Второй отдел. Наследство по закону
Глава первая. Общие начала наследственного права
§ 32. Общие понятия о наследстве и о наследственном преемстве. – Отношение завещания к законному наследованию. – Римское господство завещательного начала и отрицание его в германском праве. – Историческое развитие наследственного порядка в римском праве. – Допущение к наследованию кровных родственников
Наследование есть переход имущества со всеми правами и обязанностями от одного лица к другому по случаю смерти.
Имущество в идеальном значении (см. 1-ю часть § 2) есть совокупность всех прав и обязанностей, принадлежащих лицу относительно всех предметов, которые входят в круг юридической его личности, юридической власти. Из этих прав и обязанностей иные, – впрочем, немногие, – столь тесно связаны с его личностью, что исчезают с ней совершенно. Сюда относятся: личные сервитуты, узуфрукт, пожизненное владение (у нас, напр., право вдовы просить об указанной части), право на содержание (alimenta), пожизненная рента, – при некоторых условиях право иска за личную обиду. Но большей частью эти права и обязанности не исчезают и не могут исчезнуть со смертью лица, по своему объективному свойству, либо коренятся в юридических отношениях, продолжающихся независимо от воли и случая: твердость гражданского союза не дозволяет им исчезнуть. Понятие о вещи, как о предмете внешнего мира, еще может держаться без понятия о лице, к кому она приурочена; но как скоро предмет стал имуществом, нельзя уже вообразить его без лица и держателя. Поэтому со смертью лица, бывшего держателем прав и обязанностей по имуществу, возникает в гражданском обществе вопрос о том, кто затем будет держателем этих прав и обязанностей. Кто-нибудь должен быть преемником умершего, если только осталось после него что-нибудь, с чем связано понятие о праве и обязанности гражданской, юридической. Этот преемник есть наследник. Совокупность прав и обязанностей по имуществу, в коей совершается преемство, называется наследством; а вступление преемника в права и обязанности называется наследованием.
Итак, понятие о наследстве указывает, с одной стороны, на приобретение имущества наследником, и в этом смысле наследование есть один из законных способов приобретения; с другой стороны, указывает на продолжение гражданской личности умершего в лице его наследника. В этом последнем смысле, казалось бы, в наследнике должно существовать такое же единство личности, какое видим в умершем, но, как обнаружится далее, историческое развитие наследственного права приводит к понятию о нескольких наследниках после одного лица, к раздроблению наследства между многими. Это происходит от того, что наследование тесно связано с семейственным правом и с развитием отдельной личности посреди семейства. Вопрос о том, кто должен быть наследником, зависит от соображений семейственного права, от существующих в данную эпоху понятий: во-1-х, об имуществе и собственности по отношению к семейству и о власти главы семейства над его членами; во-2-х, о взаимном отношении членов семейства между собой и к общему главе семейства. Отдельные лица призываются к наследству, во-1-х, на основании избрания личной волей умершего вотчинника; во-2-х, на основании ближайшей кровной связи между ними и умершим вотчинником. По этим предметам понятия, обычаи и законы разных народов представляют величайшее разнообразие. Они так тесно связаны с внутренними условиями местного воззрения и развития, что нет возможности определить общими чертами порядок наследства. В этом отношении особенно любопытно изыскание: 1) об отношении завещательного права к наследственному; 2) о развитии того порядка, в котором родственники призываются к наследству.
Завещательное распоряжение, как право хозяина располагать своим имением на случай смерти, по своей воле, в пользу кого бы то ни было, не согласуется с первоначальным состоянием общественного быта, в коем семейство, основанное на религиозной идее, господствует над отдельными лицами. В этом состоянии имение, коего целость неразрывно связана с целостью семейной религии, считается принадлежностью семейства, и по смерти хозяина переходит в пределах семейства под власть того, кому следует по обычаю и по праву. Новейшими исследованиями доказано, что древние, в первую эпоху общественного быта, не знали завещания (см. F. de Coulanges – la cité antique). Судя по всем признакам, и древний быт римского народа не представлял исключения в этом отношении; но в законе XII таблиц, в числе самых отличительных и бесспорных прав римского гражданина полагается право делать завещания о своем имуществе (paterfamilias uti legassit ita jus esto). С того времени власть завещателя является в римском праве самой определительной принадлежностью того права собственности, коего строгий образ римляне первые внесли в круг юридических понятий. В Риме главным законом наследования стала воля завещателя, и только тогда, когда после умершего не осталось завещания, допускалось, как необходимость, наследование по правилу закона. Оттого у римлян завещательное наследство представлялось положительной стороной учреждения, а наследство по закону – отрицательной стороной, и называлось successio ab intestato. В случае столкновения этих двух начал в имуществе и в случае сомнения первое брало решительный перевес над последним.
По римскому понятию завещательное право несовместимо с законнонаследственным, в имуществе одного и того же умершего вотчинника (nemo pro parte testatus, pro parte intestatus decedere potest. Farum rerum naturaliter inter se pugna est, testatus et intestatus). Кто объявил последнюю волю свою об имуществе, о том нельзя сказать, что воли его не было, или воля его была иная, нельзя вместо его собственной воли подставить волю законную. В силу этого правила, законное наследство у римлян не могло простираться даже на ту долю имущества, о коей умолчано в завещании – доля эта следовала во всяком случае наследникам, названным в завещании, и когда из числа их кто-либо оказывался выбывшим или неспособным, его удел присоединялся к уделу прочих наследников по завещанию (исключений из этого правила допускалось немного – напр., в солдатских завещаниях, при quеrela inofficiosi test. и проч.).
Совершенно иное воззрение открывается в новом европейском обществе у германских народов – и оно совершенно согласно с тем характером германского семейства, на который указано было выше, и с тем состоянием общественного быта, в коем застали римлян германцы при первом столкновении с ними. Завещание вовсе не было в обычае. Наследственное право основывалось исключительно на естественной кровной связи членов семейства между собой, так что по смерти лица, в наследство вступали непосредственно ближайшие родственники его по крови (у Тацита: heredes successoresque sui cuique liberi et nullum testamentum. Si liberi non sunt, proximus gradus in successione fratres, patrui avunculi). То есть в законном наследовании выражалось у германцев положительное начало этого учреждения, не так как в Риме, и завещательное право развилось у них уже впоследствии. Но и завещание в германском праве лишь мало-помалу распространилось на недвижимые имущества. Вначале имело силу такое мнение, что человек, готовясь умирать, не вправе лишить имения, даже движимого, своих родичей, в пользу посторонних. Если и допускалась возможность человеку при жизни или перед смертью разделить или урядить свое имение между членами семьи, то этот ряд ограничивался тесным кругом ближних людей – прямых наследников и не имел ничего общего с римским тестаментом, т.е. с автоматическим правом римского гражданина сотворить себе наследника. Потом это представление смягчилось, в особенности под влиянием той мысли, что умирающему человеку надобно устраивать душу свою (vermachen), и потому может он делать распоряжения о движимости – для души, ради Бога. Оттого первые завещательные распоряжения имели свойство религиозное, церковное (Seelgeräthe, Seeldinge). Затем уже начал расширяться мало-помалу круг завещательных распоряжений, под влиянием церковного и римского права.
Итак, в германском понятии о наследстве было коренное отличие от римского. По римскому понятию, наследство служило главнейшим продолжением личности умершего по имуществу; по германскому – оно вытекало из семейственного, из кровного права. Римский собственник сам устанавливал своей частной волей наследственный закон для своего имущества, и мимо этой воли никто не мог иметь к оному притязаний, ни ожидания. По германскому понятию, у всякого был свой кровный наследник по природе (Deus, non homo, facit heredes), так что при жизни владельца можно указать, кто его наследники по крови, в имуществе, которое считалось само по себе наследственным. Даже при живом владельце наследники его имели право ожидания, так называемое Wartrecht, в силу коего могли воспротивиться распоряжениям его в пользу чужеродцев.
Здесь не у места рассматривать подробности исторического развития наследственного права у разных народов, но необходимо указать на главные начала, под влиянием коих оно развилось, и на главные видоизменения сих начал.
По естественному порядку наследство идет в семью, т.е. тем родственникам, кто всего ближе к умершему. Спрашивается: кто ближе? В Риме, где семья имела строго юридический характер, наследственные права первоначально истекали из родительской власти, и круг наследования ограничивался членами гражданской семьи, т.е. лицами, кои состояли в родительской власти умершего или состояли бы, когда бы жив был глава семейства. Эти лица носили название агнатов; напротив того, одно родство по крови, или когнатство (cognatio), не считалось основанием к наследованию, и даже лица, выбывшие из гражданской семьи и из-под родительской власти (посредством эмансипации), не имели наследственных прав. По мере того как разлагалась семья гражданская, обозначалось явственнее естественное значение кровной или природной семьи, и кровное родство заявляло справедливые основания к наследству. Отсюда происходят постепенные преобразования римского наследственного права, завершившиеся при Юстиане знаменитой 118 новеллой, в коей решительно уже признано главным основанием наследственного права – кровное родство, или когнатство. По первоначальному закону наследники призываемы были к наследству в трех порядках или классах (ordines), обнимавших исключительно круг лиц, составлявших под родительской властью дом умершего вотчинника. В первом классе являлся дом или семья в самом тесном объеме: так называемые sui, не исключая женщин с правом представления (succ. in caput praedefuncti parentis). Во втором классе являлся второй, обширнейший круг дома, т.е. агнаты, или все те, кои вместе состояли бы под одной властью, если бы жив был общий родитель. Здесь в наследстве участвовали только ближайшие степени, и право представления не допускалось, так что, напр., при братьях и сестрах племянники не могли наследовать. Третий класс составляли gentiles, все члены родового союза, связанные общим происхождением от известного или неизвестного родоначальника. В течение столетий, предшествовавших Юстинианову преобразованию, старая гражданская семья распалась, и агнатство утратило свое политическое и юридическое значение; место его заняла семья кровная. В ней, по естественному порядку, к наследству ближе тот, кто ближе к умершему по крови; но так как для определения близости родства принято было в римском праве одно неизменное механическое мерило – счисление рождений или степеней, то надлежало, для пропорционального разделения наследственных прав, умножить разряды родственников, которые, один за другим, призываются к наследству. Так образовано четыре наследственных разряда. В первом поставлены старинные sui, т.е. дети умершего, дети детей его и дальнейшие нисходящие, без различия степеней, поколику имеет место право представления. Во втором классе совокуплены общим правом восходящие, полнородные братья и сестры и дети их – племянники и племянницы, но далее их право представления не допускается. В третьем классе – братья и сестры единокровные и единоутробные, также с правом представления только для детей умерших братьев и сестер. В четвертом классе все прочие боковые родственники, кто ближе по степени без различия полнородных от неполнородных, и уже без права представления.
§ 33. Общее правило о переходе наследства к детям. – Отличие отделенных от неотделенных. – Право представления. – Право родительское. – Право боковых родственников. – Римская система определения прав по классам и степеням. – Германская система определения прав по линиям и коленам
Итак, в самом Риме, по разрушении семьи юридической в позднейшую эпоху римской истории, и особенно в новой европейской истории, где семья с самого начала является в качестве природной семьи, органического союза, – наследственное право определяется близостью кровного родства. Покуда держится еще родовой, политический характер семьи, покуда семья представляется еще преобладающей единицей общественного союза и сохраняет целость в самой себе, наследственное право вместе с властью переходит к старшему в семье, который считается представителем ее, держателем прав и обязанностей семейных, так что после умершего – брату его, а не сыну принадлежит первое место. Но семьи дробятся и обособляются все более и более, с умножением склонности к разделам, и тут выступает вперед новое начало, по которому наследственное право идет тем же путем, каким передается кровь родственная, т.е. не в сторону и не вверх, а вниз, к детям умершего.
При этом надлежит отметить следующие особенности.
Право сыновей на наследование состоит иногда в зависимости от того обстоятельства, существует ли в минуту смерти действительная, совокупная связь по имуществу между отцом и детьми, или связь эта уже прекратилась. Отсюда различие в правах между детьми, которые при жизни отца отделились уже от сожительства с ним, получили от него удел и основали собственное свое хозяйство, и теми детьми, которые во время смерти отца состояли еще в составе общего хозяйства, сожительствовали в одном доме, не разделенные (в отношении к дочери предполагался выдел при жизни отца, по случаю замужества). Вначале обычай клонился к тому, чтобы неотделенные дети вовсе исключали из наследства детей, уже отделенных, но потом строгость этого начала смягчается до уравнения долей между отделенными и неотделенными.
Отцу наследует сын. Повсюду вначале это правило разумелось в такой строгости, что живой сын исключал вовсе сыновей другого сына, уже умершего, так что когда в минуту смерти вотчинник оставлял после себя одного сына и внуков от другого сына, прежде умершего, то последние не имели права на наследство при дяде. Новое европейское право долго не признавало давно известного в римском законе права представления, в силу коего ближайшие потомки лица, которое было бы ближайшим наследником, если бы в минуту открытия наследства находилось в живых, заступают его место.
Право представления, издавна сознанное в Риме, было вначале совсем чуждо германскому сознанию и считалось в противоречии с принятым мнением, что кто ближе к родителю, тот ближе к наследству (näher am Gut, näher am Blut); поэтому не допускались даже внуки, умершего сына дети, к участию в наследстве деда, когда у него был живой сын наследник. Справедливость, однако, была на стороне внуков, и право их признано в Германии в первый раз в Х столетии, по поводу спора, разрешенного знаменитым в истории права судебным поединком – впрочем, только для сыновних детей, а не для дочерних, которые получили себе право представления не ранее XV столетия. Право представления и ныне ограничено в западных законодательствах для боковых линий, иногда вовсе, иногда – для линий и степеней, более отдаленных. Только австрийский закон допускает его безусловно.
Но если не осталось после умершего детей и нисходящих, если поэтому наследство не может идти вниз вслед за кровью? В таком случае нельзя идти иначе как вверх, к родителям умершего, ибо, минуя родителей, нельзя дойти ни до кого из боковых родственников. На этом основании западные законодательства вообще не обходят родителей. Родители, за отсутствием нисходящих, получают либо все наследство (прусский закон), либо делят его с братьями и сестрами умершего (французский, итальянский, австрийский), либо даже с дальнейшими боковыми родственниками (французский). Мера участия их в разделе тоже не одинакова, смотря по тому, оба ли в живых остались или только один, и дележ бывает либо поколенно (австрийский), либо поголовно (итальянский). Дальнейшим восходящим родственникам предоставляется участие в наследстве – либо вместо родителей, соразмерно их части (итальянский), либо в дальнейшем только разряде, с дальнейшими боковыми родственниками (французский).
Итак, за родителями умершего, или вместе с ними, призываются к наследству их ближайшие потомки, т.е. братья и сестры умершего, причем делается отличие между полнородными и неполнородными, т.е. единоутробными и единокровными. Прусский закон ставит последних в четвертый класс, с дальними восходящими. Французский закон дает неполнородным участие совокупно с полнородными только в меньшей доле, соразмерно половинному общению рода.
За родными братьями и сестрами идут потомки дальнейших восходящих, т.е. дальнейшие боковые родственники.
Выше было упомянуто о двух различных системах исчисления близости и признания к наследству. Одна система ведет свое начало от римского права, другая германского происхождения. И германская и римская система состоит в связи с германским и римским семейственным правом и с германской и римской системой исчисления степеней родства. Римское право, не обращая внимания на направление крови – вниз ли она идет или вверх, – относительно восходящих и нисходящих и боковых родственников, считает только число рождений между двумя данными лицами: умершим и родственником его, предполагаемым наследником. Здесь каждое из лиц, призываемых к наследству, призывается только на основании своего индивидуального, личного права, и потому что оно состоит в известной степени, в какой бы линии степень та ни находилась, так что родственники в восходящей и боковой линии делят наследство между собой поголовно. Этот дележ не есть следствие понятия об общем достоянии членов семейства, но есть следствие состязания между лицами, имеющими одинаковое право. Относительно наследства родственники делятся в римском праве на четыре порядка или класса, и в каждом классе указанные степени призываются к наследству, хотя бы они принадлежали к разным линиям.
За смертью Е, напр., в четвертом классе призываются к наследству в одно время – А и В и Д, несмотря на то, что все они принадлежат не к одинаковым линиям: А – внучатый дядя Е в линии прадеда Ж; В – двоюродный брат Е в линии З – деда; Д – внучатый племянник в линии И – отца. Во втором классе: после И призываются к наследству в одно время отец З, родной брат Б и племянник В, сын умершего брата, не исключая друг друга.

Напротив того, в германской системе производится совершенно иначе счисление степеней родства и призыв к наследству. В основании германского счисления лежит понятие о колене
(parentela)51. Parentela – это совокупность родственников по отношению к тому лицу, от которого они ведут общее происхождение. В обширном смысле – это целый род, но если возьмем, напр., два лица и станем отыскивать отношение их к ближайшему общему родоначальнику, то окажутся колена неровные, связь более или менее отдаленная. Таким образом, я в отношении к брату своему и в отношении к дяде состою не в одинаковом колене: с братом у нас общий отец, с дядей общий дед. Семейство отца моего и семейство моего дяди, со всеми от них нисходящими, – это два колена, которые на высшей ступени соединяются между собой, объединяются в семействе или колене моего дяди.

Таким образом, в воззрении новейших народов родство, связь членов рода, органически составляется из разных семейств или колен, и по этому порядку производится определение близости родства, тогда как римляне не обращали внимания на это взаимное отношение семейств, входящих в состав рода, а считали просто рождениями. Итак, когда надо было определить близость родства по случаю наследства, в римском счислении брали отношение между умершим вотчинником и наследником и определяли его числом рождений, а по новейшему германскому воззрению, брали предполагаемого наследника, отыскивали, какой у него ближайший родоначальник с умершим вотчинником, и затем определяли счетом рождений отношение этого наследника к этому общему родоначальнику.
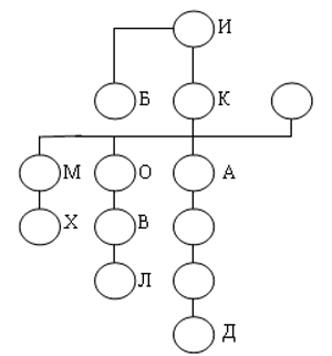
Положим, что надо найти степень родства Б, В и Д, в отношении к А. Б ему дядя, В – племянник, Д – правнук.
По римскому счислению, все они трое находятся в отношении к нему в третьей степени, следовательно, в совершенно одинаковом, равном к нему отношении. Понятно, почему нам кажется теперь формальной и неестественной такая система счисления: потому именно, что в ней не принимается ни в какое внимание взаимное отношение колен. По германскому способу исчисления, всех этих родственников нельзя поставить на одной линии. Надо принять во внимание колено. Очевидно, что связь А с Д, Б и В вовсе неодинакова. Д с А находится в одном колене, в ближайшем к нему, в его собственном, хотя и в третьей степени. Племянник В находится с А в одном колене, отцовском, а чтобы определить степень, сочтем число рождений между В и общим начальником семейства К, – выйдет вторая. Степень ближе, но колено, очевидно, дальнейшее. Далее: Б – дядя находится с А в одном колене дедовском; степень родства выйдет еще менее – первая, а колено еще дальше. Очевидно поэтому, что правнук Д всего ближе и всех прочих исключает из наследства.

Итак, вот каким образом применяется новое, более разумное начало наследования. Кто ближе по крови, тот ближе к имению. Здесь главное правило то, что ближайшее колено, ближайшая линия родства исключает дальнейшую. Если в линии отцовской есть родственники, то нечего восходить выше и искать еще наследников в линии деда. Право боковых родственников на наследство принадлежит им в той мере, в какой они происходят от ближайшего родителя к умершему родственнику. Другое правило: внутри линии тот, кто ближе к общему родителю, исключает дальнейшего. Так в приведенном чертеже родной племянник В исключает сына своего Л, а если бы был жив родной брат О, то ни В ни Л не имели бы права. Третье правило: родственники, состоящие в ровных степенях равных линий, имеют одинаковое право и делят между собой наследство. Нельзя не отдать этому способу, как более разумному, предпочтение пред римским. Такова, как увидим впоследствии, и наша система определения родственных прав на наследство. Это чистая система наследства по линиям (Linealfolge).
Эта система, однако же, не удержалась во всей чистоте своей в новейших законодательствах. В Германии, в XII уже столетии, взяла верх римская система разделения на классы; однако во многих местах система линий удержалась и до нашего времени. Из европейских законодательств всего строже и последовательнее держится ее австрийское законодательство. Почти повсюду в других законодательствах она смешалась с началами римской системы, и призвание к наследству определяется по степеням (Gradualfolge). В этой системе право известного лица на наследство есть чисто личное право, в силу степени, а не линии, и равные степени, а не равные линии делят между собой наследство поголовно. В этой системе одно и то же лицо может наследовать несколько наследственных долей, если оно приходится в двояком родстве с умершим, ибо и то и другое дает ему особливое право (напр., может случиться двоякое родство через деда или прадеда – общего у наследника с умершим, и по отцу и по матери; боковые родственники через полнородных братьев и сестер примыкают к двум родам, в тех же степенях, в коих родственники через единоутробных примыкают к одному роду общему с умершим). В системе же линий это различие не может иметь подобного значения.
Прусская и французская системы держатся разделений на классы (в прусском 9, во французском 3), из коих каждый, призываясь один за другим к наследству, вмещает в себе родственников разных степеней и даже линий. Так, напр., по французской системе полагаются: в 1-м классе нисходящие всех степеней, во 2-м родители вместе с братьями и сестрами умершего и их нисходящими, в 3-м ближайшие за родителями восходящие и прочие боковые родственники. Но дележ между ними не равный, то поголовно, то по долям.
§ 34. Смешанные системы в новейших законодательствах. – Происходящее от различия сих систем различие в порядке раздела и в допущении права представления. – Ограничение наследственного права пределами родства. – Ограничение женщин. – Разделение наследства между родами. – Возвращение подаренного родителями. – Наследование супругов и незаконных детей и родителей. – Закон наследования в Англии
От различия в системах наследственного порядка зависит различие в основаниях дележа имения между многими наследниками. Там, где главным основанием наследственного права служит близость и единство линии, субъектом наследственного права признается в сущности целый семейный круг лиц, примыкающих в известной линии к умершему вотчиннику, и в этом кругу наследство ищет себе личных преемников между членами, смотря по месту и положению, которое они занимают в этом кругу. Наследство, или известная его доля, идет в известный круг, в одно колено, в котором делят его между собой члены по взаимному отношению. Итак, прежде всего, идет круг, или идут круги – нисходящей линии после умершего; за ними вступают круги, примыкающие к восходящим родственникам умершего, т.е. боковые линии и т.д. В каждом кругу ближайшими преемниками признаются ближайшие степени; если же в сих степенях нет живого лица, то в степень его вступает потомство, в лице ближайшей к нему степени, и принимает его долю по праву представления. Если оказывается несколько равных представителей одной степени, то они делят всю ее долю между собой поголовно.
