповедник. Экзегет Антиохийской школы, толковал Св. Писание, преимущественно в духовно-нравственном значении, применяя и другие герменевтические подходы. Истолковал значительную часть Св. Писания.
Прп. Марк Подвижник (IV век). Ученик св. Иоанна Златоуста. Подвизался в Египте. Писал духовно-аскетические сочинения.
Прп. Исидор Пелусиот († 436). Ученик св. Иоанна Златоуста. Родился в Александрии и подвизался в Египте. В его письмах содержится много толкований на различные места Писаний.
Прп. Иоанн Кассиан Римлянин († 435). Западный подвижник и богослов, по духу и образованию принадлежал Востоку. Слушал проповеди Иоанна Златоуста. Писал наставления для подвизающихся в монашестве.
Св. Григорий Двоеслов (Великий), папа Римский (ок. 540–604). Великий римский святитель, во многом определивший богословскую жизнь и устроение церковной жизни европейского средневековья.
Авва Дорофей († 620), монах монастыря Сериды в Сирии, потом настоятель монастыря близ Газы. Автор аскетических «Наставлений», а также тридцати «Слов» о подвижничестве. Авва Дорофей был учеником преподобного Варсонофия и Иоанна.
Прп. Максим Исповедник, монах († 662). Крупный византийский богослов, излагавший христианское догматическое и нравственное учение в системе эллинистического мышления. Учитель церкви, противостоявший монофелитской ереси.
Прп. Исаак Сирин, епископ Ниневийский (VII век). Подвижник, глубокий учитель духовно-созерцательной жизни, мистик. Описывал духовные состояния, в которых другие отцы обычно ничего не писали.
Прп. Иоанн Дамаскин (ок. 673–777). Учитель церкви, подытоживший все догматическое православное учение времен вселенских соборов и собравший его в единую догматическую систему. Борец за иконопочитание. Непревзойденный гимнограф церкви.
Прп. Симеон Новый богослов († 1032). Один из трех святых, названных церковью богословами. Иоанн Богослов – представитель богословия божественного откровения. Григорий Богослов – представитель богословия от Св. Писания. Прп. Симеон представляет богословие внутреннего духовного опыта христианина. Подвизался в Константинополе в обители св. Маманта. Непревзойденный учитель внутренней созерцательной жизни.
Св. Давид IV Строитель, царь Грузии и Абхазии (1073–1125). Талантливый полководец и строитель, при котором Грузия освободилась от всех недругов и стала великим государством. При царе св. Давиде Строителе и его правнучке св. царице Тамаре (1184–1213) Грузия достигла вершины своего расцвета. Давид Строитель написал «Покаянный канон» в подражание Великому покаянному канону прп. Андрея Критского, в котором изложены молитвенные переживания стареющего царя, подводящего итоги своей жизни и готовящегося к исходу из нее.
Св. Григорий Палама, архиепископ Фессалоникийский (1296–1359).
Учитель афонского исихазма и благочестия.
Прп. Максим Грек (ок. 1480–1556), ученый монах. Учился в Италии, подвизался на Афоне, был приглашен Великим князем Василием III в Москву. Занимался переводами с греческого языка, исправлял богослужебные рукописи по древним оригиналам, писал богословско-полемические труды. Был заточен в темницу при волоколамском монастыре и в Тверском Отрочь монастыре. По освобождении жил в Свято-Троицкой лавре, где и скончался.
Св. Иоанн, митрополит Тобольский и всея Сибири (1651–1715). Русский святой, сибирский просветитель. Автор знаменитой книги «Илиотропион», в которой излагал пути согласования воли человеческой с волей Божией.
Св. праведный Иоанн Кронштадский (1829–1908), протоиерей, писатель, молитвенник, чудотворец.