На иных началах утверждается система наследования по степеням. Здесь наследство идет не в линию или колено, но к известному лицу, которое само по себе в силу своей степени и личного своего родственного права, является законным преемником наследства, и дальнейшая степень безусловно уступает ближайшей степени, уступает не потому (как в первой системе), что выше и ближе ее по степени стоит в семейном кругу живое лицо, а потому собственно, что она дальнейшая степень; если же несколько известных степеней в одном классе и совокупно призываются к наследству, то наследство делится между ними поровну поголовно, независимо от того, что все эти степени, по счету различные, принадлежа к разным кругам, в сущности между собой несоизмеримы. Ровный дележ между ними зависит (не так, как в первой системе) не от того, что они ровны и соизмеримы по кровному происхождению, а от того, что они стекаются по закону в одном классе и делят одно количество, причитающееся им вместе. В этой системе все части наследников, вместе призываемых, равные, тогда как в первой системе равенство долей есть лишь случайное явление. В наследстве по линиям возможно бывает наследнику даже совокупить в лице своем несколько долей наследства, если он состоит в двояком родстве с умершим вотчинником, по двум линиям (напр., через деда по отцу и деда по матери, в полнородном родстве сравнительно с неполнородным), а в последней системе такое совокупление долей невозможно.
От этого различия в основных началах наследования происходит и различие в самом праве представления. В первой системе право представления является общим началом и необходимым последствием преемства по кругам и линиям. Здесь правило: «в степень умерших вступает их потомство» несомнительно и незатруднительно, в применении к известному кругу, где еще оказывается в живых потомство прежде умерших родственников. Напротив того, в другой системе право представления является не общим правом, а привилегией, предоставляемой лишь некоторым степеням. Так, напр., во французской системе право представления применяется только к потомкам нисходящих и родных братьев и сестер, не применяясь к потомкам прочих боковых родственников (Code C. 739–744).
Система наследства по линиям основывается на единстве семейных кругов, к которым принадлежал умерший. Но это единство, за пределами отцовской линии, разбивается. В следующем поколении видим уже четыре отдельных круга: отцовского и материнского деда и бабки. Поднимемся еще выше, к прадеду: выйдет уже 8 кругов, еще дальше – 16 и т.д. – круги, которые чем выше, тем более чужды становятся между собой. Но, при системе наследства по линиям, в каждом из этих кругов могут найтись в равных степенях наследники, не имеющие ровно никакой связи с умершим, и наследство между ними будет дробиться до бесконечности.
Эти неудобства умеряются, однако же, следующими правилами, которые частью историческим путем вошли в законодательства, частью установлены из политических видов.
1. Положение законного предела родства, до которого может простираться право на наследование. Новейшие законодательства почти все ввели у себя подобные ограничения: напр., австрийское – до шестой линии или шестого поколения; французское – до 12-й степени родства; итальянское – до 10-й; прусское – допускает наследственное право во всех степенях и линиях неограниченно.
2. Исключение из права на наследство дочерей и женщин. Римскому праву было неизвестно это различие в правах на наследство того и другого пола. Оно появилось в первый раз у германских народов и состоит в тесной связи с устройством брачного союза и с характером собственности, особенно поземельной. Оно связано с системой служебных и феодальных повинностей, лежавших на дворянском и крестьянском сословиях, а потому развилось в этих сословиях преимущественно. Повинности эти лежали на мужчине; службой он тоже был обязан, а не женщина. Женщина должна была довольствоваться тем, что ей дано в приданое, а сыновья считались настоящими наследниками: только тогда, когда сыновей не было, и женщина могла принять участие в наследстве. Впрочем, и независимо от исторических, политических причин и местного национального воззрения, женщина, по самому положению своему семейному и общественному, не могла быть в одинаковых с мужчиной отношениях к наследству. Сын должен сделаться главой семейства; женщина, по германскому воззрению, может быть только членом его, она не основывает свою семью, а примыкает к чужой: она выходит из семьи своей по рождению и переходит в другую по браку, следовательно, несовместно было с понятием о целости родового или семейного имущества предоставить ей одинаковое с мужчиной участие в наследстве. Понятия церковного и римского права о брачном союзе, римские понятия о собственности, развитие среднего городского класса людей, в котором главнейшее значение принадлежит капиталу движимому, а не поземельной собственности, усиление философских идей XVIII столетия и повсеместное уравнение лиц и сословий, ослабление родового значения недвижимой собственности: вот деятели, под влиянием коих повсюду мало-помалу изменилось первоначально строгое понятие о преимуществе мужчины перед женщиной в правах наследства, и новейшие законодательства уравнивают в этом отношении оба пола между собой. В настоящее время это уравнение совершилось или совершается почти всюду.
3. В римском понятии о наследстве не обращалось внимание на состав имущества, остающегося после умершего, и на происхождение его: все имущество составляло сплошную массу, переходившую к ближайшему родственнику, которого закон призывал к наследству. Эта система, отличавшаяся простотой, могла вести к несправедливостям в применении. Так целое имущество могло переходить разом из одного семейства в другое; но римское право обращало мало внимания на права крови и семьи. Так, напр., когда умирал NN, наследовавший после отца, и оставлял по себе боковых родственников с отцовской стороны и боковых родственников с материнской стороны, стало быть, чужого рода, то последние, если были ближе по степени, делались наследниками всей массы имуществ, доставшихся умершему от отца (только при наследстве восходящих в обеих линиях имение, по римскому праву, делилось на две половины). Право новой Европы отступило в этом от римского права, допустив во многих случаях при разделе наследства различие между имуществами, входившими в состав его, так что имущество, доставшееся от отца, шло в род отца, а материнское – в род матери. Это начало наследования имело особенно важное значение во французском местном праве, где постоянно отличалось родовое (propres) от благоприобретенного (acquêts), и в родовом наследство шло по правилу – paterna paternis, materna maternis. Это называлось fente, но за fente следовало еще дальнейшее раздробление – refente, так что, восходя от колена в колено, имущество дробилось снова. Новое французское законодательство, уничтожив различие между propres и acquêts, удержало, однако же, отчасти правило дробления, ограничив его. Если у умершего вотчинника не осталось потомков, французский закон устанавливает делить наследство на две половины, из коих одна полагается на отцовский его род, другая – на материнский, хотя бы в том и в другом роде были родственники неодинаковой близости по степени, так что дальнейший в одном роде может получить больше, чем ближайший в другом. Дробление это непременно происходит, если только есть в каждом из родов хотя бы один родственник умершего. По этому правилу, братья полнородные, участвуя в разделе с неполнородными, берут из обеих половин, тогда как последние берут только на свой один род. Это правило, составляющее особенность французского кодекса, возникло из господствовавшей при составлении его мысли, что нужно всячески благоприятствовать раздроблению имуществ и противодействовать их накоплению в одних руках. Подобно тому, по французскому закону, и часть, следующая восходящим родственникам, дробится на две половины, из коих одна идет в линию матери, другая – в линию отца.
4. Некоторые законодательства (таков и французский закон) в наследовании после бездетных выделяют из наследства все, что дошло от родителей (или восходящих) при жизни их к детям посредством дара, и возвращают тем, от кого что дошло (Heimfallsrecht); другие (Гамбург, Любек, Пруссия, Саксония) в наследстве дают вообще родителям предпочтение пред братьями умершего (Schosfallsrecht). Во французском праве родители призываются к наследству вместе с братьями и сестрами умершего, но получают 1/4 часть, если жив только один, половину, – если оба в живых.
5. Наконец, супруги допускаются еще к участию в наследстве после умершего. Степень участия их зависит от того, допускаются ли они в отсутствии других наследников или при других наследниках, в особенности же при детях, и от того еще, существовало ли в браке общение или было разделение имуществ между супругами. Право оставшегося простирается или на определенную числом долю наследства, или на пожизненное владение имуществом.
Наследование супругов при раздельности имуществ. В римском праве наследственное право супругов было двоякое: в недостатке других законных наследников и при других наследниках. В первом случае супруг имел право просить об отдаче во владение всего наследства (bonorum possessio ex edicto, unde vir et uxor). В последнем случае вдова получала право на долю наследства, большую или меньшую, смотря по тому, каковы прочие наследники, но это право предоставлялось только неимущей вдове (indotata, inops mulier). По общему правилу, назначалась ей четвертая часть наследства, буде делить его приходилось не с детьми умершего, и притом в собственность. Если же дележ приходился с детьми, то часть ее не могла быть больше детской (следовательно, могла быть и меньше четверти), и притом, если доводилось ей наследовать вместе со своими детьми, она получала свою долю не в собственность, а в пожизненное пользование.
Из римского закона это супружеское право перешло в германские законодательства, частью даже с усилением. Так, прусский закон предоставляет одному из супругов право на все наследство, когда нет наследников кровных ближе 7-й степени; а в дележе с другими наследниками предоставляет супругу определенную долю в собственность, а не в пользование: именно третью долю, когда сонаследуют восходящие, братья, сестры, племянники, и половину, при сонаследниках дальнейших степеней (Ldr. II, 1. § 502–539). Австрийский закон ближе подходит к римскому, а во французском законе вовсе не допускается совместное наследство супруга вместе с другими наследниками: супруг может наследовать только в таком случае, когда после умершего не осталось вовсе законных наследников (Code C. 767). Всего благоприятнее для супругов итальянский закон. При законных детях умершего супруг получает равную с ними часть, в пользование; при восходящих, братьях и сестрах получает целую треть наследства, а при дальнейших родственниках – две трети, в собственность.
Наследование супругов при совокупности имуществ. По смерти одного из супругов общение распадается, и живой супруг, получая свою часть в разделе, в том должен полагать и свое наследственное право. Только прусский закон предписывает прежде всего делить общее имущество на две части, и в половине умершего дает живому супругу участие с наследниками умершего (кроме нисходящих). Если же у обоих супругов остались общие дети, совокупность имуществ не прекращается, но продолжается у живого супруга с детьми (communio bonorum prorogata), до раздела по взаимному согласию или до наступления событий, в силу коих надлежит производить раздел (таковы – вступление супруга в новый брак, расточительность его и т.п.). Некоторые из германских законодательств предоставляют супругу, когда нет у умершего нисходящих наследников, общее имущество в пожизненное пользование. При разделе прежде всего выделяются из массы те имущества, которые супруги имеют право присвоить себе исключительно, как свою ближайшую собственность, как свое особенное (prélèvement, Vorausnahme, Voraus); какое это имущество, о том в разных законодательствах разные постановления. Целость этого особенного имущества обеспечивается всей совокупностью имуществ (особенности обеспечения вдовы, по французскому закону, см. Code Civ. 1472–1495).
При некоторых условиях участие в наследстве допускается и в силу связи незаконного рождения. Иные законодательства, как, напр., австрийское, допускают наследственное право только между матерью (лично) и незаконнорожденными детьми, не признавая наследственной связи с отцом. Прусский закон отказывает отцу в наследстве после незаконных детей, дети же после такого отца имеют право не более как на 1/6 часть наследства. Во французском законе принята довольно сложная система: незаконные дети не получают ничего (даже из материнского наследства), если не были признаны. В последнем случае они получают все наследство, если других наследников нет; если есть таковые – получают либо 1/3, либо 1/2, либо 3/4 против доли законных детей, смотря по тому, с кем входят в дележ – с ближними или с более отдаленными по крови родственниками умершего. Родители наследуют лишь после признанных ими детей (Code N. 756–766). Несравненно благоприятнее для незаконных детей итальянский закон. Он допускает их к участию в наследстве совокупно с законными детьми, в половинной доле сравнительно с долей законных, и призывает их исключительно к наследству, за отсутствием восходящих, нисходящих и супруга (французский закон призывает их к исключительному наследству только после всех родственников до 12-й степени). Участие усыновленного в наследстве после усыновителя признано почти повсюду; но обратное право усыновителя, существовавшее в римском законе, отвергается: французский закон возвращает только усыновителю имущество, от него дошедшее к усыновленному, по смерти последнего (Code N. 351); австрийский же закон усиливает право усыновленного, предоставляя ему участие в наследстве не только после усыновителя, но и после супруга его, давшего согласие на усыновление.
Сравнительная система классов
Нисходящие всех степеней, с поколенным разделом
| Римское право 2 (3). Ближайшие восходящие с полнородными братьями и сестрами и их потомством. | Прусское право 2. Отец, мать. 3. Полнородные братья и сестры, с потомством. | Французское право 2. Родители вместе с полнородными и неполнородными братьями и сестрами или их потомством. | Австрийское право 2. Оба родителя, или один с потомством другого. Поколенный дележ. |
| 3 (4). Неполнородные братья и сестры или их потомство. | 4. Дальнейшие восходящие ближней степени; неполнородные братья и сестры или их потомство. | 3. Ближайшие из восходящих в обеих линиях или ближайшие из родственников в боковых линиях до 12-й степени. | 3. Деды и бабки, с потомством умерших дедов и бабок – поколенный дележ. |
| 4. Дяди, двоюродные дяди, племянники, двоюродные племянники и т.д. в ближайшей степени. | 4. Прадеды и прабабки, с потомством умерших прадедов и прабабок, и т. далее 5 и 6 кл. | ||
| 5. Дяди родные и двоюродные; племянники родные и двоюродные и т.д. в ближайшей степени, включительно до шестой степени (дальнейшие поставлены уже в 8 разряд). |
В Англии закон наследства утверждается доныне на древних началах феодального быта; только в 1834 году он был отчасти дополнен, отчасти разъяснен допущением к наследованию восходящих и полукровных родственников. Основные начала наследственного порядка во всех линиях следующие: мужчина в равной степени исключает женщину; где в равной степени несколько мужчин, там наследует только старший из них52; где призываются наравне женщины, там они наследуют совокупно, во всех линиях допускается право представления. Наследство идет прежде всего вниз, к потомству последнего вотчинника (last entitled to the Land). Если потомства нет, наследство идет вверх, к ближайшему из восходящих, и опять по тому же порядку – мужская линия исключает женскую, и в линии мужчина исключает женщину. При восходящем нет места наследованию его потомков, т.е. боковых родственников умершего; но потомки ближайшего из восходящих исключают дальнейшего из восходящих и его потомков, т.е. дети отца (родные братья) исключают деда и его потомков; а буде родных братьев нет, наследство идет к деду, минуя его детей, т.е. двоюродных умершего, но род матери, по общему правилу, не наследует, доколе есть наследник в роде отца, отцова отца и т.д. по мужской линии, разве бы оказалось, что наследственное имение происходит из женской линии – тогда оно в нее возвращается. Полукровные родственники уступают полнокровным и их потомству, разве бы наследство дошло в женскую линию, и родство связывалось женской кровью (напр., когда у бездетного нет наследников через отца и есть наследники только через мать, тогда и единоутробные по ней наследуют). См. Gundermann. Engl. Privatrecht. Tübing. 1864. Solly. Grundsätze des engl. Rechts über Erbfolge. Berl. 1853.
Этот порядок наследства относится, впрочем, только до так называемого в Англии вещного имущества (real property) – объяснение этого термина см. в первой части сего сочинения; для имущества личного (personal property) существует другой наследственный закон так называемого распределения остатков (Statute of Distributions)53. Имущество сего рода, по смерти владельца, поступает в распоряжение администратора, утверждаемого, по прошению, явочной палатой (Court of probate, см о сем ниже – о завещании по английскому закону). Право на администрацию присвоено ближайшим по крови родственникам в последовательном порядке, определенном по закону. (Муж есть непременный администратор после жены.) Администратор обязан прежде всего очистить оставшееся имущество от долгов, выдач и т.п.; затем, не ранее года по смерти вотчинника, распределить имущество по статуту, которым определен весьма подробно порядок наследования тех или других ближних родственников в личном имуществе умершего. В этом порядке дети наследуют поровну. Замечательно, что муж после жены получает все ее личное имущество, а жена после мужа получает треть при детях и половину при других родственниках. Отец исключает братьев, но мать делит с братьями.
римское наследственное право послужило для всех законодательств готовым образцом, к которому все рано или поздно должны были обратиться за определениями, когда оказалась в них нужда; напротив того, у всех народов в первое время гражданского быта, в скудости капиталов и простоте хозяйственного быта, свое наследственное учреждение оказывается просто и скудно определениями. В Риме же, в самом начале гражданской его истории, встречаем уже наследование замечательно развитым учреждением. Уже в эту пору в Риме является наряду с наследованием по закону наследование по завещанию и определение законных частей к обеспечению ближайших наследников; наследование уже имеет свойство универсальности, т.е. представительства прав и обязательств по всему имуществу; наследство отличается от отказа или легата (и то и другое в новой Европе проникло в сознание уже к концу средневековой эпохи); существует уже право представления, и открытие наследства отличается от приобретения. Позднее, посредством преторского права и учения юристов, понятие о наследственном праве расширяется, с изменением семейственных прав. Устанавливается форма bonorum possessio; наряду с агнатами призываются к наследованию и когнаты. С умножением ценностей требуется уравнение их в составе наследства; для удовлетворения этой потребности возникает учреждение collatio, к уравнению ценностей, приобретенных наследниками из общей массы имущества как прежде, так и после смерти умершего вотчинника. Из понятия универсальности образуется учреждение hereditas jacens. – Из установившегося различия между открытием наследственного права (delatio) и приобретением (acquisitio) развивается (уже в позднейшую эпоху) право трансмиссии или передачи открывшихся прав. В связи с учреждением сроков для принятия наследства образуется учреждение наследственной субституции. К обеспечению справедливости в ответственности наследников, в удовлетворении кредиторов, возникают известные бенефиции для тех и других (b. b. abstinendi, separationis, inventarii). В позднейшую эпоху права образуются, и при помощи юристов разрабатываются учения о приращении в наследстве, о прелегате, о разных видах исков по наследству, о требеллиановой и фальцидиевой четверти.
§ 35. Поводы к открытию наследства. – Имущества, составляющие наследство. – Способные, неспособные и недостойные к наследованию. – Призвание к наследованию и приобретение наследства. – Договоры о наследстве и предварительный отказ от наследства. – Прямой и непрямой наследник. – Праздное и выморочное наследство
Для осуществления идеи о наследстве необходимы три условия.
1. Смерть прежнего вотчинника, достоверно известная или предполагаемая (в случае безвестного отсутствия). Одинаковое со смертью действие могут иметь, по особым началам некоторых законодательств: вступление в монашество с обетом нищеты и смерть политическая или лишение всех гражданских прав (французский закон). Ранее смерти человека не может открыться наследство в его имении. Только в некоторых германских законодательствах (напр., в прусском) допускается отделение детей первого брака при вступлении одного из родителей во второй брак (Abschichtung см. § 21), причем выдел касается имущества родителя, остающегося еще в живых, так что этим действием предваряется осуществление наследственного права. Допускается еще (см. ниже) раздел имущества между детьми при жизни родителя.
2. Должно быть имущество, составляющее предмет наследования: все имущество, принадлежавшее умершему. Из этого имущества исключаются во всяком случае некоторые права чисто личные, о коих упомянуто выше и кои, по свойству своему, не могут быть передаваемы. Из общей массы исключаются некоторыми законодательствами – имения, полученные от родителей и восходящих, или имения особого свойства, как то: ленные, фидеикоммисы, женины имения разных наименований (Gerade, Niftel, Eingebrachtes и пр.), получают особое назначение. С другой стороны, состав наследственной массы может увеличиваться такими имуществами, которые не принадлежали умершему в минуту его смерти: это случается, когда законом постановлено полагать между сонаследниками в зачет долей все то, что каждым из них было получено даром от умершего вотчинника при его жизни (collatio).
3. Должен быть налицо законный наследник, способный к наследованию. Способными предполагаются вообще все, обладающие полнотой гражданских прав. Однако же некоторые лица в прежнее время почитались, а отчасти и ныне почитаются неспособными к наследованию, или по общим причинам их состояния, или по особым отношениям к умершему. Так, в старое время признавались неспособными к наследованию незаконнорожденные, еретики, иностранцы. Запрещение наследственного права иностранцам впоследствии, смягчившись, обратилось во многих странах в право казны на вычет более или менее значительной доли из наследства, доходящего иностранцу (gabella hereditaria, Abschossrecht). Этот вычет ныне почти везде уничтожен, и где он существует, там допускается разве в виде возмездия другим государствам за подобное ограничение (подобное начало возмездия выражено во французском законе общим правилом. Code N. 726, 912). В истории законодательств известно и другое подобное право, в силу коего казна присваивала себе все имение по смерти иностранца в пределах государства (jus albinagii, de alibi natis, droit d'aubaine). Право юридических лиц, корпораций, учреждений и пр. получать наследство по завещанию подвергается всюду различным ограничениям.
Кроме того, во многих законодательствах установлены особые ограничения в наследственном праве некоторых лиц, за недостоинство личное; в прежнее время число таких ограничений было значительное, потому что казна извлекала из них выгоду, присваивая наследство себе вместо недостойного наследника. Нынешние ограничения (напр., в прусском, во французском законе Ldr. I. 12. § 85. 599–610. Code N. 727–730) не обращаются в пользу казны и выводятся из личных отношений наследника к умершему вотчиннику, напр. из оскорблений и обид, нанесенных ему при жизни, покушения на жизнь его и т.п. Ср. § 54.
Наследник призывается к наследству, или наследство открывается для него, в силу известной законной причины, дающей ему такое право. Это событие, т.е. призвание к наследству при открытии оного (delatio hereditatis), по римскому праву, строго отличается от приобретения и принятия наследства (acquisitio, aditio hereditatis). Кому открывается наследство, тому надлежит еще приобрести оное решительным выражением или действием воли; в минуту приобретения в лице приобретающего должна быть та же законная способность к наследству, какая была в минуту открытия, и покуда приобретение не совершилось, предполагаемый наследник не может (за немногими исключениями) передать право на наследство своим преемникам. К приобретению принудить невозможно. Приобретение наследства соединялось, по римскому праву, с открытием оного только в лице так называемых сущих или необходимых наследников (sui heredes, necessarii), потому что они со смертью главы семейства прямо и необходимо вступали в личность его, по римскому началу единства семейственной личности, сами собой, без передачи, следовательно, такие наследники не могли и уклониться от принятия. Новые законодательства не удерживают такого строгого различия между открытием и принятием наследства и никому не препятствуют отказаться от наследства открывшегося.
Римское право знало только два основания к открытию наследства: завещание либо законный порядок. В германском праве явилось третье основание – договор (Erbvertrag), коего римское право вовсе не допускало в наследстве: оно объявляло недействительными всякие договоры, коими ограничивалась бы свобода завещателя, и даже договоры об отказе от имеющего открыться наследства. По началам германского права недействительными считаются только договоры двух лиц о наследстве после третьего, в живых находящегося – без его участия. Римский закон допускал, правда, дарение по случаю смерти, в виде особого договора между живыми, но таковой договор не считался обязательным для дарителя (ср. 1-ю часть сей книги, стр. 381).
Напротив того, германское право допускает договор о наследстве, не только в отрицательной форме (pactum renunciativum, Erbverzicht), но и в положительной (p. аcquisitivum). Всего ближе к римскому праву постановления по сему предмету французского и австрийского закона. Первый дозволяет наследственные договоры лишь по случаю брака, между супругами, даже с участием третьих лиц (Code N. 1082 и сл.); последний, кроме того, дозволяет в некоторых случаях придавать дарению на случай смерти безвозвратную силу (Ges. b. 956, 602). Остальные германские законодательства еще более расширяют пределы договора о наследстве. Договоры об отказе от наследства вообще дозволяются (как было и в римском праве) с согласия того лица, чье наследство в виду имеется; но австрийский закон допускает такие договоры без всякого ограничения, а французский (Code N. 791) вовсе их запрещает.