В отечественной дореволюционной экзегетике к книге пророка Аввакума обращались проф. М. А. Голубев («Книга пророка Аввакума», 1867), епископ Палладий (Пьянков) («Толкование на книгу святого пророка Аввакума», 1875), архиепископ Иоанн (Смирнов) («Пророк Аввакум», 1877), проф. П. А. Юнгеров («Книга пророка Аввакума», 1887), архиепископ Варфоломей (Ремов) («Книга пророка Аввакума», магистерская диссертация, 1913). Следует упомянуть, конечно, труд проф. А. П. Лопухина («Толковая Библия», 1908).
Известные исторические обстоятельства двадцатого века остановили на время развитие библеистики в нашей стране. После вынужденного перерыва, предлагаемая прот. Геннадием Фастом книга является первой работой на русском языке, посвященной экзегезе книги пророка Аввакума.
Естественно, книга пророка Аввакума рассматривалась многими европейскими библеистами. Здесь библиография обширна и включает многие десятки работ на различных европейских языках. Не ставя задачей дать полный обзор таковой, упомянем лишь некоторые из работ. Наиболее известные комментаторы девятнадцатого века и начала двадцатого века, это Franz Delitzsch (Der Prophet Habakuk, 1843), С. F. Keil (Biblisher Commentar über die zwölf kleinen Propheten, 1866), J. Wellhausen (Die kleine Propheten übersetzt und erklärt, 1898), Dr. Otto Happel (Das buch des Propheten Habackuk, 1900), F. E. Peiser (Der Prophet Habakuk, 1903), Duhm B. (Das Buch Habakkuk, 1906), Kleinert P. (Die Propheten Israels in socialer Beziehung, 1905), Dr. K. Marti (Das Dodekapropheton, 1904). В двадцатом веке известны авторы W. Н. Brownlee (The Test of Habakkuk in the Ancient Commentary from Qumran, 1959), prof. F. F. Bruce (The Dead Sea Habakkuk Scroll, 1959), D. Garland (Habakkuk, 1972), J. P. Hyatt (Habakkuk, 1962).
Библейская критика на Западе произвела целый ряд школ, начиная от историко-критической и заканчивая литературно-критической. В заключение этого обзора можно упомянуть интересный подход профессора Йельского университета Бреварда Чайлдса, разработавшего канонический подход (canonical criticism) к исследованию библейских текстов. Основная мысль этого подхода в том, что текст исследуется в его канонической завершенности. Такой подход позволяет исследовать богословие текста, ускользающее от исследователя при историко-критическом рассмотрении. В этом плане интересна работа G. Michael O’Neal (Interpreting Habbakkuk as Scripture: An Application of the Canjnical Approach of Brevard S. Childs, 2007).
* * *
Примечания
Протоиерей Александр Классен родился в Караганде в 1961 году, окончил Карагандинский политехнический институт по специальности «Промышленное и гражданское строительство». В 1982 году принял святое крещение в православии. Место крещения – Енисейск, река Енисей. Крестил его о. Геннадий Фаст (свидетелем при крещении был Геннадий Яковлев, будущий иеромонах Григорий). Александр Классен служил в Армии, работал инженером-конструктором, реставратором, принимал участие в реставрации Преображенского собора в Новокузнецке, монастырской церкви в Красноярске, участвовал в строительстве Тобольской духовной семинарии... С 1991 года живет в Томске. В том же 1991 году рукоположен в диакона, а затем – во священника. Женат, отец двоих детей. Окончил Московскую духовную семинарию и академию. В 1998–1999 гг. по приглашению университета в Далласе (SMU – Southern Methodist University) и направлению ОВЦС преподавал курс истории Русской Православной церкви. С 1999 по настоящее время – преподаватель Томской духовной семинарии. Как священник окормляет осужденных в лечебноисправительном учреждении №1. Александр Классен известен в Томске как фотомастер, он мастер фотоальбомов «Деревянная архитектура Томска», «150-летие Томской духовной семинарии» и выставки фотографий в Мадриде. По его инженерным проектам построены и строятся в настоящее время здания в Томске.