Уступка еще не открывшегося права на наследство повсюду запрещается, но иностранные законодательства вообще допускают договоры об отчуждении наследства по открытии оного; однако не все одинаково определяют отношения стороннего приобретателя к наследству. По римскому праву, наследником в сем случае, относительно сторонних лиц, считается прямо призванное к наследованию лицо, а не приобретатель наследства по договору с прямым наследником, но в отношениях между сторонами, участвующими в сем договоре, наследничье звание приемлет приобретатель. В таком же смысле выражается французский закон (Code 780, 1696); но по прусскому закону (Ldr. I. 11. § 445), приобретатель и относительно сторонних лиц считается наследником.
В наследстве вообще предполагается преемство прямое и непосредственное, от умершего вотчинника к наследству. Напротив того, непрямой наследник будет тот, кто получил следующее имущество через посредство прямого наследника или третьего лица. По римским понятиям, всякий преемник совокупного права (универсальный наследник) есть прямой, а преемник особенного имущества или отказа – непрямой. Но по новейшим понятиям, допускается участие третьего лица как исполнителя или душеприказчика (exécuteur testamentaire, trustee), при посредстве коего имение передается наследнику. Французский закон признает прямым наследником (héritier) того только, кто, по закону, в силу кровного родства, призывается к наследству, непрямыми же наследниками признает всех прочих, равно и всех наследников по завещанию, хотя бы завещано было все имущество (légataire universel).
Наследство открывшееся, но еще не приобретенное, получает в римском праве особое свойство праздного наследства (буквально – лежачее, hereditas jacens); если же наследников не окажется, становится выморочным (erbloses Gut, bona vacantia) имуществом, которое либо обращается на возмещение долгов умершего, составляя конкурсную массу, либо, в качестве бесхозного, присваивается казной, по праву оккупации. Однако, ради справедливости, с этим обращением имения в казну соединяются некоторые свойства наследственного приобретения; казна вступая в права умершего по своим требованиям, кои соединены с имуществом, отвечает за него в обязательствах и даже обязана исполнить волю его относительно отказов на случай смерти. Римское право дозволяло уже некоторым учреждениям и корпорациям вступать, вместо казны, в выморочное имущество своих сочленов. В средневековую пору присвоение выморочных имуществ считалось регалией, которая передаваема была, в виде лена, некоторым учреждениям и вотчинным властям. В новейших законодательствах встречаются еще, хотя и реже, подобные уступки казенного права учреждениям, особливо благотворительным; только французский закон (Code N. 768) умалчивает о таких уступках.
О наследстве после юридического лица, в сущности, не может быть и речи, так как у такого лица не может быть ни кровных наследников, ни завещательной власти. Возникающие нередко вопросы о том, куда должно быть обращено имущество прекратившегося учреждения (напр., приходской церкви), разрешаются различно и не принадлежат к кругу наследственного права.
§ 36. Непосредственное вступление прямых наследников. – Трансмиссия. – Утверждение в наследстве. – Принятие наследства и отречение. – Последствие принятия. – Принятие по описи и разделение долгов. – Раздел наследства. – Возвратные учеты. – Разделение прав и ответственности. – Передел. – Наследство у мусульман
Римское право в приобретении наследства отличает сущих или прямых наследников (sui heredes) от всех прочих, почитавшихся непрямыми (extranei): первые наследуют в силу своего права (ipso jure), независимо от своей воли; от последних требуется еще изъявление воли на принятие наследства. И те и другие приобретают наследство, независимо от вступления в действительное владение оным: овладение вообще не требуется для приобретения наследства. Прямой наследник не может прямо отречься от наследства по строгому праву: только преторским правом дана ему возможность косвенно уклониться от наследства не отзывом, а безмолвным уклонением от действительного вступления в оное (beneficium abstinendi). Непрямые же наследники обязаны изъявить волю свою, когда, узнав об открывшемся наследстве, пожелают принять его или отречься от него. Для принятия наследства не требуется, однако, публичного или судебного объявления: всякое деятельное вмешательство в наследственные дела по имуществу (pro herede gestio) служит признаком принятия. Если наследник умер прежде принятия, строгое право признает его отрекшимся от наследства и не дозволяет переносить непринятое им наследство на его наследников (hereditas nоndum adita non transmittitur ad heredes heredis); но в позднейшем праве допущены были из этого правила многочисленные исключения (transmissiones).
В германском праве исстари принято было несогласное с римским понятие о переходе наследства. Предполагалось, что наследство переходит к наследнику само собой, в минуту смерти вотчинника (der Todte erbt den Lebendigen. Le mort saisit le vif), следовательно, для перехода не требуется, как в римском праве, отдельный акт принятия наследства, изъявление решительной воли наследника. Эта мысль выражена почти во всех новейших законодательствах (напр., австр. Ges. b. 537. Code Civ. 724)54. Практически – это значит, что права и обязанности наследника по наследству, когда бы он ни получил его, возводятся к минуте открытия наследства. Однако это общее правило не может иметь значения безусловного, подобно римскому правилу о необходимом преемстве прямых наследников (sui, necessarii). Ныне никого нельзя принудить к восприятию наследства со всеми юридическими его качествами. Поэтому, независимо от вышеозначенного общего правила, весьма важно определить минуту приобретения наследства несомнительным признаком, ибо от приобретения зависит преемство прав и ответственности, в коем всякая неизвестность и неопределенность особенно вредит интересам третьих лиц. Вот причины, почему все законодательства обращают на этот предмет особливое внимание и определяют признаки совершившегося безвозвратно приобретения. Из новейших законодательств австрийское, а затем прусское всего ближе подходят к римскому праву, требующему от наследника положительного изъявления воли на принятие. По австрийскому закону, наследник должен быть утвержден в наследстве судом, для чего всякий желающий обязан предъявить суду основание своего наследственного права и объявить положительно, что принимает наследство (Ges. b. 799–808). Тоже требуется и прусским законом. Другие законодательства не так строги в сем отношении; во главе их состоит французский закон, в котором приобретение наследства совпадает с его открытием, и особого утверждения в наследстве не требуется. Французский закон различает в сем деле прямых и непрямых наследников: первые или так называемые законные (légitimes) вступают силой закона, непосредственно (sont saisis de plein droit), во все имущества, права и требования умершего; а для непрямых наследников, для незаконных детей, для супругов и для государства требуется судебное утверждение в наследстве (Code C. 724). Таким образом, французский закон относительно наследства устанавливает начало овладения независимо от воли, намерения и действия, в совершенную противоположность римскому началу, не допускавшему приобретение владения без содействия и совершения воли. Правило это не относится, впрочем, к наследству по завещанию, кроме некоторых случаев. Однако же такое непосредственное вступление в наследство основано на юридическом предположении, стало быть, не безвозвратно. Nul n'est héritier qui ne veut, следовательно, предположение это разрушается в лице наследника, отказывающегося от принятия наследства. Но принятие наследства может совершиться безмолвно, самим делом, произвольным вступлением (774 и сл.), а отречение от наследства не предполагается, но должно быть выражено в судебном акте (784 ст.); кто принял наследство, тот предполагается, что принял его с минуты открытия, а кто отрекся от него, тот предполагается, что никогда не был наследником (777, 785).
Новейшие законодательства отступают еще от римского права в том, что безгранично допускают трансмиссию, которая в римском праве допускалась лишь в виде исключения, т.е. признают, что право на открывшееся наследство переходит само собой и к наследникам наследника, хотя бы последний не дал отзыва о принятии или об отречении (австр. 809, прус. 1, 9,§ 397, франц. 781).
Иск о наследстве (hereditatis petitio) имеет некоторые особенности, коими отличается от общего вотчинного иска, и эти особенности отличны в римском праве. Истцом признается наследник, все равно один ли он или в доле с другими, или заступающий место наследника (как-то: фидеикомиссар универсальный, казна или приобретатель наследственного права), а ответчиком – всякий, у кого во владении наследственное имение. Предметом иска служит вся наследственная совокупность (universitas juris). Отсюда следует, что все, приобретенное наследником посредством наследства, все, приращенное и замещенное в его составе, входит в предмет спора. Ответственность добросовестного и недобросовестного владельца пред наследником несколько усиливается сравнительно с общим вотчинным иском, и наоборот, возвышается и право владельца на возмещение издержек. Из новейших законодательств одно саксонское отличает подробно эти особенности иска о наследстве (Sächs. Ges. b. 2291); прусский и французский кодексы, включая наследство в число общих способов приобретения собственности, не отличают особенностями и иска о наследстве, хотя на практике эти особенности сами собой обнаруживаются и признаются судами.
Принятие наследства уравнивается с обязательными юридическими действиями, и потому к отзыву о принятии уполномочены только вполне правоспособные лица. Вследствие того, по французскому праву, женщина не может сама собой принять наследство, без согласия мужа, или, в отсутствие мужа, – судебной власти. Принятие наследства имеет особливую важность, потому что соединяется с принятием ответственности, и что эта ответственность может быть принимаема условно, в меру количества и ценности принимаемого имения. В этом состоит так называемое льготное принятие наследства по описи (beneficium inventarii, bénéfice d'inventaire). О последствиях такого принятия будет сказано ниже.
Как с принятием наследства или с отречением соединяются последствия, важные для третьих лиц, то право на то и на другое не может быть бессрочное. Покуда наследство еще не открылось, не может быть еще речи об отзыве наследника относительно принятия или отречения (даже отзыв, данный наследником, не знающим об открытии наследства, признается недействительным); а со времени открытия наследства устанавливаются сроки для принятия его или для отречения. Таким сроком принимается обыкновенно общая давность, если не было в виду других лиц, заявивших свои интересы, состоящие в зависимости от прав наследника (таковы могут быть другие наследники, требователи по завещанию, кредиторы, должники умершего). Буде со стороны таких лиц заявлены требования к предполагаемому наследнику, несправедливо было бы оставлять за ним право молчания в течение неопределенного или продолжительного времени, и потому на сей случай устанавливаются краткие сроки. Римское право дает наследнику на сей случай срок для соображения (spatium deliberandi, 9–12 месяцев); по новейшим законодательствам, назначаются для сего сроки или определенные, или по усмотрению суда (австрийское). За истечением же срока, буде не было отзыва, интересованному лицу предоставляется истолковывать молчание наследника в свою пользу. Однако же и в таком случае, когда наследник имеет законное право молчать, пока он не приступал еще к принятию наследства, он имеет право в качестве предполагаемого наследника, приступить, с разрешения судебной власти, к распоряжениям по имуществу, имеющим целью предохранение его от порчи или убытков (Pr. Ldr. I. 9. § 386. Code C. 796).
Последствия принятия наследства. Преемство. Кто принял наследство, тот вступает в преемство после умершего во всех правах его и обязательствах, представляет его личность по имуществу. В этом отношении между умершим и его наследником существует единство личности. Чтобы это единство было полное, необходимо, чтобы отношения умершего по имуществу ни на минуту не прерывались до перехода на лицо наследника. Вследствие этой-то потребности вступлению в наследство, когда бы оно ни последовало, придается обратная сила, возводимая к минуте открытия наследства (в римском праве, чтобы избежать перерыва отношений между смертью одного и вступлением другого, этот промежуток наполнялся представлением о праздном наследстве (hereditas jacens), коему присваивались качества представительной или юридической личности). Итак, при вступлении в наследство, по закону, не допускается вообще никакого неопределенного промежуточного состояния, не допускается условий, отсрочивающих или задерживающих переход наследства. Мысль эта выражается в известной поговорке: semel heres semper heres.
В силу сего представительства наследник вступает в права и в обязанности умершего; но если, сверх того, умерший вотчинник наложил на своего наследника обязательные повинности, на случай своей смерти и перехода наследства, это единство личности наследника с личностью умершего не может служить первому основанием или предлогом к извращению или уничтожению по своей воле того, что определено волей умершего. Наследник обязан подчиниться повинностям, даже в таком случае, когда они возложены на его собственное имущество, если только повинности эти не превышают материальной силы (ценности) получаемого наследства и если ими не нарушается и не отягощается через меру законная доля наследника.
Если бы это начало единства личности применяемо было всегда во всей строгости, последствия были бы во многих случаях крайне отяготительны для принимающих наследство. Приняв однажды наследство – в каком бы то ни было количестве, надлежало бы отвечать и за все обязательства, с ним соединенные, – в каком бы то ни было количестве. Справедливость требует допустить некоторый учет приходной части с расходной в наследстве. Вследствие того, к смягчению строгого начала наследственной ответственности, введены следующие учреждения.
1. Принятие наследства по описи, или beneficium inventarii, – введенное в первый раз императором Юстинианом в Риме. В силу этого учреждения наследник может уклоняться от полного представления личности умершего, от соединения личной ответственности за свои долги с ответственностью за долги умершего. Долги умершего остаются, как были до смерти его, исключительно на его имении. Наследнику предоставляется просить об учинении описи открывшемуся наследству и принять его по этой описи: в таком случае он ответствует перед наследственными заимодавцами в качестве льготного (beneficialis) наследника, т.е. в мере ценности наследственного имущества; ему дозволяется даже полагать в счет собственные свои требования на умершем вотчиннике, хотя по общему порядку таковые требования погашаются в лице наследника. Для третьих лиц было бы невыгодно, когда бы наследник мог отлагать требование описи или растягивать саму опись на неопределенное время, и потому назначается ему срок (с того времени, как он известился об открывшемся наследстве) просить описи, и срок, в течение коего опись должна быть кончена. Кто опустил просить об описи, на того, по Юстинианову закону, возлагается обязанность платить сполна все долги умершего и даже удовлетворять все завещательные назначения, хотя бы они превышали саму ценность наследственного имения (это последнее правило принято в австрийском законе § 801). Французский закон ставит такого наследника по описи в положение ответственного администратора по наследственному имению (Code C. 803–810).
2. Разделение долгов. Когда у самих наследников или у некоторых из них много долгов, для кредиторов наследственного имения может быть очень невыгодно объединение ответственности в лице наследников; в таком случае наследственные кредиторы должны будут войти в состязание с кредиторами самих наследников и получить неполное удовлетворение из массы соединившихся имений. Закон предоставляет им в таком случае просить в определенный срок о разделении долгов и об удовлетворении наследственных долгов исключительно из наследственного имения, но с тем вместе устраняются они от всякого притязания к имению самих наследников (Code Civ. 878. Oest. Ges. b. 811); прусский закон предоставляет подобное же право и личным кредиторам наследников, относительно долгов, лежащих на наследстве.
Наследство во всей совокупности своей принадлежит всем наследникам, когда их несколько, со времени открытия, но не все они вступают в наследство в одно и то же время. Может замедлиться принятие наследства, могут явиться вновь наследники, прежде не бывшие в виду. Во всяком случае, справедливость требует, чтобы и те и другие – относительно общей массы наследства – были уравнены в количественных правах своих на оные, каждый в меру своей доли. Итак, доколе каждому своя доля не выделена, все количественные приращения или уменьшения наследства должны составлять общую принадлежность. В минуту раздела должно быть совершено полное уравнение долей. Для того чтобы одни из наследников не были изобижены пред другими, следует положить в учет все, что каждый успел прежде других получить из имущества, принадлежавшего умершему вотчиннику, не только по смерти его, когда уже открылось наследство, но и при жизни его, с воли его и согласия. На этом соображении основано римское право возвратного учета (collatio, rapport). В силу этого правила нисходящие, вступая в наследство, обязаны были причесть обратно в наследственную массу все то, что дошло к ним даром от умершего, если притом не было умершим изъявлено прямой воли – не полагать данное в учет при наследстве. Чтобы избавиться от этой обязанности, когда она оказывалась невыгодной, надлежало отказаться от наследства. Римское правило вошло почти без изменения в австрийский закон, в других же законодательствах более или менее расширено, а всего более во французском законе, который обязывает к возвратному учету не только нисходящих, но и восходящих и боковых родственников, и простирает возврат не только на дарственные, но и на завещательные назначения умершего вотчинника, если в завещании именно не сказано, что назначение делается без возврата к учету (à titre de préciput ou hors part. Code Civ. 843, 844, 849, 919).
Вследствие раздела каждый из наследников, по римскому правилу, становится представителем умершего – в мере своей доли. До раздела каждая часть наследства принадлежит каждому наследнику и всем вообще, а с разделом соединяется у них обмен частей, в силу коего все друг от друга приобретают и все передают друг другу, так что разделом каждый наследник приобретает свою часть. От этого понятия намеренно уклонился французский закон, постановив (ст. 883), что каждый наследник почитается непосредственно и исключительно принявшим свою материальную долю от умершего вотчинника.
С разделом наследства раздробляется ли между наследниками ответственность за долги умершего? Римское право отвечает на этот вопрос утвердительно: все наследственные долги (кроме тех, кои по сущности неделимы) разделяются между всеми наследниками соразмерно доле каждого: каждый отвечает исключительно за свою долю. То же правило высказано и во французском законе (ст. 873). Совсем иного начала держатся австрийское и прусское право: наследники отвечают все вместе, друг за друга и каждый за всех в наследственных долгах; исключение допускается австрийским законом (550, 820, 821) только для наследника по описи, а прусский закон не признает и этого исключения.
Общее владение наследством, без раздела, возможно по взаимному согласию наследников, но необязательно ни для кого; повсюду более или менее ограничено даже право завещателя обязывать своих наследников, чтобы не делились. Всего решительнее выразился французский закон об этом предмете: он не допускает и безусловных договоров о нераздельном владении наследством, допуская лишь на 5-летний срок действие такого договора или последней воли умершего вотчинника о неразделе (815). Прусский закон дозволяет отсрочку раздела по воле вотчинника на определенный срок; саксонский – на срок не долее 20 лет.
Допускается некоторыми законодательствами и наследственный раздел, или, правильнее сказать, выдел детей или нисходящих при жизни родителя, по его усмотрению (divisio parentum inter liberos), или распределение имения по завещанию между детьми и нисходящими. Французский закон постановляет о таковом разделе особые правила в 1075 и сл. статьях.
Когда раздел не учинен полюбовно, по договору, он совершается при участии суда или под его надзором, но не иначе как по просьбе одного из соучастников, – или требуется во всяком случае, когда в числе наследников есть малолетние, состоящие под опекой, отсутствующие. Иск о разделе (act. familiae herciscundae, communi dividundo) возникает в сущности не из наследственного права, но из наследственного общения прав, т.е. из особого юридического состояния, в коем одинаково все стороны участвуют. Посему в иске сего рода всякий истец есть вместе с тем и ответчик, и ответчик вместе с тем истец. При иске о разделе предполагается уже бесспорность наследственного права, если же о сем возникает спор, то действие иска о разделе приостанавливается55.
С разделом обыкновенно соединяются следующие действия: оценка недвижимости, превращение в ценность (ликвидация) имуществ и вещей, не подлежащих раздроблению в натуре, составление жребиев по возможности равномерных, утверждение и распределение их между наследниками. Французский закон предписывает, чтобы это распределение совершалось вынутием жребия. Особливой сложностью отличается производство о разделе в прусском законе (Nachlassregulirung, Auseinandersetzung – когда при сем надлежит отделять пережившего супруга). Здесь в производстве непосредственно участвует и действует суд; но, по французскому закону (Code 815–870), в суде только заводится дело подачей просьбы, сам же раздел (partage) совершается посредством нотариусов и экспертов. Передел, после совершившегося раздела, не допускается, разве по случаю доказанного обмана; но французский закон допускает уничтожение раздела за доказанным ущербом наследника против других долей, свыше четвертой части ценности, по просьбе одного из сонаследников, когда он докажет, что получил слишком на четвертую долю меньше, чем прочие соучастники. Французский закон простирает даже слишком далеко свою заботу об уравнении наследников. Замечательно, что по этой же причине (т.е. по недостатку 1/4 части против других) он допускает уничтожение раздела (или распределения, напр. в завещании), учиненного самим умершим вотчинником, хотя бы жалующийся на неравенство получил от завещателя с избытком свою указанную часть (Code C. 887, 1079). Напр., сын, имеющий по закону право на 20.000 и получивший по завещанию 22.000, может требовать себе уравнения с частью брата только за то, что брат получает 38.000.
Наследство у мусульман. В мусульманском праве нет понятия, соответствующего принятому у нас понятию о наследовании, как о преемстве с представительством личности умершего. Наследование представляется только как приобретение выморочного имущества лицами, имеющими ближайшее отношение к умершему хозяину. Лица эти прежде всего суть родные по крови и по супружескому общению. Некоторые из них, именно родители и супруги, призываются к наследованию непременно и, во всяком случае, либо одни, когда других родных нет, либо вместе с другими, и в первом случае получают все наследство, а в последнем определенную долю оного, которая либо остается неизменной, либо уменьшается, смотря по тому, с какими родственниками лица эти должны войти в состязание. Кроме того, есть еще некоторые родственники, имеющие подобное право на получение определенной доли; но части супругов и родителей исчисляются со всего имущества, а части прочих или тоже со всего, или с того, что останется по выделе супругов и родителей. Остальные наследники делят между собой все остальное, за наделом первых. Все наследники призываются к наследству в трех разрядах, из коих дальнейший исключается ближайшим. В первом или ближайшем разряде состоят: родители, дети, внуки и все нисходящие. Во втором – дед, бабка и все восходящие, братья и сестры. В третьем – дяди, тетки и боковые родственники со стороны отца и матери. В каждом разряде все наличные лица имеют право совместно. Женщина при совместном праве с мужчиной получает вдвое менее против него. Важная особенность мусульманского закона та, что в нем допускается право представления в восходящей линии неограниченно, до лица, имеющего нисходящее потомство; напротив того, в нисходящей линии право представления, как мы его разумеем, не существует, и потому, напр., сын умершего исключает своего племянника, сына другого сына.
Супружескую указную часть составляет 1/2 имения (мужу, если нет нисходящих), 1/4 часть (мужу при нисходящих, жене без нисходящих) и 1/8 часть (жене при нисходящих). Доля эта делится между вдовами поровну, если их несколько. Супружеская часть выделяется прежде всего и во всяком случае.
Родители при других наследниках первого разряда получают по шестой части наследства. Во втором разряде дети умершего в отсутствии его родителей.
Усыновление не дает наследственного права. Незаконнорожденные дети, признанные отцом, допускаются к наследству; но после них наследует только мать, а не отец.
Неспособными к наследованию считаются неправоверные, убийца после убитого, невольник после свободного и обратно, супруг, проклятый другим супругом.
Впрочем, для ясного уразумения наследственного порядка у мусульман, вышеизложенное не вполне достаточно, ибо правила суннитов во многом существенном отличаются от шиитских. Так, напр., вышеуказанное исключительное преемство в 3 разрядах у шиитов заменяется у суннитов преемством в 13 разрядах. Право одной матери, право дочери при сыновьях и их потомках, право восходящих со стороны матери, единоутробных с единокровными и т.п. значительно различаются в том и другом законе.
Когда нет наследников по крови, наследство предоставляется по особливому праву, именуемому вело, сторонним лицам, именно: во-1-х, бывшему хозяину после отпущенного на волю раба, во-2-х, по наследственному дружескому условию, если оно было, и в-3-х, идет в пользу имама (у шиитов, а у суннитов – в общественную казну).
Раздел наследства у мусульман сопряжен с немаловажными затруднениями и отличается крайней сложностью расчетов для сводки и уравнения разноколичественных долей, причитающихся лицам, имеющим различное право. Посему раздел считается самым трудным и искусным делом мусульманской юридической казуистики.
По закону Ислама, всякое личное обязательство прекращается со смертью должника, т.е. ни на какое иное лицо не переходит. Этим объясняется вышеуказанное отсутствие идеи о представительстве умершего его наследником и соответственная необходимость очистить долги умершего изо всего имущества, какое после него осталось. Все долги умершего уплачиваются до раздела наследства, и что останется, то идет в раздел. Эта ликвидация, равно как и последующий раздел, поручаются казию, на обязанности коего лежит прежде всего уплатить издержки на лечение и погребение и долги умершего, затем исполнить его завещание, если есть, и разделить имение. Вызов наследников и давность для приобретения наследства неизвестны в мусульманском законе. Для расценки наследства и для технического распределения долей могут быть избираемы казием особливые эксперты, известные под именем касимов.
Глава вторая. Порядок наследования по русскому закону
§ 37. Исторический очерк русского наследственного права. – Первые начала наследования по договорам с греками, по Русской Правде и судебникам. – Влияние родового начала и политической борьбы с боярством на постановления о наследстве. – Отличия в наследовании между поместьями и вотчинами. – Образование вдовьей и дочерней части. – Право женщин-родственниц при мужчинах. – Недоумения о праве представления. – Соединение поместий с вотчинами и указ о единонаследии. – Отмена его. – Причины затруднений и недоумений по вопросам о наследовании до издания Свода Законов. – Бытовые и хозяйственные объяснения нашего закона. – Скудость определений русского закона о наследовании
Первые начала наследования выводят обыкновенно из договоров русских с греками, сопоставляя их с постановлениями краткой Русской Правды о кровной мести и предполагая, что она производилась родственниками в том же порядке, в каком они наследовали. Из этих выводов следовало бы, что родственники призывались к наследству в таком порядке: брат; если его не было – сын; если и его не было – отец; далее – племянник от брата, племянник от сестры. В этом означении иные (Неволин) видят постепенность призвания; другие (Кавелин) ее не находят. На основании указанных соображений заключают, что боковые родственники, кроме братьев, не призывались к наследству; в предпочтении брата сыну видят действие родного начала, указывают на исключение женщин и право жены на получение некоторой части (жена убившего да имать толицем же прибудет по закону). Выводы эти нельзя признать точными, ибо они основаны на гадательных соображениях. Из договоров с греками следует бесспорно только то, что на Руси имение умершего поступало в семью, к милым ближникам, и что находившемуся на чужой стороне естественно было на случай смерти творить обряжение о своем имении (см. у Никольского и Цитовича).
На основании пространной Русской Правды обыкновенно отличают общий порядок наследства от особенного, для смердов, бояр и княжих мужей – членов дружины. Общий порядок: после отца, если умер без ряда, не урядив имения, наследуют дети; при этом дается часть по душе умершего и часть вдове, если муж ничего ей не назначил. Из детей – незамужние дочери ничего не получают при братьях, но братья выдают их замуж, наделяя како си могут. Дети от рабы не наследуют, равно и мать их. После матери-вдовы в ее участке наследует тот из детей, у кого она жила в доме и кто кормил ее. Сводные дети наследуют после родителей своих, но после отчима или мачехи не наследуют. Особенный порядок: в имении смерда наследуют одни дети мужского пола, а если их нет, то князь; но предполагается, что в таком случае он незамужним дочерям дает часть на приданое. После бояр и дружинников, если нет сыновей, наследуют и дочери. О наследстве боковых родственников вовсе не упоминается. Поэтому Неволин думает, что в отсутствии детей имение шло князю. Он видит в этом признак, что родовое начало было потрясено в период междоусобий от смерти Ярослава до нашествия монголов. Если станем смотреть на наследство с точки зрения княжеского права и зависимого владения (ср. 1 часть сей книги, § 16), то можно думать, что в отношении к князю владельцем имения, принадлежавшего дружиннику, мог считаться только представитель семьи, а не рода. Правило о смердах, т.е. податном и преимущественно земледельческом сословии, должно было относиться к движимости, ибо поземельной собственности у них, по-видимому, не было56.
Кроме Русской Правды есть еще известие о порядке наследования в Псковской Судной Грамоте (XV столетии). По ней умершему наследовали: отец, мать, сын, брат, сестра, другие ближние родственники (кто ближнего племени): стало быть, и боковые допускались к наследованию. Сын лишался наследства, если отца и матери не скормит до смерти, а пойдет из дому. Супруги друг после друга наследовали только пожизненно, в кормление, пока не вступали в следующий брак (т.е. пока не будет основано новое хозяйство).
Наконец, Судебники обоих Иванов постановляют, что после умершего без духовной наследует сын, когда нет его – дочь, а если нет и дочери, то ближний из его рода (статок весь и земли взяти).
Из этих сведений видно: 1. Женщины вообще не наследовали или наследовали в отсутствии мужчин; но давалась им часть на случай замужества. 2. До судебников родовое начало успело прийти в упадок, а семейное усиливается (см. критику этого мнения у Цитовича, стр. 142). Нигде не говорится о наследовании внуков; о праве представления нет и помину; внуков, по-видимому, исключают братья умершего. 3. В призвании родителей к наследству после детей, супругов друг после друга до нового брака или до смерти (Псков), некоторые (Кавелин) видят признак того, что здесь было в обычае членам семьи не делиться, но жить вместе, и наследство удерживалось за старшим; по сему в постановлениях Русской Правды видят следы южнорусского, киевского, малороссийского обычая – делиться после каждого замужества. Это различие связывают исторически с нынешним различием великорусского и малорусского крестьянского быта. У первых личность поглощается семьей, домом и даже общиной. Дом составляет одно целое, в котором общая казна в ведении старшего или того, кто признан способнее вести хозяйство. Что члены заработают, то должны вносить в общую кассу. Здесь понятие о наследовании уступает понятию о разделе дома. Но пока нет раздела, нет и наследства после умершего.
Известно, что владение землей на вотчинном праве доступно было у нас до нынешнего столетия только служилому классу (см. сей книги ч. I, § 16–18) и не было почти вовсе доступно массе земледельческого населения. В таком состоянии хозяйственного быта не могло утвердиться понятие о наследстве лица после лица, и не предстояло надобности законодателю устанавливать точное правило о наследовании, доколе оно не коснулось личной поземельной собственности или личного владения. Вследствие того мы видим, что в ту самую эпоху, когда начинает слагаться понятие о поземельной собственности, в период Судебников и затем Уложения, определения закона о наследстве имеют в виду не целую массу народа, а только одно сословие служилых людей, развивают не общее земское право, а право служилых людей Московского государства, владевших вотчинами и поместьями. В законах не встречается особых постановлений о праве наследства в тех сословиях, которые, не принадлежа к служилым, могли владеть недвижимым имуществом, в городских, тяглых сословиях. В соответствии с этим различием состоит и различие в юрисдикции. По общему правилу, водворившемуся у нас с принятием греческого церковного права и церковной организации, дела о наследстве разбирались церковной властью, и законом для разбирательства этих дел были вошедшие в Кормчую книгу греко-римские постановления о наследстве. Но как скоро вопрос о наследовании коснулся до имуществ, имевших специальное значение государственных, и до владения, коего свойство было государственное, так для этих имуществ образовалось спе-циальное, полугосударственное, полугражданское право наследования, и споры о наследстве в этих имуществах перешли в особливое ведомство мест, заведовавших этим родом имуществ (поместный приказ); следовательно, для имуществ тяглых осталась в силе общая церковная юрисдикция, а в отношении к имуществам низшего земледельческого населения не встречалось еще (с государственной точки зрения) надобности ни в какой юрисдикции, следовательно, и ни в каких законах.
Это-то специальное наследственное право для служилых классов, по мере распространения на все классы личного поземельного владения, мало-помалу обобщается, получает значение общего, земского права.
В образовании у нас наследственного права замечаем следующие главные черты.
1. Стремление удерживать в роде принадлежащие к нему недвижимые имущества. Это стремление оказывается сначала в высших классах, у потомков владетельных князей, знатных и вельмож.
2. Борьба московских государей с потомками удельных князей и с боярством вызывает некоторые постановления, определяемые не семейным началом, а временными, случайными политическими целями и стремлениями государства.
3. За исключением немногих потомков удельных князей, удержавших свои земли на вотчинном праве, служилые классы получили свои имения большей частью от Московских государей в виде поместий для службы или в виде милости и жалованья за службу. Вследствие того владение не имело свойств определительного и безусловного права, не имело всех признаков права полной собственности и подлежало ограничениям в распоряжении. Притом, по служебному характеру владения, мужчины должны были получить решительный перевес над женщинами: последние получали только долю на прожиток и на приданое, а наследовали, когда не было мужчин.
Порядок наследования образовался неодинаковый в поместьях и вотчинах. Вотчины были родовые, принадлежавшие членам одного рода и по смерти владельцев переходившие к членам того же рода; купленные у частных лиц; выслуженные, пожалованные в частное владение по царской милости; купленные из поместий и казенных порожних земель в вотчину.
Оставляя в стороне постановления Иоанна IV относительно княжеских и боярских вотчин, как имевшие характер исключительно политический и изданные под влиянием борьбы с боярством, переходим прямо к XVII столетию, когда борьба успокоилась и стали выясняться начала, определившие порядок наследования в вотчинах и поместьях.
1. В поместьях. По сущности поместного права к нему не могло применяться начало наследования. Это было по существу своему временное, условное, пожизненное владение, – право, принадлежавшее лицу владельца в той мере, в какой он лицом своим отправлял служебную повинность. Поместья давались в определенном окладе, соответствовавшем месту, чину, службе. Следовательно, сын, поступая на службу, получал соответственное поместье не потому, что он сын отца своего, а потому, что имеет по службе право на известный оклад; мог, стало быть, получить отцовское поместье, мог получить и не отцовское, чужое. Женщинам же, так как они не служили, вовсе и следу не было получать поместья. Но по силе обстоятельств поместья стали мало-помалу принимать характер наследственных имений, и наконец, вовсе с ними сравнялись. Прежде всего надлежит заметить, что всякое поместное владение всюду и всегда стремится сблизиться с вотчинным. Если право на поместье состояло в зависимости от личной службы, а не от родового начала, то, с другой стороны, и право служить, быть служилым человеком и помещиком зависело от происхождения. Семейное начало, кровная связь необходимо должны были отразиться и на праве по имуществу. Естественно было, что сын, не имевший своего поместья, желал получить по смерти отца оклад свой из того самого поместья, которое принадлежало отцу его. Этого требовали и соображения хозяйственные. Само правительство имело в виду как эту хозяйственную цель, так и цель служебную, чтобы люди, принадлежавшие к одному роду военной службы, были испомещены в одних местах, и можно было предполагать, что сыновья причисляются к одному роду службы с отцами. Под влиянием, вероятно, этих или подобных соображений мало-помалу признано за правило давать сыновьям поместья предпочтительно из отцовских, так что даже розданное чужеродцам стали поворачивать к сыновьям. Но если сыновей не было или за наделом их остались лишние четверти, то остальные четверти отдавались уже в оклад дальнейшим родственникам умершего и чужеродцам, последним после родственников.
У умершего служилого человека, не имевшего вотчин, а только поместья, могли оставаться еще малолетние, не приспевшие в службу сыновья, жена, дочери, мать и другие родственницы, жившие на его попечении. Надо было обеспечить их существование. Так появилось правило (1611 г.): вдове с малолетними детьми, даже дочерьми, давать поместье умершего на прожиток. Но сыновья, достигнув возраста и службы, получали свои поместные оклады из этого поместья. На такой случай появляется правило – бездетной жене и дочери назначать из поместья умершего часть на прожиток до замужества, пострижения в монастырь или смерти. Эта часть, вначале неопределенная, определилась постепенно (1/2 XVII сто-летия): вдовам побитых на службе – 20 четвертей со ста; вдовам умерших в походе – 15/100 четвертей; вдовам умерших вообще на службе – 10/100 четвертей; а дочерям – в половину против вдов. Из этого образовалась потом средняя доля жены в недвижимом имуществе – 1/7, средняя доля дочери – 1/14 (из животов 1/8 и 1/4 части, по правилу греко-римского закона). Этим путем установилось наследственное право жены и дочери; сначала получали прожиточное поместье бездетные жены, потом вдовы и при детях. С установлением же дочерней части устранялась и прямая обязанность родственников кормить родственниц и давать им приданое в тех случаях, в коих они получали часть свою по закону. Семейное начало все более и более вкрадывалось в поместное владение. Кончилось тем, что в 1684 году все поместья отца велено отдавать нисходящим – сыновьям, внукам, правнукам, без различия, совершеннолетни они или нет, поверстаны или нет в службу. На деле поместья уже уравнялись с вотчинами.
2. Наследство в вотчинах. В начале XVII столетия видим, что наследниками вотчин считались дети умершего, да жене давалась часть. Однако закон не решался еще объявить боковых родственников прямыми наследниками после бездетного владельца. Но в течение XVII столетия этот взгляд мало-помалу изменился. Право наследования признано за боковыми родственниками без посредства выкупа у церкви. Утвердилось в наследстве и имуществе родовое начало в новом своем виде, с преимуществом нисходящих пред боковыми, с правом боковых на наследство, с правом личной собственности для владельца, с правом продажи, присвоенным лицу владельца родового имения, с правом выкупа для родственников. Относительно наследства в боковой линии выработалось правило: ближайшая линия исключает дальнейшую (беспредельное право боковых было ограничено, и то на время, только указом 1712 г. о единонаследии, – по женскому колену до внучатых).
Затруднения касались вопроса о наследстве женщин. Вопрос о мере и степени наследственного права их состоял в связи с понятием о том, что женщина принадлежит чужому роду. Покуда такое мнение не утвердилось окончательно, жены могли почитаться наследницами после мужей. Еще в XVII веке бездетная жена наследовала после мужа не только в выслуженных, купленных из поместья, но даже в родовых вотчинах. Но потом право это было ограничено, когда выяснилось в законе преимущество родового и фамильного начала: жене, как не принадлежащей к роду, стали давать выслуженные и купленные из казны имения только в прожиток после мужа, в кормление, а не в собственность; а затем, по вступлении жены в новый брак, по пострижении или по смерти, эти имения возвращались в род мужа. Вотчины еще долго были наследуемы женами в исключительную собственность, но, наконец, и в отношении к ним признано, что по смерти жены они возвращаются детям умершего с их потомством, а если детей нет, то идут назад в род мужа, а не в род жены. По окончательном соединении поместий с вотчинами, окончательно определилось право жены в самом простом виде на наследство в недвижимом имении, по размеру поместного права, т.е. 1/7 и 1/4 части (1731 г.).
Относительно права женщин-родственниц в судебнике признано было, что дочери наследуют, когда нет при них братьев. Это коренное правило оставалось постоянно в силе, но когда в XVI столетии ограничено было указами право наследования рода в вотчинах, дочери и вообще женщины-родственницы устранены от наследства в старинных княжеских вотчинах; на преемника возлагалась только обязанность устроить женщин приданым. О праве их на наследство в вотчинах родовых и выслуженных указы Ивана IV умалчивают, но при царе Михаиле приказано, что вотчины сего рода могут оставаться за женщинами по духовным и данным, следовательно, по актам воли умершего, а не по законному наследству; однако вскоре после того, в 1628 году, признано, что дочери имеют право на получение таких вотчин тогда только, когда нет при них братьев; сверх того, признано (повторенное и в Уложении) правило, что дети, сыновья и дочери дочерни после деда наследуют с его сыновьями и дочерьми и своими дядьями и тетками. В то же время установилось правило об указной части из поместий, исключительно в пользу дочери; относительно же вотчин правило: сестра при братьях не вотчинница, разъяснено в 1677 году в строгом смысле как для нисходящей, так и для боковой линии, так что лишь за отсутствием мужского потомства от братьев сестры наследуют со своим женским потомством.
К числу самых неясных и спорных вопросов наследственного права в XVII столетии принадлежал вопрос о праве представления, т.е. о праве детей, сколько бы их ни было, получать на свою долю часть, которую получил бы отец их, когда бы в минуту открытия наследства оставался в живых. Законодательство сбивалось на исключении женщин из наследства при мужчинах. Должны ли внучки от сына наследовать вместе с тетками? С дядьями? Сыновья от дочери исключают ли теток? Наследуют ли вместе с ними дочери от другой дочери? Возникало множество подобных вопросов, и все они разрешались то так, то иначе.
В таком состоянии было наше наследственное право при Петре. Он хотел устроить его на простых основаниях, по своим государственным соображениям. Раздробление недвижимых имуществ между многими наследниками показалось ему вредно во многих отношениях. Для государства, говорит он в указе, по мере разделения имений благонадежность взноса податей более и более уменьшается, между тем как тягости крестьян увеличиваются. Для фамилий: знатные фамилии, чем более в них делится имение, тем более беднеют и наконец совершенно упадают. Для нравственности: наследники, получив по наследству хотя небольшой участок и, следовательно, быв обеспечены в своем содержании, уклоняются от службы государственной и предаются праздности – матери всех пороков. Совершенно иных последствий ждал Петр от нераздельности недвижимых имений. Различные виды недвижимых имений в то время уже сблизились между собой. Петр соединил их под общим именем недвижимых имений и учредил 23 марта 1714 года для всех единонаследие на следующих основаниях. 1) Все недвижимое после отца или матери наследует один старший сын. 2) После бездетного недвижимое поступает к одному ближнему по имени родственнику. 3) Последний в роде может для возобновления фамилии отдать все недвижимое одной из родственниц с тем, чтобы муж ее принял ее фамилию. 4) У бездетной жены недвижимое имущество мужа остается на прожиток до смерти, до вступления в новый брак или в монастырь, а затем идет в род мужа, на основании единонаследия.
Этот порядок наследования удержался недолго. В 1731 году, 17 марта, указом Императрицы Анны Ивановны он отменен и восстановлен прежний порядок. Причины восстановления следующие: родители по равной любви ко всем детям употребляли все средства, чтобы разделить между ними имение по равным частям, прибегали для того к подложным продажам и закладам, обязывали детей великими клятвами, чтобы получивший после них все имение передал часть его своим братьям; из наследства рождались между родственниками ссоры, ненависть, смертоубийства. (Впрочем, кроме этих причин, могло быть и другое, политическое побуждение – предупредить усиление знатных родов, которое могло произойти от единонаследия.) С изданием указа 1731 года прежнее разделение недвижимых имуществ на разные виды не восстановлено, а прежний порядок отличал вотчины от поместий. Поэтому сделаны в законе новые изменения. Уничтожено отличие вотчинного порядка наследования от поместного, и на всякие недвижимые имущества распространен поместный порядок. Определены части супругов и дочерей, причем указная часть жены и дочери, первоначально установившаяся для поместья, получила значение общего права на выдел изо всех недвижимых имений умершего, и притом не на прожиток, как прежде, по Уложению, но в собственность.
За отменой указа о единонаследии велено было дела решить по Уложению и по новоуказным статьям, изданным не в противность, а в пополнение к Уложению. Между тем ни в Уложении, ни в новоуказных статьях не высказано было твердых, определительных и общих правил наследственного порядка. Прежнее, существовавшее в эпоху Уложения разделение недвижимых имуществ уничтожилось, и не всегда можно было решить, какие из новоуказных статей противны Уложению, какие только дополняют его. Отсюда возникали во множестве противоречия и недоумения в применении законов о наследовании. Разрешения недоумений со стороны высшей законодательной и судебной власти не всегда способствовали к разъяснению вопросов, а нередко еще более их запутывали. Соглашение противоречий и установление общих начал наследования последовало не ранее как с изданием Свода. С того времени эта часть нашего законодательства подвергалась наименьшему изменению, и коренные правила, установленные при издании Свода, доныне остаются в действии.
Русский закон наследования развивался органически и в полноте лишь относительно порядка, в коем родственники призываются к наследованию, и относительно ограничений наследственного права для некоторых лиц и по некоторым имуществам. Во всем прочем русское наследственное учреждение отличается отсутствием или крайней скудостью определений, и определения, какие есть, имеют вид отрывочный, случайный, без связи с ясно сознаваемой идеей, к которой должны примыкать все определения, возникшие путем органического роста или развития. Эта скудость, впрочем, становится понятной, когда подумаем, что наш наследственный закон возник в крайней простоте и скудости хозяйственного быта, в коем земледелие преобладает над промышленностью, капиталов образуется немного и обращение их медленно. Первые памятники русского закона о наследовании относятся к такому состоянию общества, в коем основной формой быта была семья, и к семье приурочивалось имущество, состоявшее в ведении старшего. К такому состоянию трудно применить римское понятие о наследовании, как о преемстве личности по имуществу. К такому состоянию естественнее всего применяется понятие о разделе общего хозяйства, по смерти старшего, к лицу коего оно примыкало, или даже при жизни его, когда один из членов семьи, своей парой и породой, отделяется от нее в особую семью. Каждый член семьи имеет основание ожидать и требовать своей доли из общего хозяйства, когда оно дробится на отдельные семьи, имеет потолику, поколику он представляет собой единицу в семье, способную дать начало семье особой. Такой единицей нельзя признать женщину, потому что она идет в чужую семью: ее надо только снарядить к выходу, при мужчинах, и потому естественно, что женщина не имеет прямого удела в своей кровной семье, когда в ней есть мужчины. Такой единицей нельзя признать в хозяйстве отца, мать, деда, бабку, потому что им отделяться нечего, нечего основывать новое хозяйство, и потому естественно, что по смерти хозяина нет отдела для восходящих. Когда кто из членов семьи умер, не дождавшись отдела, – дети его не теряют права при общем разделе на отцовскую часть – вот право представления в простейшем смысле. Таков правдоподобный вид первоначального наследства, как его представляют нам первые памятники русского законодательства; не удивительно, что мы не встречаем в них положительного указания и на порядок, в котором призываются к наследству члены семьи, а о праве членов рода на наследство и не упоминается, поскольку за семьей не видно рода ни в юридическом, ни в политическом его значении (см. о сем у Цитовича). Понятие о роде в связи с наследством выясняется с организацией служилого сословия в государстве и соединенного со службой личного землевладения. Вместе с тем возникают и получают мало-помалу разрешение вопросы о том, кто после кого вступает по наследству во владение имуществами того или другого рода, – но вопросы эти исключительно государственного свойства, и в разрешении их не видно органического развития начал гражданского права. Так, мало-помалу, отдельными указами строится у нас порядок наследственный, без стройной системы. Нынешний наш закон о наследовании есть по началу своему учреждение для высшего владеющего сословия, и ныне имеет практическую важность почти исключительно для меньшинства, по числу незначительного в сравнении с миллионным большинством, для коего закон этот почти не имеет практического значения. Хозяйственная среда, в которой этому закону надлежало действовать, немного подвинулась вперед в своем развитии и надолго еще оставалась при свойствах земледельческого быта. Удивительно ли поэтому, что мысль об универсальности наследования не была у нас прямо выражена до издания Свода Законов? В отсутствии правильного кредита, при слабости промышленного развития, при всеобщей неопределительности ценностей и скудости промышленных сделок не могла достаточно выясниться потребность этого установления. Мысль об ответственности наследника долго, и после Уложения, оставалась еще у нас на той степени, на которой является она в Уложении: «истцов иск правити на жене должника и на детях или на братье кто после его во дворе и в животах: кто в тех его вотчинах и в животах: не тех роду его, кому животы и вотчины достанутся». В этих выражениях нет ничего указывающего на идею об универсальном представительстве умершего по имуществу; наследство является просто переходом имущества с лежащими на оном обязанностями и принадлежащими к нему правами. Оттого принятие наследства и отречение от оного долго не выясняются в юридическом своем значении; можно сказать, что и доныне идея того и другого еще не выяснилась вполне и не выработала из себя соответствующих ей учреждений. От римского гражданского права мы были отрезаны историей, бытом, бедностью науки и образования; у нас не было того богатого развития городской промышленности, которое на Западе, умножив капиталы и создав кредит, возбудило потребность к сознанию идей и к принятию учреждений римского права. Вот причины, почему и доныне наследственное право наше с этой стороны так бедно содержанием.