Некоторые мысли в предисловии взяты у Rev. Т. Johnstone Irving “Habakkuk”, The Biblical World, Vol. 31, No. 1, 1908.
Варфоломей (Ремов), архиепископ. Книга пророка Аввакума. Типография И. И. Иванова. Сергиев Посад, 1913, с.16
Блаж. Иероним. Две книги толкований на пророка Аввакума к Хроматию. – Библиотека творений святых отцов и учителей Церкви западных. Книга 24. Типография Корчак-Новицкого. Киев, 1898, сс. 132–235, с. 130
Блаж. Иероним. Две книги толкований на пророка Аввакума к Хроматию. – Библиотека творений святых отцов и учителей Церкви западных. Книга 24. Типография Корчак-Новицкого. Киев, 1898, сс. 132–235, с. 131
Harper W. R. The Biblical World, Vol. 21, No. 5. The University of Chicago Press, 1903, pp. 395–396, с. 396
Варфоломей (Ремов), архиепископ. Книга пророка Аввакума. Типография И. И. Иванова. Сергиев Посад, 1913, с. 26
Варфоломей (Ремов), архиепископ. Книга пророка Аввакума. Типография И. И. Иванова. Сергиев Посад, 1913, с. 27
Каббалисты утверждают, что книга была написана рабби Шимоном Бар Йохаи (РаШБИ) во II веке н. э., но известность она получает лишь в XIII веке (поздняя датировка) благодаря се- фардскому раввину Моше де Леону. Основное содержание книги Зогар – это комментарий к Торе (к ее 5 книгам).
Книга Зоар с комментарием Сулам. Сокращенное издание под ред. М. Лай- тмана. Режим доступа: http://www.kabbalah.info/rus/content/view/frame/66454?/ rus/content/view/full/66454&main
Архиепископ Варфоломей (Ремов) отмечает, что значительное число hapax legomena и редких выражений у Аввакума свидетельствуют о классическом достоинстве его языка (Варфоломей (Ремов), архиепископ. Книга пророка Аввакума. Типография И. И. Иванова. Сергиев Посад, 1913, с. 48).
Варфоломей (Ремов), архиепископ. Книга пророка Аввакума. Типография И. И. Иванова. Сергиев Посад, 1913.
Catholic Encyclopedia. Habacuc. Режим доступа: http://www.catholic.org/ encyclopedia/view.php?id=5469
Голубев М. А. Книга пророка Аввакума // Христианское чтение, 1867, Т.11, сс. 683–743; 1867, Т.12, сс. 861–919, с. 695
Википедия. Режим доступа: http://ru.wikipedia.org/wiki/%D0%A2%D1%83%D0%B9%D1%81%D0%B5%D1%80%D0%BA%D0 %B0%D0%BD
Smith, Ralph L., Word Biblical Commentary. Volume 32: Micah-Malachi, Dallas, Texas: Word Books, 1998, с. 3
Варфоломей (Ремов), архиепископ. Книга пророка Аввакума. Типография И. И. Иванова. Сергиев Посад, 1913, с. 37
Bruce F. F. The Dead Sea Habakkuk Scroll // The Annual of Leeds University Oriental Society, V. 1,1958/59, pp. 5–24. , с. 8
Smith, Ralph L., Word Biblical Commentary. Volume 32: Micah-Malachi, Dallas, Texas: Word Books, 1998, с. 3
Нарах legomenon (pl. hapax legomena) – слово, встречающееся только однажды в авторском тексте.
Вот значения этих слов, как они переведены в синодальном тексте: מעקל – (суд) происходит превратный; מגמת – весь он (идет для грабежа); כפים – перекладины; חביון – тайник (Его силы).
171. Варфоломей (Ремов), архиепископ. Книга пророка Аввакума. Типография И. И. Иванова. Сергиев Посад, 1913, с. 48