§ 38. Когда открывается наследство по русскому закону. – Ограничения наследственного права. – Имущество, составляющее предмет наследования. – Отношение наследования по закону к завещанию. – Кто может быть наследником?
Наследство по закону есть совокупность имуществ, прав и обязательств, оставшихся после умершего без завещания (1104). Стало быть, вот какие необходимые условия понятия о наследстве.
1) Смерть. Ранее смерти вотчинника не может быть речи о наследстве помимо его воли (по воле его может быть выдел). Исключение допускается только в случаях, означенных в 1151 и 1153 ст. Но, по общему правилу, прежде смерти вотчинника никто не имеет действительного права на его наследство, и всякого рода записи об уступке, продаже или обременении долгами ожидаемого наследства, при жизни вотчинника, не имеют силы перед законом (Зак. Гражд. 710).
Не одна только смерть физическая служит поводом к открытию наследства. Оно открывается еще смертью политической, т.е. лишением прав состояния того лица, кому принадлежит имение. Вотчинник почитается в сем отношении как бы умершим, и имение переходит к законным его наследникам. Если бы впоследствии открылось в пользу его наследство, то оно идет к тем, кому и в случае смерти его дошло бы по праву представления (1222). Но если с преступлением, повлекшим за собой лишение прав, соединяется еще и конфискация имущества, то законное наследство после такого преступника не имеет места. Буде родители его во время конфискации еще живы, от из открывшегося после них при жизни преступника наследства доля, следующая ему, обращается в казну; из сего надлежит заключить, что буде сие наследство откроется уже по смерти преступника, то конфискация не касается следовавшей ему доли (см. правила о ликвидации по конфискованным имениям, 1868 года, Полн. Собр. Зак. N 45431, § 27, 28).
Наследство открывается со вступлением в монашество, т.е. с отречением от мира и всякого стяжания. IX. 354, 438–411, 475. Зак. Гр. 1223. Вступающий в монашество ничего при себе не удерживает (незначительные исключения у католиков см. IX. 440, 443). Духовным властям токмо дозволяется делать завещания о движимом имуществе в пользу частных лиц. Отсюда следует, по соображению 363 ст. IX т., что после них открывается и законное наследство.
Все, что останется по смерти монашествующих, обращается в монастырскую казну; однако же, если бы оказались у них капиталы, отданные в ссуду, на сохранение, в оборот и т.п., до поступления в монашество, и не поступившие к наследникам при пострижении, то имущество такого рода по смерти их следует их наследникам, а не в монастырь. В таком смысле состоялось в Моск. Общ. Собрании Сената решение по делу монахини Ксанфии.
На Востоке, в Византийском законодательстве, различалось в епископском имуществе приобретенное до епископства (bona partimonialia) и приобретенное после хиротонии (b. сlericalia). Первым он мог распоряжаться на полном праве, последнее считалось достоянием церкви и находилось в пожизненном его пользовании, а при жизни управлялось экономией кафедры. В настоящее время в Константинопольской церкви существует такой порядок, что по смерти епископа все его имущество без различия поступает в ведение Епитропии, которая вырученную от него ценность делит на 3 части: одна идет в пользу патриархии, другая в пользу епархии; третья – родственникам. В новогреческой церкви наследство после епископа определяется общими гражданскими законами.
У монахов различалось также имущество, приобретенное до и после пострижения. Первое могло переходить к наследникам. Но соборное постановление 861 года, со строго церковной точки зрения, признало всякое имущество после монаха – достоянием монастыря; однако государственное законодательство не держалось этой строгой точки зрения.
В России различалось у епископов имущество домовое, или казенное, и келейное. Последним обыкновенно распоряжались по смерти епископа цари, однако духовные власти могли делать и завещания о сем имуществе. Порядок этот отменен Дополн. к Дух. Регламенту 1722 года. Велено – все имущество после высших чинов препровождать в Синод, а после низших – в монастырскую казну. В том же смысле выражается инструкция коллегии экономии 1763 года. Но указом 20 февр. 1766 года дозволено монашествующим властям делать завещания в пользу частных лиц, но не в пользу монашествующих, как разъяснено в Мн. Гос. Сов. 1858 года. Любопытную переписку о сем см. в Собр. Мн. и отз. Митроп. Филарета Т. IV, N 457.
А) Открывается ли, и каким порядком, наследство в имении безвестно отсутствующих? Об этом наш закон, к сожалению, вовсе умалчивает. Статьи 1 ч. Х т., относящиеся к безвестно отсутствующим (1243, 1244), хотя и помещены под заглавием: о вызове наследников, странным образом имеют в виду совсем не наследственное право, а право отсутствующего, по явке, получить свое имение, которое, за отсутствием его, должно быть взято в казенный присмотр. И эти законы, вместе с 326 и 327 ст. Улож. о наказ. и 852 ст. Уст. Угол. Суд., разумеют случай самовольного пребывания за границей. В новом Уст. Гр. Суд. 1451–1460 ст. определяют порядок удостоверения в безвестном отсутствии, но оставляют по-прежнему в неизвестности вопрос о юридическом значении безвестного отсутствия, не разрешаемый и гражд. законами. В силу этих статей становится возможным предъявить иск к лицу безвестно отсутствующего, но не открывается еще наследникам его право иска о наследстве; хотя в 1455 ст. упоминается о являющихся на вызов наследниках (по истечении 5 лет, со времени первой публикации, суд приступает, по явке наследников, к рассмотрению дела), но нет такого постановления, на коем прямо утверждалась бы их возможность осуществить свое наследственное право. Надлежало бы дополнить этот недостаток положительным постановлением гражданского закона, что по истечении 5 лет со времени публикации признанные наследники могут вступить во владение имением и владеют им до истечения 10-летнего срока, указанного в 1244 ст. Зак. Гр. условно, без права на отчуждение имения. Однако и прежде 5-летнего срока надлежало бы дать сим наследникам возможность наблюдения за опекунским управлением и, по крайней мере, некоторое участие в пользовании доходами с имения (ср. Касс. реш. 1870 г., N 546).
Б) Безвестное отсутствие ведет не к лишению и не к ограничению, но к приостановлению прав на имение. Но есть подобные случаи, в которых приостановление прав на имение соединяется и с некоторым их ограничением. Таково, напр., состояние имений, принадлежащих лицам, самовольно удалившимся за границу.
В) По силе ст. 12 прил. к прим. 1 к ст. 1238 Зак. Гр. наследование не имеет места, когда 1) при самой смерти лица, производившего торговлю, или после того откроются законные признаки его несостоятельности; 2) когда эта несостоятельность будет объявлена судом. Но это ограничение условное. О наследовании после такого лица не может быть и речи в течение производства о несостоятельности, но по окончании оного несостоятельному должнику, согласно п. 4 ст. 618 Уст. Суд. Торг. изд. 1893 г., возвращаются, буде есть свободные остатки имущества, и в таком случае на этот остаток могут предъявить права его наследники (ст. 6 прил. к прим. 1 к ст. 1238 Зак. Гр.). Ср. еще Уст. Суд. Торг. изд. 1893 г., ст. 623, 624 п. 4 и реш. Кассац. Деп. 1870 г. N 244.
2) Должно быть имущество после умершего. Если нет имущества, то не может быть и речи о наследственном переходе прав и обязательств, ибо личные права, напр. по состоянию, переходят на детей, по рождению, при самой жизни родителей вследствие самого события рождения в известную минуту.
А) О наследственности некоторых должностей у инородцев см. Учр. инородц., изд. 1892 г., ст. 122, 123.
Б) Существовавший в белом приходском духовенстве обычай передавать наследникам, родственникам или зятьям места и должности отменен в 1867 го-ду. См. Уст. Общ. Призр. изд. 1892 г., ст. 539.
В) Не переходят по наследству имущества, состоящие на личном пожизненном или присвоенном должности праве – напр., Уст. Казач. Сел. ст. 48, Прод. 63 г.
Г) О праве патронатства в лютеранской церкви закон говорит, что оно наследственно, буде не соединено с имением; но может быть принадлежностью только христианина (Уст. Ин. Исп. 660). Право сие нераздробимо при разделе наследников (662 ст.).
Д) Если населенное имение доходит по наследству лицу, не имеющему прав потомственного дворянства, то оно не может вступить в непосредственное его владение впредь до совершения акта о выкупе крестьянами поземельного надела, а поступает до того времени в ведомство опеки; впрочем, наследник волен продать или передать имение и в этом состоянии потомственному дворянину (Гр. З. 1304, 1308).
Е) Некоторые имущества, по роду своему, могут быть принадлежностью только лиц, принадлежащих к особому сословию, коему особо присвоено владение ими, или устраняются из владения лиц, принадлежащих к сословию, которое лишено сего права. Посему есть случаи, в коих лица, лишенные прав на владение некоторыми имуществами, буде таковые дойдут им по наследству, обязываются продать их в положенный срок. Такова была до освобождения крестьян обязанность наследников недворян, относительно доходящих по наследству дворянских имений. Но, с ослаблением значения дворянских имений, это ограничение утратило свою силу, равно как и подобное же ограничение для иностранцев. Ныне в законе остаются лишь следующие ограничения. Еврей, получив по наследству недвижимое имение вне тех местностей, в коих дозволено евреям владеть такими имуществами, обязан продать его в 6-месячный срок. Т. IX. 960.
Подобное же ограничение в последнее время установлено для иностранцев в Царстве Польском, в губерниях Бессарабской, западных и прибалтийских, кроме Эстляндской, а также для русских подданных из иностранцев и переселенцев из Царства Польского в Волынск. губ. (IX. 1003, прим. 2, прил. по Прод. 1890 г. и пол. Ком. Мин. 1895 г., Собр. узак. N 472).
Особая авторизация правительственной власти требуется при переходе по наследству типографий, литографий и металлографий. См. Уст. Ценз. изд. 1890 г., ст. 161. – Об аптеках см. 556 ст. Уст. Врач., изд. 1892 г.
Когда золотые прииски достанутся по наследству лицам, не имеющим права заниматься золотым промыслом, лица эти обязываются, в течение двух лет со дня приобретения, продать или передать свое право; в противном случае прииски продаются с публичного торга. См. Уст. Горн. изд. 1893 г., ст. 438, 439.
Ж) Есть личные права, возникающие вследствие смерти другого лица, но не составляющие наследства. Таково, напр., право вдовы или дочери на пенсию. Право на пенсию нельзя причислить к имуществам, входящим в состав наследства и имеющим ценность в лице умершего вотчинника, следовательно, получение пенсии не сопряжено и с той ответственностью за долги умершего, которая нераздельна с принятием наследства.
З) Авторское право не может продолжаться долее 50 лет по смерти первого приобретателя или после первого посмертного издания. Право это переходит после самого сочинителя к его наследникам в том же объеме, как и у него было, т.е. у наследников сохраняет оно при материальной ценности и личное или духовное свое значение. Как у автора, так и у наследников его не могут быть арестованы сочинения и переводы рукописные и печатные, с правом издания, продажи и отчуждения в пользу кредиторов: для сего требуется согласие наследников (Пол. Взыск. Гражд. 354–356. Уст. Гр, Суд. 1041. Зак. Гр. 1185). Оно требуется и для издания в свете частной переписки и частных записок (Зак. Гр., ст. 4209, прим. 2, прил., ст. 9, 10).
Решением сената по делу Павлова (Касс. реш. 1868 г., N 552) признано, что право на издание журнала или газеты, как право по имуществу, составляет часть наследства, и потому продолжение наследником издания составляет законный признак принятия наследства.
3. О наследстве по закону может быть речь только тогда и потолику, когда и поколику умерший при жизни не распорядился своим имуществом посредством завещания. Когда осталось законное завещание, тогда в том имении, на которое простирается завещание, не может уже быть наследства по закону. Но свободному распоряжению вотчинника на случай смерти подлежит только имущество благоприобретенное, а родовое во всяком случае должно следовать законным наследникам. Отсюда правило 1110 ст.: наследство переходит к наследнику по закону: а) когда умерший оставил родовое имение; б) когда осталось благоприобретенное имение без завещания; в) когда завещательное распоряжение признано по суду ничтожным. Стало быть, когда после умершего осталось завещание, то все имущество, правильно завещанное, исключается из законного наследства и следует не по законному порядку, а по воле умершего, а законное наследство открывается только в том имуществе, которое не вошло в завещание или не могло быть завещано.
Законными наследниками почитаются лица, кровным родством связанные с умершим, без ограничения известной степенью, до совершенного прекращения рода. Если нет никого из кровного родства, то имущество признается выморочным и, как бесхозное, поступает в казну или в пользу некоторых учреждений и сословий, о чем будет сказано ниже.
Но и лица, кровным родством соединенные, должны быть юридически способны к наследованию. Некоторые обстоятельства делают их неспособными. Не могут наследовать родственники, если родство их не проистекает из законного брака (1113 и 136, 137), разве бы они были и в этом отношении сопричтены к законным детям по Высочайшему указу или узаконены установленным порядком (144, 1441 по Прод. 1891 г., 1119; ср. Касс. реш. 1880 г., N 91). Усыновленные имеют наследственные права наравне с родными детьми усыновителей только в их благоприобретенном имуществе, и если у усыновителя остались только дочери, то наследуют в одинаковой с ними доле (156 по Прод. 1891 г.). Связь по свойству не дает права на наследство (1120).
Вообще наш старый закон вотчинных отношений обращал внимание на права наследственные только в тех случаях, когда перед лицом государства имело значение имущество, переходящее по наследству. Так было в сословиях, имевших право вотчинного владения. Податное и особенно крестьянское сословие стояло вне этого права.
Наследником может быть лицо, еще не родившееся в минуту смерти вотчинника, лишь бы оно в эту минуту было зачато; может быть и иностранный подданный. Могут быть и лица с умственными и
физическими недостатками; безумный не исключается от наследства (1106). Магометанин, принявший христианскую веру, не устраняется от наследства и получает часть, следующую ему, в случае раздела, даже по магометанскому закону (ст. 1340).
Наследник должен быть в полноте гражданских прав своих: лишенный всех прав состояния не наследует и почитается как бы умершим для наследства (Гр. Зак. 1107). Не могут наследовать монашествующие, отрекшиеся от мира (Зак. Гр. 1109. IX. 356, 439, 475). Исключение для католических монахинь и для армянского монашества см. IX. 443, 475.
С лишением прав состояния прекращаются и все гражданские права, возникающие из супружества и союза родственного; следовательно, и естественная кровная связь через посредство лица, лишенного прав, не дает право на наследство (см. о сем реш. Гражд. Касс. Деп. Сената 1874 г. по д. Муравьевых).
О наследниках, не способных по недостоинству, наш закон не упоминает. По делу о завещании бригадирши Лопухиной Государственный Совет (в 1839 г.) рассуждал, что в наших законах нет решительного постановления о прямом устранении детей от наследства за непокорность их родителям; но если бы устранение сие, в отношении к имению благоприобретенному, и было допущено, то и тогда оно не должно быть вечным, ни в отношении к устраненным – через лишение их навсегда возможности вступить во владение имением, по могущим даже впоследствии открыться правам наследства, ни в отношении к потомкам, невинным в проступках своих предков.
Поземельные участки, купленные от казны в Царстве Польском, на основ. Полож. 1871 г., могут переходить по наследству только лицам русского происхождения, если же таких нет, то продаются, и лишь цена продажи достается наследникам (П. С. Зак. N 49763, ст. 20).
§ 39. Общие положения наследственного порядка. – Наследование в нисходящей линии. – Указная доля дочери. – Уравнение дочерних частей с сыновними. – Преимущество мужчин перед женщинами. – Право представления. – Право сводных детей. – Отличия в Литовском статуте
После умершего вотчинника призываются к наследству родственники его, члены рода его, связанные с ним союзом законного родства. Они призываются к наследству не просто по близости степеней, по счету рождений, но и по близости линии. Для того чтобы определить право на наследство после известного лица, надобно прежде всего определить, в какой линии родства с умершим находится претендующее лицо, и если это – линия, ближайшая к умершему, то претендент может быть после него наследником. О значении рода, линии и степени, о правилах исчисления родства по линиям и степеням см. выше.
В наследстве ближайшая линия исключает дальнейшую. Итак, если есть претендент на наследство после меня в 1-й боковой линии, напр. брат родной, то уже не может быть и речи о праве 2-й боковой линии, где мои двоюродные братья. Если претенденты в линиях, равно близких ко мне, напр. двоюродные от деда и от бабки, то между этими линиями может быть состязание в наследстве.
Когда определены линии, в каждой из них считаются степени. В каждой линии ближайшая степень исключает дальнейшую. Но если при открытии наследства лицо, ближайшее в степени к умершему, не находится уже в живых, а есть его потомки, то место этого лица занимают и в степень его вступают эти наличные потомки, дети, внуки, правнуки и т.д. Это называется правом представления (ст. 1123). Так, если после умершего А остался брат его З с сыном и внуками, то сын Ж и внуки Д и Е при живом отце и деде не имеют права на наследство после А, потому что З в ближайшей степени родства с умершим вотчинником, а ближайшая степень исключает дальнейшую. Но когда после А остался брат Ю и сын (Ж), либо внуки (Д, Е) другого брата З, прежде умершего, то эти потомки вступают в степень умершего родителя или деда своего и делят наследство после А вместе с Ю, т.е. с тем лицом, которое состоит в одинаковой степени с тем родителем или дедом, кого они представляют. Они получат ту же самую часть, которую получил бы родитель или дед их, если бы находился в живых при открытии наследства после А, и делят эту часть между собой поголовно (1125 ст.).
Женщины в таком только случае пользуются наследством, когда нет с ними мужчины в равной степени; на этом основании пользуются они и правом представления, т.е. дочь тогда только представляет отца своего, или внука – деда или бабку, когда у ней нет в живых братьев (1126 ст.).
Восходящие родственники не пользуются правом представления. К наследству призываются родители, но ни как не деды и не бабки, и родители не безусловно, а лишь в ограниченном смысле: они предпочитают, при некоторых условиях, боковым родственникам умершего, но никогда не входят в состязание с детьми умершего, своими внуками (1124).
Супруги получают друг после друга определенную часть; право их основывается не на кровной, родовой связи, а проистекает исторически из обязанности взаимно поддерживать друг друга в средствах к содержанию. Отсюда следует, что супруги, не имея один после другого наследственного права, не имеют и права представления; посему едва ли правильно рассуждал Сенат, в решении 1879 г., N 342, что супруги пользуются правом представления в случае, предусмотренном в ст. 1149.
Наследование в нисходящей линии
Ст. 1127–1132
Ближайшее право на наследство после умершего отца или матери принадлежит сыновьям. Если останутся после умершего одни только сыновья, то они делят наследство между собой поровну, поголовно. Тоже право принадлежит дочерям, если останутся одни только дочери.
Но когда при сыновьях останутся и дочери, родные их сестры, то сестра в строгом смысле при брате не наследница. Каждая дочь получает тогда из родительского имения только так называемую указную часть, именно 1/14 из недвижимого и 1/8 из движимого57. Эта часть дочери ни в каком случае не должна по величине своей превышать часть, достающуюся каждому брату, и потому, если после умершего останется при сыновьях столько дочерей, что по назначении им указанных частей (из движимого или недвижимого имения) сыновние части оказались бы менее дочерних, то части сыновей и дочерей сравниваются. Так, напр., когда бы осталось 10 дочерей и 5 сыновей, то из недвижимого первым следовало бы 10/14 частей и затем осталось бы только 4/14 части на 5 сыновей, так что на долю каждого сына пришлось бы менее 1/14 части; тогда и сыновьям и дочерям следует назначить по 1/15 части. Когда бы осталось 5 дочерей и 5 сыновей, то из движимого следовало бы дочерям 5/8, а остальные 3/8 достались бы 5 сыновьям, т.е. каждому менее одной восьмой части: тогда и сыновьям и дочерям следует назначить по 1/10 части.
Все дети умершего, состоящие в живых в минуту его смерти, имеют право на наследство. Если кто-нибудь из них умер до этого времени, не оставив после себя детей и потомства, в таком случае не может быть и речи об участии его в наследстве. Но если в минуту смерти вотчинника существует потомство одного из умерших прежде детей его, то это потомство пользуется правом представления, вступает по наследству в право родителя своего, которое принадлежало бы ему, когда бы он сам при открытии наследства находился в живых: живые получают часть умершего, коего личность представляют (ср. Касс. реш. 1876 г., N 444; 1880 г., N 272). Этим правом наследства пользуются они непосредственно: они наследуют не родителю своему, а прямо тому предку, после кого открывается наследство, но наследуют ему по той причине, что представляют личность своего родителя.

В минуту смерти Петра все его дети и внуки не находятся уже в живых: ему наследуют правнуки его Алексей и Карп, потому что представляют личность отца своего Федора и деда своего Ивана. При этом никак не предполагается, что имущество умершего Петра переходит сначала к тем, кого уже нет в живых – к сыну его Ивану, потом к внуку Федору, и уже через последнего – к детям его Алексею и Карпу. По праву представления в наследстве имущество пе-реходит прямо к представителям, не задевая лица представляемого, без всякой мысли о передаче от представляемого. Это различие имеет практическую важность. Если бы имущество прадеда Петра, достающееся правнукам, переходило к ним не иначе как по наследству от отца или от деда Ивана, который должен был наследовать отцу своему Петру, когда бы при смерти его находился в живых, в таком случае наследство перешло бы к правнукам не только с долгами прадеда, но и с долгами деда или отца; но так не бывает и быть не должно (ст. 1262). Напротив, когда бы Иван хотя одним днем пережил отца своего Петра, то Алексей и Карп получили бы тоже самое прадедовское имение в наследство уже не от прадеда своего Петра, а от деда Ивана, стало быть, оно перешло бы к ним и с долгами Петра и с долгами Ивана.
В какой мере наследство принадлежало бы представляемому лицу, в той мере принадлежит оно представителю.

Умирает Петр. Если бы живы были в эту минуту сыновья его Николай, Карп, Антон, то сыновья и внуки их не имели бы никакого права на наследство. Так не имеют этого права Сергей и Федор, сыновья Ивана живого. Но Николай, Карп, Антон не живы в минуту открытия наследства после Петра. В степень их входят их потомки следующим образом. После Карпа следовал бы сын его Александр, но и Александра нет, а есть в живых сыновья его Василий и Андрей, дети Александра, внуки Карпа, правнуки Петра. Они получат и разделят поровну ту часть, которая следовала бы Карпу. После Николая осталась дочь, одна только дочь Анна. Она единственная представительница Николая, который, как сын Петра, получил бы полную наследственную долю. Она и получит сполна долю отца своего Николая. Осталась в живых и тетка Анны, дочь Петра. Она как дочь, как женщина, сама по себе получит после отца только 1/14 долю недвижимости из его наследства, тогда как племянница ее Анна, представительница мужчины, отца своего Николая, получит его полную, мужскую долю. Но был у Петра еще сын Антон. Его тоже нет в живых; после него остались сын Власий, да дочь Ольга. Как тут поступить? Один ли Власий пользуется правом представлять отца своего Антона в наследстве и получит всю долю, следовавшую отцу его, или вместе с тем и сестра Власия, Ольга, пользуясь тоже правом представления, должна получить из этой доли 1/14 часть недвижимого и 1/8 движимого?
Здесь мы касаемся вопроса, многими почитаемого за спорный, вопроса о праве представления, принадлежащем женщине при мужчинах. Иные полагают, что в приведенном случае внука, сыновнина дочь, по смерти деда участвует в наследстве его, в степени умершего отца своего, по праву представления, даже при живом брате, и получает указную дочернюю часть из того имущества, которое досталось бы отцу ее, когда бы он при открытии наследства оставался в живых. Мнение это трудно признать основательным.
Припомним прежде всего общее правило 1126 ст., общее для всех линий: лица женского пола пользуются правом представления тогда, когда они за недостатком мужского пола призываются к наследству. Правило это, конечно, не было бы высказано, когда бы закон допускал наследство женщин по праву представления и при мужчинах, состоящих в одной с ними степени.
Далее – припомним строгое различие между наследством и правом представления: последнее есть не наследство, а, так сказать, путь, способ к наследству. Когда мы говорим о наследстве, то должны иметь в виду то лицо, после которого открывается наследство. В приведенном примере речь идет о наследстве после Петра, а никак не после Николая, Карпа, Антона и пр. Здесь речь может идти только о наследстве Ольги после деда ее Петра, а не после отца ее Антона. Когда бы она после Антона наследовала, то получила бы свою указную дочернюю часть: она, конечно, и получила ее в свое время, когда при смерти отца ее оказалось у него именье. Но после деда, при внуке его Власии, наследнике мужского пола, внучка не наследница.
В нашем законодательстве исторически выработалось следующее общее правило. Женщина участвует в поголовном разделе наследства только тогда, когда в одной степени с ней нет мужчины. Кроме этого случая допускается наследство женщины в одной только форме; в форме указной доли, а эта форма может быть только двоякая: вдовья и дочерняя. Затем о других формах не было никогда помину в нашем законе. Внучатной доли быть не может. Вспомним историческое происхождение указной доли: это определенная в постоянном размере часть имения, выделяемая жене на прожиток после мужа, дочери – на прожиток же или на приданое после родителей. Дочь выделяется из семейства, предполагается непременно к переходу в чужую семью, и с выделом указной части из родительского имения прекращаются все ее имущественные притязания к семье, если есть у нее братья. Эти братья считаются представителями отцовского рода, наследниками родителей, а дочь переходит в чужую семью и становится в начале своей семьи, которую вновь основывает с мужем: таково общее предположение закона. Когда умирают родители ее, она в таком только случае является представительницей рода их по имуществу, когда не осталось после них сыновей. Если в роде, к которому принадлежит она по рождению, оказывается надобность в представителе, она в таком только случае допускается к этому представительству, когда в равной с ней степени нет мужчин. Все, что может женщина получить при братьях, она получает как дочь, но как внучка ничего не получает. Говорят: если бы после Петра успел наследовать Антон, то сумма его имения увеличилась бы этим наследством, и в той же пропорции увеличилась бы указная доля дочери Антоновой Ольги. Из этого выводят, что Ольга не должна быть лишаема этого увеличения и в том случае, когда наследство после Петра не застает уже в живых сына его, а застает в живых потомков сына. Вывод, очевидно, неправильный. Наследство после Антона открывалось уже раз и единожды навсегда; в другой раз открытие это не может повториться. Только в эту минуту Ольга при брате могла считаться наследницей после отца своего. В другой раз наследство открылось после деда; как дочь, Ольга получила все, что могла получить при брате; как внучка, она могла бы получить добавление к отцовской доле в таком только случае, когда бы закон именно установил и для внучки особую указную часть. Такого правила нет, и если бы оно было, оно состояло бы в противоречии со всей системой наследственного права женщин по нашему закону.
Скажут: обидно, несправедливо. Но этот аргумент относится к области нравственных, а не юридических доказательств. Место ему при обсуждении закона в области законодательства; но там, где дело идет о применении силы данного, известного закона к данному случаю, остается только определить истинный смысл данного закона, и соображения справедливости могут быть допускаемы только в пределах этого законного смысла.
Итак, Ольга ничего не получит после деда при брате своем Власии. Иное дело – другая внучка Петра – Надежда. Она вступает в степень матери своей Евгении, представляет мать свою, и если мать ее при жизни отца не была окончательно выделена в своей указной части, Надежда получит по смерти Петра все то, что следовало бы ее матери.
Последнее правило: дети сводные, принадлежащие одному из супругов, наследуют только в имении своих родителей, а не отчима или мачехи, потому что между пасынком или падчерицей и отчимом или мачехой существует только свойство, а свойство не дает права на наследство.
Особый порядок наследства, по Литов. стат., для Черниговской и Полтавской губерний. Имущество после отца идет к сыновьям и, по праву представления, внукам и т.д.; дочери же при сыновьях с нисходящими получают только приданое по местному праву, на осн. 1005 ст. Зак. Гражд. Они наследуют, с нисходящими, лишь когда не осталось сыновей или их потомства. После матери как родовое, так и благоприобретенное имущество дочери делят с сыновьями поровну; но буде при жизни матери сын или дочь получили уже от нее выдел или приданое, то уже не участвуют в разделе наследства после нее; участвует только потомство их, по праву представления, когда их самих уже нет в живых (Зак. Гражд. 1133).
§ 40. Наследование в боковой линии. – В каких случаях женщина пользуется правом представления? – Наследование в родовом имении сообразно происхождению имения. – Наследование в благоприобретенном имении. – Предпочтение полнородных неполнородным (ст. 1134–1140)
Когда после умершего не осталось детей и их потомков, т.е. когда нет никого в нисходящей линии, наследство переходит в боковые линии.
Если есть родственники в ближайшей линии, то нечего искать наследников в дальнейшей, ибо ближайшая исключает дальнейшую. Стало быть – если есть братья родные или их потомство (в первой линии), то двоюродные братья умершего или их родители, дядья умершего (во второй линии) не могут иметь претензий и т.д.
В каждой линии ближайшая степень исключает дальнейшую. Стало быть, при живом брате моем, дети его, мои племянники, не могут наследовать после меня, а наследует брат. Если у меня остался дядя родной, то дети его, мои двоюродные братья не наследуют, а наследует после меня дядя: брат – всего ближе ко мне по степени, в первой боковой линии; дядя – во второй боковой линии. Равные степени делят наследство поголовно: стало быть, если после меня во второй боковой линии осталось двое дядей, они оба в равной степени и разделят мое наследство поголовно, по равным частям. Умерших – наследников в ближайшей степени – заменяет их потомство, вступает в степень их и получает всю ту часть, которая следовала бы умершему, которого представляет; в таком случае потомство наследует по праву представления поколенно, хотя бы наследники и не носили имени или прозвания умершего. Когда представителей несколько, то все они, получая часть представляемого, делят ее между собой поголовно, если состоят в одинаковой степени; поколенно, когда состоят не в одинаковой степени относительно представляемого лица. В дележе не участвуют лица женского пола, когда в одной с ними степени есть мужчины. Сестры при братьях родных и их наследниках обоего пола не имеют права на наследство. Стало быть, если у меня остался брат с сестрой, то наследует один брат, а сестра не получает ничего. Если остались после меня – брат, да дети другого брата, сын и дочь, то эта дочь, моя племянница, не может представлять своего родителя, а один брат ее пользуется правом представления, и наследство мое разделят поровну – брат мой с племянником, а племяннице моей не достанется ничего. Но когда бы при ней брата не было, то она одна представляла бы отца своего и получала бы половину моего наследства. Правило о том, что сестры при братьях родных и их потомках обоего пола не имеют права на наследство, по разъяснению Государственного Совета, распространяется на все боковые линии и на все в них степени (ст. 1135, прим.; ср. Касс. реш. 1879 г., N 264).
Наследство открывается после Петра, бездетного. Родных братьев у него нет, нет, следовательно, родственников, которые происходили бы от одного с ним родителя, – в первой боковой линии, стало быть, открываются права дальнейшей, второй боковой линии, в линии деда его по отцу, Федора. В этой линии могут быть дядья его, тетки, братья двоюродные, племянники двоюродные и пр. Если бы жил дядя его, Алексей, да другой дядя, Иван, то оба они прямо получили бы все наследство, состоя в ближайшей степени родства к умершему вотчиннику во второй боковой линии; тогда никакого поколенного дележа не было бы, а был бы между Иваном и Алексеем только чистый поголовный дележ наследства поровну, так как Иван и Алексей никого не представляли бы, а наследовали бы прямо в силу своего права: отец их, Федор, сам не мог бы наследовать после внука, следовательно, о праве представления его личности здесь и речи быть не могло бы, а Иван и Алексей наследовали бы после Петра просто по кровной связи с ним, как дядья его, без всякого представления. Но ни Алексея, ни Ивана нет в живых, а осталось потомство одного Алексея, и оно вступает в права его. Но при этом ни сестра его Анна, тетка умершему вотчиннику, – когда бы была в живых, – ни потомство ее не могут иметь никакого участия в наследстве по силе 1135 ст.

В каком же порядке наследство Петра разделится между потомством дяди его Алексея? У Алексея было три сына: Кондратий, Александр и Николай. Если бы все трое были в живых при открытии наследства после Петра, то все они поровну разделили бы оное между собой без всякого участия своих потомков, так как ближайшая степень загораживает дорогу всем степеням дальнейшим. Они получили бы наследство по праву представления, но разделили бы между собой поголовно, состоя в одинаковой степени родства относительно представляемого лица – Алексея и относительно умершего вотчинника Петра.
Но из них жив один только Александр, а Кондратий и Николай умерли, оставив по себе потомство. С этим-то потомством (но никак не с сыном своим Карпом, которому загораживает дорогу) Александр и должен вступить в состязание и в дележ.
Дележ этот будет вообще поколенный, а в частностях – и поголовный. Поколенный, потому что живые лица, претендующие на наследство, состоят все в различной степени родства с умершим вотчинником, но, представляя своих родителей и дедов, входят в их степень, и только на одной из высших степеней сводятся к единству того лица, которое и без представления, непосредственно могло бы наследовать умершему. Так, здесь права всех претендентов сводятся к праву Петрова дяди Алексея. В частностях, придется раздроблять наследственные доли поголовно, когда в дальнейших степенях сыновья будут делить между собой поровну долю своего родителя, которого представляют.
Итак, Александру достанется треть наследства, другая треть – потомству Кондратия и третья треть – потомству Николая. У Кондратия два сына – Матвей и Антон, да дочь Ольга; ее, при живых братьях или при их потомстве, все равно что нет; ей ничего не достанется (1135 ст.). Матвей разделит долю отца своего Кондратия с потомством брата своего Антона, прежде умершего. Дележ опять поколенный. Матвей получит половину Кондратьевой доли, а другую половину разделят между собой уже поголовно, пополам, сыновья Антоновы, Фрол с Константином.
Последнюю треть Петрова наследства получит потомство Николая. У него была дочь Марья. Так как при ней нет ни живых братьев, ни их потомства; то она могла бы представлять отца своего Николая, а так как ее нет, то ее представляют и получают третью долю Петрова наследства две ее дочери – Софья да Вера, хотя они по отце своем носят чужую фамилию, а не Петрову. Зато по матери они принадлежат к роду Петра и, не имея при себе братьев и их потомства, могут представлять мать свою. Долю матери своей, долю деда своего Николая делят они между собой поголовно.
По вопросу о праве женщин при мужчинах наследовать в боковых линиях продолжаются еще пререкания, хотя этот вопрос, кажется, несомнительно разрешается 1135 ст. Гражд. Законов (см. полемику по сему вопросу в Журн. Мин. Юстиции 1865 г. N 12 и 1866 г., т. I, стр. 267 и т. II, стр. 47 и 53, и аргументацию в решении Моск. окружн. суда по делу Щербинина. Юридич. Вестн. 1869 г., N 2; 1872 г., N 4. Есть и судебные решения, допускающие племянниц при племянниках к участию в наследстве, по праву, будто бы, представления. Напр., реш. 7 Д. Сен. 29 апр., 1870 г. по д. Согбатовых. Но Касс. реш. 1872 г., N 505 признало, что сестры при братьях не наследуют в боковых линиях по праву представления). Возражают, что 1135 ст. имеет в виду не сестер наследника, а сестер умершего вотчинника – толкование, очевидно, неосновательное. Статья, по буквальному своему смыслу, имеет в виду определить, кто при ком, т.е. в состязании с кем, не наследник, и притом вообще в боковой линии, а не только в первой боковой линии. Правило 1135 ст. согласуется вполне и с общим постановлением 1126 ст., что женщины пользуются правом представления тогда, когда они, за недостатком мужчин, призываются к наследству; согласуется и с историческим ходом нашего законодательства, которое никогда не признавало за женщиной самостоятельного права на наследство при мужчине (ср. что сказано выше о наследственном праве внучки).
Ссылаются на 4 ст. XVII гл. Уложения, в коей сказано: «А у кого сыновей не останется, и родовые и выслуженные вотчины давати и дочерям их – и у которых дочерей будут дети, и те вотчины детям их и внучатам, после дедов своих и бабок их родных и с дядьями и с тетками своими родными в старинных и в выслуженных вотчинах быти им вотчинам же». Против этой ссылки заметим, что из нее еще менее, чем из иных, можно выводить коренное, будто бы, право племянниц при родных своих братьях наследовать совокупно с дядьями или тетками. Невозможно признать ясное общее начало в том, в чем господствовало в эпоху Уложения полное смешение понятий – именно в праве представления. Практика бродила по всем вопросам, в коих надлежало судить по праву представления. Во-1-х, в самой статье не говорится ни слова о племянницах или дочерях дочерей, а говорится просто о детях, следовательно, позволительно еще усомниться, разумеются ли в этом слове дочери, когда вообще сестры при братьях не имели участия в наследстве. Во-2-х, если под словом дети разуметь и одних сыновей (а тем более дочерей), то правило статьи в совокупности своей, представляет странное противоречие, которое обнаруживает нам, как смутны были понятия того времени о представлении и как опасно выводить общее начало из приказного приговора по частному делу, послужившего основанием целой статье. Именно: в первой половине статьи говорится несомнительно: дочерям давать вотчины, когда не осталось сыновей; иначе – сестра при брате не наследница. А из второй половины следует явное, по нашему понятию, нарушение этого правила, ибо там, где сын остался, потомству дочери дается совокупное с сыном (т.е. племяннику, дочернему сыну с дядей) участие в наследстве, стало быть, потомству, представляющему умершую, дается более прав в наследстве, чем сама она имела бы, когда бы жива была. Явное дело: или мы не понимаем, что хочет выразить статья, или практика приказная на этой статье бродила в потемках, как бывало в эту пору и после, когда, напр., по неведению о праве представления, мужчине из женского колена давалось право, коего не имела бы мать его, потому только, что он мужчина, независимо от степени, в которой право его уравнивается с правом другого наследника. Наконец, что бы ни означала означенная статья, правило ее исчезло безвозвратно за указом 10 авг. 1677 года, коим решительно признано преимущество мужчин пред женщинами во всех боковых линиях без исключения. На этом начальном правиле стоит наш закон и доныне, только оно разъяснилось несомнительно с установлением понятия о праве представления и правила 1126 ст. Защитники противоположного мнения сбиваются, как было замечено, на понятиях о наследственном праве по представлению. Им кажется, что, при наследовании по праву представления, наследниками надлежит считать представляемых, т.е. прежде умерших, и что их право передается уже представляющим их потомкам – понятие неверное: наследство переходит прямо от умершего, и наследниками считаются прямо те, кои лично призываются к наследованию, хотя бы и по праву представления.
Раздел наследственного имения в боковых линиях затрудняется и усложняется следующим правилом. Всякое недвижимое имение у своего владельца принадлежит к одному из двух разрядов: либо оно родовое у него, либо благоприобретенное. На случай бездетной смерти владельца, когда наследство должно идти в боковую линию, непременно следует принимать в соображение свойство каждого отдельного имения: родовое ли оно было у умершего вотчинника или благоприобретенное.
Возьмем сначала первый случай: имение было родовое. Родовое имение непременно имеет свою историю. Оно досталось умершему вотчиннику по наследству, или по акту, только из его же рода. В том или другом случае родичи его, владевшие до него этим имением, принадлежали или к роду отца его или к роду его матери, или имение непосредственно дошло к нему от отца, либо от матери. Спрашивается: если оказываются претенденты к наследству такого вотчинника в обоих родах: в роде отца и в роде матери, на каком основании распределять между ними имение? Закон отвечает: в боковых линиях имения родовые переходят – отцовское всегда в род отца, материнское в род матери. Необходимо знать, откуда шло родовое имение и через какие роды проходило. Родовое имение отцовское – есть то, которое наследовано от отца; материнское – от матери. Всякое отдельное имение, если переходило несколько поколений по наследству, имеет свою наследственную историю, которую можно проследить по родам, из коих оно досталось последнему владельцу. Напр.: Иван Иванов умирает, оставляя два имения: Коптево и Федоровское. Коптево дошло ему от отца Иванова, отцу от матери его из рода Алексеевых, а ей от дяди по матери Васильева. Федоровское дошло к нему от тетки родной по матери из рода Афанасьевых, а ей досталось от брата двоюродного из рода Петровых. Таким образом, Коптево, прежде чем дошло до Ивана Иванова, было в двух родах – Алексеева и Васильева; и Федоровское в двух родах – у Афанасьева и Петрова.
Спрашивается: как же следует истолковать правило о том, что родовое отцовское имение идет в род отца, материнское в род матери? С первого взгляда кажется, что применение этого правила просто: все, что досталось от отца – без различия дальнейшего происхождения (родовое отцовское по букве закона), достанется тому, кто ближе по линии и по степени к умершему в роде отца. Но исторический обычай и судебная практика издавна дают этому правилу иное истолкование, глубже проникающее в сущность родового свойства имений. По этому истолкованию, в определении наследственного права на родовое имение, принимается не только близость родовой связи между лицами, но и историческое отношение имения с теми фамилиями, из которых оно вышло. Безотносительно род отца моего (или матери) состоит из линий, примыкающих к тем предкам, от коих получил я кровь через отца своего (или через мать). Относительно известного родового имения отцовского (или материнского) род, куда оно должно идти, состоит из линий, примыкающих к тем предкам, за кем состояло и от кого переходило имение в наследственном обороте. Итак, имение, когда идет в род отца или матери, буде не находит себе наследника в ближайших линиях к последнему преемнику и владельцу, и должно идти в дальнейшие линии, следует в ту линию, из которой вышло. В первой боковой линии разрешение вопроса просто: братья и сестры полнокровные наследуют родовое имение безразлично, потому что принадлежат одинаково к роду отца и к роду матери. Братья по отцу получают отцовское родовое, братья по матери – материнское. Когда доходит до второй боковой линии и оказываются в ней наследники, затруднение тоже устраняется. Отцовские или материнские двоюродные всегда находятся в одной только линии (потомки моего дяди, моей тетки по отцу, либо по матери). Итак, от кого бы ни дошло родовое имение к отцу моему – от отца его или от матери, никто из дальних не может по этому имению вступить в состязание с потомками родного моего дяди, потому что дядя мой – сын тех же родителей, от которых и отец мой произошел. Двоюродные положительно исключают в наследстве дальнейшие линии, хотя бы доказано было, что имение, полученное умершим вотчинником от отца, происходит из рода его (отцовой) матери, ибо двоюродные во всяком случае, примыкая к тому же роду, оказываются близкими и по имению и по крови умершему вотчиннику. Но уже в троюродных возможны столкновения наследственных прав между линиями, из которых вышло родовое отцовское или материнское имение, так что дальнейшая степень, примыкающая к имению по его происхождению, может отстранить, относительно сего имения, ближайшие степени, и ближайшая линия должна уступить дальнейшей, из коей вышло имение. В таком смысле применяется 1138 ст. Зак. Гр. Имение родовое возвращается в тот род, из коего вышло.
Уложение и последующие указы, на коих основана 1138 ст., служат подтверждением того основного правила, что имения бездетного вотчинника должны идти в тот род, чьи они старинные были. В указе 1 апреля 1763 года, между прочим, сказано: «вотчины, данные дочерним детям и внучатам, коих не стало бездетных, родственникам тех дочерних детей и внучат не давать, а быть им, по Уложению, и отдавать в род того рода, чьи те вотчины были старинные, родовые и выслуженные; следовательно, такие вотчины, данные из чужих родов не только дочерним детям и внучатам, но если бы и далее по нисходящей линии обращались наследственной линией, по пресечении той линии, как они не того рода, и что кроме собственных потомков того колена, от которого они, или другой никто наследовать не может, по тому указу непременно подлежат к возврату в тот род, чьи они были». При точном действии сего правила материнское родовое имение уже не может идти в род отца, и если в роде матери нет наследников, становится выморочным.
Для пояснения приводим следующие примеры:
А. Наследство открывается после бездетного Ивана Петрова. Осталось у него материнское родовое имение, село Заразы, которое матери его Анне досталось от ее родной тетки по матери, Феклы, из роду Сергеевых. К этому имению претенденты: двоюродный брат умершему, по матери, Алексей Федоров, и из троюродных Федор Сидоров, родной племянник той Фекле Сергеевой, от которой шло имение. Но в этом случае Федор Сидоров не имеет никакого преимущества, по происхождению имения, перед Алексеем Федоровым, ибо и сей последний, через бабку свою Марью, тоже примыкает к роду Сергеевых, из коего дошло имение, и сам мог бы наследовать после Феклы Сергеевой; стало быть, он, состоя в одинаковых условиях с Федором Сидоровым по происхождению имения, по крови имеет перед ним преимущество, ибо, как двоюродный умершему вотчиннику, состоит в ближайшей к нему линии.

Б. После бездетно умершего кн. Николая Касаткина-Ростовского осталось, между прочим, родовое имение, дошедшее к нему от матери, Анны, урожденной Дуровой. К этому имению объявляли себя наследниками из рода матери – троюродные племянники умершего, братья Пожогины-Отрошкевичи, за коми имение и было утверждено, ибо в ближайшей линии не оказалось наследников. Но затем явился к тому же имению другой претендент, Николай Дуров, двоюродный дядя умершего, через бабку его по матери, принадлежавшую к роду Дуровых. Он доказывал, что те самые села и деревни, из коих состоит спорное материнское имение умершего, дошли к матери его кн. Анне из рода Дуровых, коему принадлежали в XVIII и в конце XVII столетий, – что подтвердилось по документам. На сем основании Сенат, убедившись, что спорное имение не было в роде Пожогиных на праве собственности, но состояло всегда родовым в роде Дуровых и из сего рода дошло княгине Анне Касаткиной, признал Николая Дурова единственным наследником к сему имению, без участия Пожогиных.

В. Имение осталось после бездетной Марьи Киселевой. В первой боковой линии у нее нет наследников. Во второй линии тоже нет. В третьей линии есть потомки прадеда вотчинницы (через мать) Якова Неелова: есть правнучка сего последнего кн. Долгорукова, состоящая в 6-й степени родства с умершей вотчинницей. Есть еще в четвертой линии потомки прапрадеда умершей (через отца ее), Ивана Киселева, происходящие от внучки его Марфы, по мужу Чемесовой, две дочери той Марфы: Александра Чемесова, Марфа Вигель, и третьей дочери сын Николай Жедринский (в 7-й степени родства). Затем есть в шестой боковой линии потомки прапрапрапрадеда Марьи Киселевой, прадеда прабабки ее, – Якова Останкова, правнуки его Матвей и Алексей Останковы (в 9-й степени родства). Все эти лица принадлежат к отцовскому роду умершей Киселевой; имение ее родовое отцовское, и, когда бы не различалось происхождение сего родового имения, из числа всех сих лиц надлежало бы наследовать одной кн. Долгорукой, так как она состоит в ближайшей линии. Но наследственное отцовское имение умершей перешло к отцу ее, деду и бабке из разных родов, между прочим, из рода Останковых и из рода Нееловых, и каждое должно возвратиться в свой род. Именно деревни и села, из рода Нееловых вышедшие, и с того времени непрерывно бывшие родовыми, достанутся Долгорукой, вышедшие из Останковского рода достанутся Останковым, хотя они состоят и в отдаленной, сравнительно с Долгорукой и Чемесовыми, боковой линии (Ср. Мн. Гос. Сов. по делу Киселевой в Журн. Мин. Юст. июнь 1861 г.)

Г. Феофилатьев завещал благопр. имение жене своей с тем, чтобы после нее оно перешло к внукам их, детям их дочери, кн. Кугушевым. Феофилатьева, приняв имение, умерла, а после нее оно утверждено за внуками ее Кугушевыми. По смерти их к сему имению предъявили права по наследству троюр. братья их Кугушевы. Им отказано, потому что имение происходит у вотчинников из рода матери, а просители принадлежат к отцовскому роду. Жалоба принесена была на неправильное применение в сем решении 1138 ст. I ч. Х т. Просители утверждали, что статья говорит исключительно об имениях (отцовское родовое), которые у отца или матери были уже родовыми, а в деле имение стало родовым только при переходе к самим умершим вотчинникам Кугушевым. Сенат отверг это толкование (Касс. реш. 1872 г. N 1288), рассудив так: в 1138 ст. имение, благоприобретенное самим бездетным владельцем, противопоставляется имению, полученному им от родителей, и потому на основ. 399 ст. Гр. Зак. следует признать, что все имения, дошедшие к умершему вотчиннику от его родителей, хотя бы у сих последних они были и благоприобретенными, следуют в дальнейшем переходе порядку, указанному в 1138 ст.
1890 февр. 20 N 61. В деле Кокоревой с Воронцом по вопросу о порядке перехода родовых имений по наследству в боковых линиях, Гражд. Касс. Департ. признал, что употребленное в 1138 ст. 1 ч. Х т. выражение – имения родовые переходят: «отцовское в род отца, материнское – в род матери» – не может быть истолковано в том смысле, что имение, полученное умершим от отца своего, должно непременно переходить к родственникам отца, независимо от того, каким образом имение это перешло к отцу умершего и у кого из прежних собственников оно сделалось родовым. При подобном толковании родовое имение, доставшееся отцу умершего от его бабки, у которой оно было уже родовым, следовало бы передать родственникам деда, как принадлежащего к роду отца, а не родственникам бабки, причем родовым имением унаследовал бы не тот род, из которого оно дошло, а род, никогда оным не владевший. Между тем закон имеет в виду, при наследовании в родовом имении, сохранить его в роде, из которого оно получено, и что поэтому право боковых родственников на наследство в родовом имении обусловливается не одним кровным родством с отцом или матерью умершего, но и принадлежностью их к тому роду, из которого досталось имение, т.е. общим происхождением умершего и отыскивающего наследство от того родоначальника, от которого досталось родовое имение, составляющее предмет наследства.
по Литовскому статуту (Черниг. и Полт. губ.), после бездетного владельца материнское имение делится поровну между родными его братьями и сестрами, а если нет их, ни потомства от них, то идет по правилу 1137 ст. дальше в род матери, в дальнейшие боковые линии (Зак. Гражд. 1139 ст.).
Это правило 1139 ст. служит местным исключением из общего порядка, означенного в 1135 ст., в силу коего сестры при братьях в боковой линии не наследуют; по материнским имениям (умершего вотчинника) наследуют сестры наравне с братьями. Спрашивается: простирается ли это исключение и на те случаи, в коих, по смерти брата, за отсутствием живых сестер, наследство переходит, по праву представления, к потомству сих последних, состоящему из братьев и сестер? Наследуют ли и тут сестры наравне с братьями, т.е. племянницы умершего вотчинника наравне с племянниками? Одни отвечают: наследуют, ибо если уравнение сестер допущено в одной степени, то нет резона не допускать его и в другой, при праве представления; ссылаются притом на 5 и 6 п. 1133 ст., допускающие поголовный дележ материнского имения между сыновьями и дочерьми. Другие, опираясь на буквальные выражения 1139 ст., допускают исключение только для братьев и сестер умершего вотчинника, так как статья, поминая и нисходящих от братьев и сестер, не присовокупляет и для них такого же исключения. Но, кажется, справедливо было бы приложить к этому случаю более широкое толкование закона. В правиле 1139 ст. закон отступает от общего начала – предпочитать братьев сестрам и допускает, по соображению со свойством имения, а не с близостью родства, начало уравнения женщины с мужчиной. Посему нет основания не распространить это исключение и на потомство братьев и сестер умершего вотчинника, представляющее своих родителей. Вопрос этот возникал в деле о наследстве после кн. Прозоровского, в правах потомства двух сестер умершего вотчинника – Фроловой-Багреевой и Канцевичевой. Сенат (во 2 отд. 3 Д. 21 окт. 1869 г.) рассудил, что исключение, установленное в 1139 ст. для братьев и сестер умершего вотчинника, простирается на их потомство и теряет силу, уступая общему правилу только тогда, когда наследство, в отсутствии родных, идет в дальнейшую линию к двоюродным. Этого же воззрения держится и практика Кассационного Департ. Сената; см., напр., реш. 1879 г. N 264; 1882 г. N 49.
В применении правил о наследстве родового имения братья (и сестры) от одного отца, но от другой матери (единокровные) и от одной матери, но от другого отца должны быть уравниваемы с полнородными братьями и сестрами относительно имения, принадлежавшего общему родителю. Нет ни малейшего основания (когда прямо не установил его закон) предпочитать в сем случае полнородных неполнородным братьям и сестрам, ибо единокровные мои братья по отцу без всякого сомнения принадлежат к роду отца, и единоутробные по матери – к роду матери, следовательно, состоят вполне в условиях, требуемых законом. Соответственно с сим, в кассационных решениях 1874 г., N 738 и 804 и 1876 г., N 102 и 214 Сенат рассуждал, что близость родства определяется происхождением от общего родоначальника, поэтому полнородные и единокровные братья имеют одинаковое право на наследование в родовом отцовском имуществе; при недостатке таких братьев и их нисходящих наследуют сестры полнородные и единокровные, а когда и их нет, то дяди и тетки с отцовской стороны. Родовое материнское переходит к братьям полнородным и наравне с ними к единоутробным; если таких братьев, ни их потомства нет, наследуют сестры полнородные и единоутробные и за ними дяди и тетки с материнской стороны и т.д. Таким образом, в родовом отцовском имуществе не имеют права на наследование единоутробные, а в материнском – единокровные. Преимущество полнородных перед неполнородными признано законом, как увидим ниже, лишь относительно благоприобретенного имения (см. о сем реш. Гражд. Кассац. Департ. 1868 г., N 25. Бывали и противные сему решения Сената, но отменяемы были, когда доходили до рассмотрения высшей ревизионной инстанции. См. реш. 4 Департ. Сената 16 окт. 1869 г. по делу Вышеславцевых, слуш. в Общ. Собр. Сен. 13 сент. 1874 г.).
Относительно благоприобретенного умершим вотчинником имения мог быть предложен вопрос: обращать ли его в раздел между линиями отцовского и материнского рода или обращать исключительно в тот, либо другой род? В 1823 году вопрос сей был разрешен окончательно; постановлено, что благоприобретенное имение должно считать выморочным, когда из того рода, к коему умерший принадлежал по отцу, не осталось более ни одного лица, как в прямой нисходящей, так и в побочных линиях. Правило это выражено в Своде Законов следующими словами (ст. 1138 Зак. Гражд.): «Имение, самим бездетным владельцем приобретенное, когда об оном не сделано особых распоряжений, поступает в род отца».
Между тем в тяжбах о наследстве в благоприобретенном имении возникали сомнения по другим вопросам, требовавшие определения. Один вопрос был таков: при полнородных братьях (или сестрах), у коих оба родителя общие с умершим, имеют ли право участвовать в разделе благоприобретенного имения и неполнородные братья и сестры, происходящие от одного отца с умершим, но от другой матери (единокровные)?

Рассуждая о сем по делу Бурцевых, Сенат, в 1817 году (П. С. З. N 26867), признал, что, по Уложению, надлежит вотчины умершего отдавать прежде всего братьям его родным, а дети, рожденные от одного отца, но от разных матерей, почитаются между собой не иначе как родными, поскольку они одного и того же рода. В сущности это решение Сената важно тем, что в нем братья, имеющие одного только общего родителя, признаны родными братьями.
Но это понятие о родственной связи полнородных братьев с неполнородными еще не составилось окончательно, как впоследствии оказалось. В 1818 году возник в Сенате вопрос: кто должен быть почитаем ближайшим наследником благоприобретенному имению, по смерти бездетного приобретателя: брат ли единоутробный той же матери, но другого с ним отца или двоюродный брат по отцу. Двоюродный по отцу, состоя во второй боковой линии родства с умершим, должен ли иметь преимущество пред единоутробным его братом, состоящим в ближайшей линии и степени родства, потому только, что двоюродный принадлежит к роду отца, а единоутробный не принадлежит к оному? Общее собрание Сената, имея в виду и прежние решения по подобным делам, рассудило, что брат умершего единоутробный ближе ему родня, чем двоюродный отцовский, следовательно, и должен единоутробный получить благоприобретенное имение умершего, не имеющее связи с родом отца. Для рассмотрения сего мнения в законодательном порядке дело внесено было в Государственный Совет, где сам вопрос был расширен за пределы, в коих первоначально возник и рассматривался он в Сенате. Виной сего распространения была Комиссия составления законов, которая, по поводу сего вопроса, внесла в Государственный Совет состоявший из 9 статей «проект предварительного закона о взаимном наследовании благоприобретенного имения в боковых линиях после умерших бездетно и без завещания братьев и сестер от одного отца, но от разных матерей и от разных отцов, но от одной матери рожденных».

Этот проект замечателен тем, что в нем в первый раз употреблена терминология, в которой принято неизвестное дотоле и вовсе несоответствующее исконным понятиям о родстве различие между родными братьями, с одной стороны, и единокровными (от одного отца, но другой матери) и единоутробными (от одной матери, но другого отца),
с другой стороны, и за первыми признано преимущественное право на наследство после родного брата, независимо даже от родового происхождения наследственных имений. В первых статьях этого проекта Комиссия определяла правила о наследстве в противоположении двоюродных единоутробным, отдавая последним преимущество, но допускала право на наследство для единоутробных только в таком случае, когда после умершего не осталось братьев и сестер родных и их потомства.
В этом виде вопрос не расходился с понятием о праве отцовского рода на наследство в благоприобретенном имении, ибо в отсутствии братьев умершего по отцу предстояло разрешить состязание лишь между единоутробными и двоюродными. Но в последней статье проекта Комиссия, упомянув о единокровных братьях, поставила и их в одинаковые условия с единоутробными по наследству в благоприобретенном имении; от сего и дано было неправильное направление вопросу. Именно в сей статье было сказано: те же самые правила наблюдать и в рассуждении братьев или сестер единокровных (рожденных от одного отца, но от разных матерей), так что если бы случилось, что после бездетно умершего остались братья или сестры единокровные и единоутробные (в отсутствии родных братьев и сестер, в новом смысле термина: родные), то все благоприобретенное его имение делится между ими по сему постановлению без всякого различия – единокровные ли они или единоутробные. Из сего следовало, что и братья единокровные, хотя принадлежат бесспорно к роду отца, не входят по благоприобретенному имению умершего брата в состязание с его братьями полнородными, имеющими с ним общих родителей, не входят в состязание даже и с полнородными сестрами и их потомством, но наследуют только в отсутствии полнородных братьев и сестер, – и в сем случае наследуют на одинаковом праве с единоутробными. Такое правило основывалось на предположении, хотя прямо и не высказанном, но явно вытекающем из редакции закона, что, независимо от кровной связи и близости степеней и линий, близость родства между братьями и соответствующее ей наследственное право зависят еще от общей связи их с обоими родителями и что одни только полнородные братья могут быть признаны родными – предположение, совершенно не согласное с коренным понятием о родстве отца с сыном и противоречащее самому смыслу слова: родной, которое указывает на род и на рождение – от известного лица. Это предположение выразилось, однако, к сожалению, и в редакции, принятой законодательной властью (1818 г. ноябр. 25 П. С. З. N 27579) и вошедшей в состав 1140 ст. Зак. Гражд. «Братья единоутробные и единокровные, в наследстве благоприобретенного имущества после владельца, умершего бездетным и без завещания и не имевшего родных братьев и сестер, ни их потомства, предпочитаются прочим его родственникам. Таковое наследство поступает к ним в одинаковом порядке, как от приобретателей мужского пола, так и женского, и поскольку единоутробные признаются в сем случае в равных правах на наследство, то там, где есть наследники те и другие, имение делится между ними, на законном основании, как бы между родными братьями. Когда братьев единоутробных и единокровных не осталось, то право, в сей статье определенное, переходит в той же силе к сестрам единоутробным и единокровным с их потомством». – Таковое правило 1140 ст. Надлежит, однако же, заметить, что это правило, со всеми сокрытыми в нем предположениями и выводами, надлежит по всей справедливости и по силе 65 и 70 ст. Основного Закона применять исключительно к тем случаям, на которые оно состоялось, т.е. к наследству братьев в благоприобретенном имении. Только в этих случаях будет законное основание прилагать название родных только к полнородным братьям и предпочитать их и подобных же сестер, в наследстве после отца, братьям единокровным; а во всех прочих случаях, без сомнения, надлежит руководствоваться общими, выраженными в Законах Гражданских (1112–1120) положениями о родственной связи и правах, из нее возникающих. В этом смысле толковал 1140 ст. и Правительствующий Сенат (ср. Касс. реш 1868 г., N 25; 1874 г., N 739), а в 1877 году, мнением Государственного Совета по делу Лубье, для руководства практики, постановлено, что 1140 ст., как исключение из общих начал о порядке наследования (ст. 1134–1138), должна быть применяема к тем единственно случаям, когда к благоприобретенному имению бездетно умершего владельца предъявят права братья его или сестры единокровные и единоутробные, при неимении у умершего братьев или сестер родных (т.е. полнородных), и потому содержащиеся в ней правила не могут быть распространяемы на случаи, прямо в ней не предусмотренные (1140, прим.). Ср. Касс. реш. 1881 г., N 30.
Из вышеизложенного извлекается следующее положение для наследства в боковой линии.
В родовом имуществе наследуют, по близости линий и степеней, члены того рода, к которому оно относится. Посему единокровные (по отцу) братья на родовое отцовское имеют одинаковое право с братьями полнородными и исключают сестер полнородных с их потомством. Напротив того, единокровные братья не имеют доли в родовом материнском и единоутробные – в родовом отцовском имении умершего.
В благоприобретенном имуществе наследуют прежде всего – полнородные братья умершего, затем сестры его полнородные; когда ни тех, ни других, ни потомства от них нет, наследуют единокровные братья одни, либо совокупно с единоутробными, буде таковые есть; наконец – сестры единокровные и единоутробные.
Правило 1140 ст. постоянно поставляло судебную практику в недоумение извращением общих начал наследования, существующих для других случаев, и применялось к делам разнообразно. Для примера укажем на Касс. реш. 1872 г., N 1188 по делу Гераковой, в коем состязание по благоприобр. имению возникло между полнородными сестрами умершего и потомством единокровных его братьев. По выведенному смыслу 1140 ст. надлежало бы признать, что в этом случае сестры, в отступление от общих начал нашего законодательства, исключают братьев. Но Сенат дал иное толкование статье, соответственное с общими началами, но не согласное с особенным смыслом 1140 ст. По рассуждению Сената, «буквальный смысл 1140 ст. вовсе не выражает того правила, что родные братья и сестры умершего исключают собой единокровных и единоутробных братьев и сестер; в ней не сказано, чтобы единокровные и единоутробные призывались к наследству тогда только, когда нет родных братьев и сестер. Статья эта нисколько не касается отношения наследственных прав родных братьев и сестер к правам единоутробных и единокровных; напротив того (?), она имеет в виду такой случай, когда братьев и сестер родных вовсе нет, а остались одни единоутробные и единокровные, и на этот только случай определяет преимущество сих последних перед прочими боковыми родственниками более отдаленных линий. Из сего следует, что 1140 ст. не разрешает вопроса о том, как поступать тогда, когда после бездетного владельца благоприобретенного имущества остались не только единокровные и единоутробные, но и родные братья и сестры». Напротив того, из предыдущего изложения видно, что правило 1140 ст. обнимает и этот случай, да и буквальное ее изложение показывает, что постановляемый ею раздел благопр. имения между единокровными и единоутробными совершается тогда, когда нет родных братьев и сестер, ни их потомства.
А. Независимо от случая, указанного в 1140 ст. Зак. Гражд., наш закон не дает общего предпочтения в наследственных правах полнокровному происхождению перед неполнокровным, и нет ни одной общей статьи закона, на коей утверждалось бы подобное предпочтение. Логически можно вывести из нашего закона лишь следующее заключение. Родовое имение идет – отцовское в род отца, материнское в род матери. К роду отца полные родные (от одной пары происшедшие) принадлежат совершенно одинаково с единокровными (т.е. имеющими лишь общего отца). К роду матери полные родные принадлежат одинаково с единоутробными, следовательно, те и другие состоят в одинаковых правах на родовое имение из того рода, к коему одинаково принадлежат. Благоприобретенное идет в род отца: к этому только случаю, по смыслу 1140 ст., относится упомянутое в ней исключение. Еще менее резона оправдывать в дальнейших боковых линиях какое-либо предпочтение одних родственников перед другими, состоящими в равной степени и принадлежащими к тому же роду, потому только, что первые происходят от одного деда и одной бабки, прадеда и прабабки и т.п. Есть, однако же, решения, в этом смысле постановленные. В пример такого неосновательного суждения можно указать на следующие мотивы одного решения. Суд рассуждает так: «По 1137 ст. Зак. Гражд. ближайшее право к наследству в боковых линиях имеют братья, а при недостатке оных, сестры, но статья эта не обозначает в точности, каких братьев она разумеет – родных ли только, или и единокровных и единоутробных, но из следующих за ней статей ясно, что она разумела родных братьев, ибо если бы разуметь в ней всех, т.е. и единоутробных и единокровных, то этой статье противоречила бы ст. 1138, по смыслу коей единоутробные братья не могут наследовать из родового имения, если же бы ст. 1137 исключала только единоутробных братьев, то непременно выразила бы, что в боковых линиях наследуют прежде всех братья родные и единокровные; не сделав этого, статья закона, очевидно, имела в виду только родных братьев и сестер. Это подтверждается и содержанием ст. 1140, по которой братья единокровные и единоутробные, при отсутствии родных братьев и сестер наследодателя, предпочитаются прочим его родственникам; значит, в родовых имениях они не предпочитаются сим прочим родственникам (напр., родным дядям), и следовательно, тем менее могут предпочитаться родным братьям и сестрам. Сверх того, в 1118 ст. 1 ч. Х т. сказано, что близость боковых линий определяется происхождением их от общего родоначальника; ближайшие боковые линии суть те, кои происходят от отца и матери, за ними следуют те, кои происходят от деда и бабки, и т.д. Из этой статьи положительно видно, что при определении близости боковых линий необходимо руководствоваться происхождением лиц не только от одного отца, но и от одной матери. По сим основаниям, ввиду родных сестер умершего вотчинника и их нисходящих наследников, единокровный брат его не имеет права на родовое имение умершего». Не останавливаясь на подробном разборе этого решения, которое состоит все из неправильного применения статей, укажу только на крайне несоответственное применение ст. 1118. Эта статья принадлежит к числу описательных, помещенных в Своде Законов при первой его редакции, для разъяснения, в общей системе, родословных начал. И по месту, которое занимает эта статья, и по буквальному ее смыслу, она имеет в виду (вместе с соответствующими 204–208 ст.) только указать различие между боковыми линиями, первой, второй по счету и т.д., происходящими от ближайшего или дальнейшего родоначальника, т.е. от отца, деда, двух и более дедов (с одной стороны) и от матери, бабки, двух и более бабок (с другой стороны). Она не заключает в себе ни малейшего указания на то, что происхождение от одной общей пары дает в чем-либо более прав, чем происхождение от одного общего родителя, и устанавливает ближайшее в юридическом смысле родственное отношение. Напротив того – имея в виду один род, по происхождению от одного лица, эта статья и не может иметь в виду совсем особливой идеи, что совокупная принадлежность к двум родам, к коим примыкал по своему происхождению умерший вотчинник, дает преимущество в родстве с ним и в наследовании после него. Такая идея вовсе несвойственна нашему закону и нигде в нем не выражена.
В пример неосновательного применения той же 1118 ст. укажем еще на решение по следующему делу.

К родовому отцовскому имению после Франсуа Лубье претендовали: потомки родной тетки его Розы (родившейся от одной пары с отцом умершего Франсуа, Пьером), Дютель и Барро, да родная же тетка его Жанета (родившаяся от одного отца с Пьером, но от другой матери), и сын другой такой же тетки, Юлии, Яков Дюваль. Суд, приведя ту же 1118 ст., признал только Розу Яниш родной теткой умершего, а Жанету и Юлию признал тетками единокровными (тогда как закон вовсе не отличает единокровных или единоутробных теток от родных), и предоставил имение потомкам так называемой родной тетки исключительно.
По сему делу состоялось впоследствии решение Госуд. Совета, исправившего неправильное толкование статей. Оно распубликовано в Собр. Уз. 1877 г. N 314.

Б. После Семена Заборовского осталось имение: 1. Костромское, доставшееся ему от матери, а ей из рода Нелидовых. 2. Ярославское от прабабки Елизаветы, из рода Мусиных-Пушкиных, и от деда Евграфа Нелидова. 3. Тверское из отцовского рода и от деда по матери, Каржавина. Из числа означенных на чертеже претендателей присуждено: Костромское имение из рода Нелидовых – Татьяне Нелидовой, как ближайшей по линии, а Павлу, Флегонту и Александру Нелидовым отказано, а Ярославское и Тверское, из рода Пушкиных – Клавдии Шубинской (см. Сбор. Сен. реш. II. N 598).

В. После Надежды Модзалевской имение разделили сестра ее Вера и по представлению за другую сестру Софью, внуки сей последней Евграф и Михаил Кондратьевы. К сим последним предъявила претензию о разделе того же наследства сестра их Настасья Ильина, доказывая, что она вместе с ними представляет общую мать Сосипатру и бабку Софью. 8 Департ. Сената, рассуждая о сем деле, нашел, что в оном наследственное право определяется не тем родственным отношением, которое существует между детьми Сосипатры Кондратьевой и родной бабкой их Софьей Ковалевской, но отношением между соискателями наследства и тем лицом, после которого наследство сие открылось, т.е. двоюродной бабкой их – Модзалевской. По точному смыслу 198, 199 и 938 ст. Х т. Св. Зак. Гр. изд. 1842 г., братья Кондратьевы и сестра их Ильина в отношении к Модзалевской находится в побочной линии, и по сей же линии должно переходить открывшееся после Модзалевской наследство. Из сего следует, что к определению прав Ильиной исключительно служат изложенные в III отд., разд. II, кн. III Зак. Гр. правила о наследстве в боковой линии; но правило 949 ст. сих законов, относящееся к порядку наследования в линии нисходящей, не может иметь применения к настоящему делу, в котором должна быть принята основанием 954 ст. Зак. Гр., постанавливающая, что в боковых линиях сестры при братьях родных и их потомках не имеют права на наследство. Посему, хотя при наследстве в боковой линии так же, как в нисходящей, разные степени делят наследство поголовно, а в степень умерших вступает их потомство и наследует по праву представления, то сие право представления ограничивается только сыновьями, с исключением дочерей, буде при них братья существуют.
Г. По делу Плюсковых (Сб. Сен. реш. N 735) признано, что предъявившие право на наследство после Ивана Плюскова – Наумов за детей своих, Александра Плюскова, Турне и Кострова, происходят от Алексея и Дмитрия Плюсковых, которые вотчиннику Ивану Плюскову, по происхождению от Якова Алексеева Плюскова, единокровные братья, Александра же Яковлева Плюскова, происходя от одного отца и матери с Иваном Плюсковым, есть родная ему сестра. Посему дошедшее к Ивану Плюскову по наследству от отца имение решено утвердить за потомками единокровных его братьев, а родовое материнское и благоприобретенное отдать девице Александре Плюсковой. По д. Жиленковых Сенат (Общ. Собр. Моск. 28 апр. 1867 г.) решил отдать благоприобр. имение умершего сыну родной сестры его, предпочтительно перед детьми единокровного брата.
Д. По делу Байкова (Сб. Сен. реш. т. I. N 73) Сенат признал, что до издания Мн. Гос. С. 1818 г., на коем основана 1140 ст. Зак. Гр., в законах прежнего времени не видно, чтобы между братьями, рожденными от одного отца и матери и рожденными от того же отца и другой матери, полагалось различие в правах наследства. Посему благоприобретенное имение умершего Байкова положено разделить между двумя его братьями полнородными и двумя племянниками, сыновьями брата, рожденного от одного отца с умершим, но от другой матери.
Об устранении единокровных братьев (по одному отцу) от наследства в родовом материнском имении умершего см. Сб. Сен. реш. т. I. N 100. По сему предмету см. еще решения по делу Анучиной, Журн. Мин. Юст. 1860 г., N 6, стр. 432. По делу Юкина, Ж. М. Ю. 1861 г., N 3. По делу Искры реш. Общ. Собр. и Мн. Гос. С. 1850 г. По делу Нестеровских Сб. Сен. реш. т. II, N 343. Юр. вест. 1871 г., N 4, д. Демидовой, там же N 9, ст. Снегирева. О предпочтении полнородных неполнородным братьям и сестрам см. еще реш. 1 отд. 3 Деп. Сен. 2 окт. 1868 г. по делу Крупского.
В губерниях Черниговской и Полтавской, когда умерший оставил имение, доставшееся от матери, то его делят поровну все родные братья и сестры; когда же не будет родных братьев и сестер или их потомства, то наследуют родные по матери дяди или тетки с их потомством и т.д.
§ 41. Наследование родителей. – Наследование супругов. – Выдел указной части. – Особливые преимущества вдового супруга при выделе. – Выдел из имения свекра и тестя. – Свойство права на иск о выделе и переход сего права к наследникам. – Отличия в Черниговской и Полтавской губерниях. – Особливые постановления по разным ведомствам (ст. 1141–1147)
Родители вообще не наследники после детей своих, когда дети умерли, оставив потомство. Когда дети умрут бездетны, наследство переходит в боковую линию, и родители не имеют совместного с прямыми наследниками участия в разделе имения. Наш закон, в историческом образовании своем, не признавал за родителями наследственного права, что, по мнению Комиссии составления законов, данному в 1823 году, не соответствует настоящему времени58. Однако же, не взирая на стремление преобразовательных умов согласить по сему предмету наше законодательство с иностранными, доныне сего еще не сделано. Только в 1823 году (июня 14. П. С. З. N 29511) состоялось Высочайше утвержд. мнение Государственного Совета, коим предоставлено родителям в некоторых случаях исключительное право на некоторые из детских имений.
На имения родовые, дошедшие к детям от других родственников, а не от родителей, родители ни в каком случае не имеют наследственного после детей права: эти имения обращаются к родителям только в таком случае, когда имение, оставшееся после бездетных детей, дошло к ним от живых родителей в виде дара; имение это после детей возвращается, не в виде наследства, но яко дар, к тому из родителей, от кого было получено. Под словом «дар» здесь должно разуметь не только прямое дарение, но всякую уступку детям родительского имения при жизни родителей, хотя бы в виде выдела или приданого (в подлинном Мн. Гос. Сов. сказано: уступленное сыну или дочери родителями. Ср. реш. Кассац. 1867 г., N 279). Если же после бездетных детей остались имения, благоприобретенные ими самими от других лиц, а не от родителей, то таковые имения отдаются в пожизненное владение отцу и матери совокупно, буде оба в живых останутся. Правила эти прилагаются не только к недвижимым имениям, но (как истолковано в 1827 году) и к денежным капиталам детей, внесенным в кредитные установления. Капиталы эти отдаются родителям в собственность, когда есть судебное удостоверение в том, что они дошли к детям от родителей; в противном же случае, т.е. если такого удостоверения нет, родители пользуются только пожизненно процентами с сих капиталов.
Для Черниговской и Полтавской губерний постановлено, что имение, полученное детьми от родителей посредством выдела им приданого, возвращается к родителям по смерти детей и в таком случае, когда последние оставили детей, но дети эти умерли до своего совершеннолетия; в благоприобретенном же имуществе бездетных детей родительское наследственное право открывается лишь тогда, когда нет наследников в первой боковой линии (1143). К этому предмету относится Мн. Гос. Сов. 22 янв. 1851 г. по делу Остен-Сакен, об имении Трощинского.
А) По делу Никитиной Сенат (Касс. реш. 1869 г., N 16), толкуя 1141–1147 ст. Зак. Гр., признал, что имущество, подаренное сыну или дочери одним из родителей, не может, после бездетной смерти владельца, быть отдано отцу или матери безразлично, но должно поступить к тому именно из родителей, от кого было уступлено, яко дар. В подкрепление сего вывода принято на вид, что браком не составляется общее владение имуществом.
Б) Может возникнуть недоумение, следует ли приравнивать к наследству то возвращение имения от детей к родителям, о котором говорится в 1142 ст. Зак. Гр. (см. Журн. Гр. Права 1871 г., N 1), так как в Мн. Гос. Сов. 1823 г. именно выражено, что оно возвращается не в виде наследства, но яко в дар? Следует ли, напр., из такого имущества, при возвращении его родителям, выделять часть вдове умершего? Есть, конечно, основание признавать этот переход возвращением дара, но, с другой стороны, нельзя не принять во внимание, что означенное Мн. Гос. Сов. состоялось по вопросу о наследовании родителей и что в системе Свода Законов правило это отнесено не к дару, а к праву наследования, в главе же о дарении оно не помещено вовсе. Итак, нет прямого основания к изъятию этого перехода от действия наследственного права. В судебной практике, впрочем, право родителей на имущество, возвращаемое им яко дар, не признается правом наследования, посему родители освобождаются от ответственности за долги детей собственным своим имуществом; они отвечают лишь в размере полученного ими, так как от ответственности за долги умершего это имущество не освобождается (ср. Касс. реш. 1875 г., N 821; 1876 г., N 274).
В) По делу Лубье решением 4 Департ. Сената в 1868 году признано: 1. Что жена, хотя бы и разведенная с мужем, не лишается права на пожизненное владение имением бездетно умершего сына, который прижит ею в браке с тем мужем; 2. Что капитал, хотя и по наследству от отца доставшийся тому бездетно умершему сыну, составляя благоприобретенное имущество, по смыслу 1141 ст. 1 ч. Х т., может быть унаследован матерью умершего в пожизненное владение. Последнее заключение едва ли основано на прямом разумении 1141 ст. и Указа 1823 года. В смысле закона разумеется не благоприобретенное имение отвлеченно, а имение, самими детьми приобретенное, и никак уже не имение, унаследованное детьми от одного из родителей. Праву 1141 ст. противополагается, по 1142 ст., право родителей получить обратно имение, при жизни переданное ими детям, как дар.
Г) Есть случаи, в коих родители, получившие содержание от детей, имеют право, по смерти сих детей, получать за них пособия от Комитета призр. засл. гр. чиновников. III т. Уст. пенс. 601, 604.
Наследование супругов
Ст. 1148–1157, 1159–1161.
Законный муж по смерти жены и жена по смерти мужа имеют право на седьмую часть изо всего недвижимого и на четвертую часть из движимого имения умершего супруга, какое осталось и состояло во владении его в день его смерти: из благоприобретенного имения, какое осталось не завещанным, ибо воля завещателя в сем имении свободна; из родового, какое осталось. По смерти родителей, сын при разделе родового имения с братьями и сестрами, прежде отделенными, имеет право требовать уравнения долей и обращает в расчет общего дележа то, что братья его и сестры получили при жизни родителя из наследственного имения, ибо право всех детей есть общее для них родовое, кровное право наследства. Напротив того, переживший супруг не вправе обращать в расчет для исчисления своей доли все то, что было при жизни умершего супруга выделено детям, ибо муж по жене и жена по мужу в прямом смысле не наследники по роду и по крови, а получают только, по связи супружеской, указанную долю на прожиток.
Выдел указной части производится не только из того имения, которым умерший супруг действительно владел при жизни, но из того, которое досталось бы ему после отца, если бы при открытии наследства после отца своего он в живых находился. Вдове производится выдел из имения свекра и вдовцу из имения тестя; закон о сем должен быть изъясняем в тесном смысле, т.е. право выдела не простирается на имение свекрови и тещи (так объяснил Государственный Совет в Выс. утв. мнении по делу Струкова 10 янв. 1841 года; см. Ж. М. Ю. 1861 г., N 1)59.
Это право вдовы и вдовца само по себе – замечательно льготное; но оно оказывается еще льготнее тем, что в некоторых случаях овдовевший супруг может получить выдел из имения свекра или тестя еще при жизни их, прежде открытия после них наследства. Стало быть в этом случае супруг сына или дочери имеет, относительно родителей того или другой, более прав, чем могли бы иметь сами те сын и дочь при жизни своих родителей. Сын при жизни отца, по общему правилу 995 и 1004 ст. Зак. Гражд., не имеет открытого и осуществимого права на его имущество и не может требовать себе выдела, а вдова его получает это право. Именно: если за умершим супругом было свое недвижимое имение, то овдовевший супруг может просить подлежащего выдела из имений свекра или тестя только по смерти его и по открытии его наследства; причем, без сомнения, должно быть полагаемо в зачет все то, что умерший супруг получил уже на свою долю от родителя. Но когда за умершим супругом собственного недвижимого имения не было, а осталось только движимое (о вдовце сказано: когда не доходило до него никакого имущества ни по рядной, ни по другому какому-либо акту), то овдовевший получает при жизни свекра или тестя указную свою часть из той доли недвижимого имения сего последнего, которая следовала бы («надлежала бы», по подлинному выражению указа 1731 года) умершему супругу; выдел сей производится из того только недвижимого имения, которое действительно было во владении тестя или свекра в день смерти сына или дочери. Но на движимое свекра или тестя овдовевший супруг, при жизни того или другого, не имеет права: из сего имения можно требовать подлежащего выдела только по смерти свекра или тестя, и притом из той лишь движимости, какая в день смерти самого владельца окажется в наличности.
Такое право овдовевшего супруга, весьма уже обширное, может быть еще расширено пространным истолкованием 1151 ст. Гражданских Законов. За тестем или свекром в день смерти сына или дочери может оказаться и родовое, и благоприобретенное имение. Спрашивается: из какого имения овдовевший супруг может требовать себе выдела при жизни свекра или тестя: из одного ли только родового или вместе с тем из благоприобретенного? Последним истолкованием предоставляется на указную часть право не в меру обширное, не совсем справедливое и явно несогласное с общим правилом наследства и с правом полной собственности владельца в благоприобретенных имениях. В самом деле, невозможно собственнику понять закон, в силу коего вдова умершего сына может ограничить свободное право его распоряжения в благоприобретенном имении со дня смерти сына и предъявить свое участие в выгодах производимых отчуждений, воспретить даже сами отчуждения до полного расчета с ней, – тогда как подобное требование мужа той вдовы, родного сына владельцу имения, при жизни отца было бы немыслимо, сочтено было бы явным беззаконием и даже оскорблением родительской власти. Вот причина, почему судебная практика во многих случаях решительно уклоняется от истолкования приведенного закона в смысле столь обширном и несообразном с общим законом собственности, и признает овдовевшим супругом в указанном случае право требовать выдела только из родового имения тестя или свекра.
В сем смысле состоялось решение Общего Собрания Сената по делу вдовы Мацкевич (Сборн. Сен. реш. т. I, N 356), и сему решению придано значение руководства на все подобные случаи, в предупреждение недоумений, для чего и дано знать об оном указами всем Палатам Гражданского Суда и судам 1-й степени (ср. Касс. реш. 1868 г., N 869 и 1884 г., N 23). В подтверждение сего мнения приведены весьма уважительные соображения. Изъяснено, что при явном противоречии противоположного толкования 1151 ст. с коренным правом владельца благоприобретенных имений надлежит принять толкование более сообразное с сим правом. Если допустить, – сказано в упомянутом решении, – выдел указных частей изо всякого недвижимого имения свекра или тестя, то закон, дающий право распоряжаться благоприобретенным имением по усмотрению, не мог бы быть исполняем в точном его значении, и предоставляемая законом свобода распоряжать благоприобретенным имением неограниченна, стеснялась бы равномерным, при жизни владельцев, выделом такой части имения, о которой каждый из них мог бы сделать распоряжение по своему произволу.
Кроме того, в подтверждение того же мнения указывают (см. Юрид. Вестник 1868 г., январь, решение по д. Груздева и там же ст. Вицына), что хотя в 1731 году повелено давать невестке указную часть из недвижимых имений свекра, без различия родовых от благоприобретенных, но в то же время различие сие не утвердилось еще в законодательстве, а когда оно установилось окончательно, то и упомянутое выражение указа 1731 года должно быть изъясняемо сообразно сему различию. Это доказательство принадлежит к числу слабейших, но в подкрепление указанного мнения указывают еще на хозяйственное значение вдовьей части, каковое выразилось в первоначальном установительном указе и должно быть предполагаемо в восстановительном указе 1731 г. Этим последним указом императрицы Анны, с отменой единонаследия и его принадлежностей, восстановлен был порядок наследства по Уложению, с его принадлежностями, в том числе восстановлено и право невестки, определенное начально указом 1676 года. Сим указом постановлено было: когда за умершим особого поместья не было, а служил он с отцовского поместья или имел только малую дачу, то вдове его, чтобы было ей на чем прожить и прокормиться, выдавать на прожиток из свекрова поместья сообразно окладу его умершего сына. Отсюда видно, что при издании указа для выдела указана была известная норма в поместном окладе свекра и мужа, в известной доле хозяйственного капитала, необходимо принадлежавшей служилому человеку, и с этой-то доли назначена часть вдове служилого человека.
Все эти соображения могут быть уместны и убедительны для того, кто рассматривает закон о вдовьей части с законодательной точки зрения, с целью подвергнуть его критике, доказать его несправедливость, несогласие его с первоначальной идеей законодателя и необходимость исправить и изменить его. Но эти соображения неуместны и неубедительны там, где дело идет о применении существующего закона в истинном его смысле. В сем отношении едва ли возможно доказать, что 1151 ст. должна относиться к одному родовому имению тестя или свекра, когда это прямо не выражено в самой статье закона. Закон о выделе вдовьей части так же, как и все наши постановления о наследстве, возник из поместного права и рассчитан был на поместную дачу. Но после того поместья слились с вотчинами в общем названии недвижимых имений, и отличие тех и других не восстановлено с отменой петровских указов о единонаследии и с изданием указа 1731 года; следовательно, употребленное в этом указе выражение: «из свекровых недвижимых», одинаково относится к поместьям и к вотчинам, к наследственному и к купленному и выслуженному и нажитому имению; в том же смысле надлежит, конечно, разуметь и слова: недвижимого имения, употребленные в 1151 ст. Зак. Гр. Одно только это толкование может быть признано непроизвольным и последовательным; противоположное же толкование непременно окажется произвольно и непоследовательно. Произвольно, потому что подставляет вместо общей категории, названной в законе (недвижимое), частную категорию (родовое): вывод, который вовсе не оправдывается употребленными в законе словами: «доли: которая следовала бы умершему ее мужу», ибо наследственная (следующая) доля выделяется как из родового, так и из свободного благоприобретенного имения. Непоследовательно, потому что при сем толковании затруднительно будет решить, надлежит ли производить выдел невестке, когда у свекра нет вовсе родового имения, а есть одно благоприобретенное. Если отказать ей вовсе на сей случай в выделе, то окажется уже явное пренебрежение закона, положительно допускающего выдел из наличного имения; если же на сей случай признано будет необходимым произвести выдел из одного благоприобретенного, окажется коренное противоречие в самом толковании.
Итак, по точной силе 1151 ст. овдовевший супруг может, в указанном случае, требовать выдела из родового и из благоприобретенного имущества свекра или тестя. Закон этот едва ли справедлив, едва ли согласен с общими свойствами собственности, едва ли соответствует нынешним условиям хозяйственного быта, но он в этом смысле существует. Затем остается еще место вопросу о принадлежностях и последствиях этого обширного права, предоставляемого невестке и зятю на имущество свекра или тестя при жизни их. Право вдовы или вдовца возникает в минуту смерти другого супруга и простирается на совокупность имуществ, какие состоят в эту минуту во владении свекра или тестя; но право имеет свои особые свойства, не совсем однородные с общими свойствами законного наследства после родственников. Наследство вообще открывается непосредственно от лица к лицу (чему не препятствует право представления), смертью вотчинника. Право на открывшееся наследство с этой минуты принадлежит всем законным наследникам в совокупности, кто бы они ни были и в какое бы время ни огласили права свои. Наследнику предстоит только назвать себя, т.е. предъявить и удостоверить свое имя и родственную связь свою: это имя одно, и само по себе, служит основанием прав его. Ничего более не требуется, как законное имя, для оправдания иска о наследстве. Приняв наследство, наследник вступает в совокупность прав умершего вотчинника по имуществу, возвращая их к минуте открытия наследства, и если наследников несколько, то все они с этой минуты друг другу ответствуют за целость имущества; все они в совокупности отвечают за долги и повинности, переходящие к ним с имением.
Но право невестки и зятя, когда всмотримся в сущность его, не есть чисто наследственное право. Это право само по себе, право на выдел известной доли из имения свекра или тестя, – на прожиток, на содержание. Этот мотив вдовьего права – совершенно чуждый чистому началу наследства – сам по себе указывает уже на особенность этого права. Непосредственного перехода здесь нет, ибо свекор или тесть, из имений коего должен производиться выдел, еще жив и наследство после него не открылось, а умерший супруг вовсе не имел в своем владении того имущества, из коего предстоит выдел, – не имел даже по закону ни малейшего права на это имущество при жизни своего родителя, и чего не имел, того передать не мог. Это право получает вдовий супруг сам по себе, в силу своего супружеского имени, и простирает его к живому владельцу наличного имения. Можно признать, что для вдовы открывается наследство после мужа в том имении, которое за ним состояло и в котором совокупно открылось наследство для всех его законных наследников, но нельзя в юридическом смысле сказать, что в приведенном случае для вдовы открывается наследство в имении свекра. Вдова только получает право просить подлежащего выдела из имения свекра, право на иск особого рода, который должен быть обращен ею к живому ответчику-свекру, и для того, чтобы оправдать сей иск, недостаточно ей только удостоверить имя свое: ей надлежит еще удостоверить, что за умершим ее мужем не было своего недвижимого имения. Притом это право принадлежит вдове лишь при жизни свекра; если же она не пережила свекра, то никакого права на его имение, за смертью своей, никому по себе не оставляет. Осуществление прав наследника в общем порядке начинается с той минуты, когда открылось наследство. Но для вдовы осуществление прав ее на выдел из свекрова имения начинается с той минуты, когда она предъявила свекру права свои и потребовала от него выдела60. Простирать право вдовы (или вдовца) за эти пределы, возводить и его к минуте смерти мужа, – тогда как требование ее обращено лично к свекру, и наследство в свекровом имении, как выше показано, еще не открывалось, – было бы уже вовсе несправедливо: это значило бы предоставить вдовому супругу преимущества совсем несообразные с сущностью того права, которое предоставляет ему закон, и с сущностью того юридического отношения, которое из сего права возникает. Поэтому несправедливо было бы допустить, что, ввиду сего права вдовы или вдовца, свекор или тесть с минуты смерти сына или дочери отвечают овдовевшему супругу за все действия, распоряжения, отчуждения и уменьшения ценности по своим имуществам, из коих тот супруг имеет право просить себе подлежащего выдела. Ответственность эта во всяком случае начинается с той минуты, когда предъявлено свекру или тестю требование о выделе от овдовевшего супруга. Если в эту минуту имение свекра или тестя остается в том же составе, в каком находилось при смерти дочери или сына, то по расчислению сего состава и выдел производится, если же что было уменьшено, отчуждено или роздано владельцем до предъявления к нему требования, то нет основания поворачивать отчужденное и розданное.
О вдовце в особенности сказано (1153 ст. Зак. Гражд.), что он имеет право просить выдела из имений тестя при жизни его, когда за умершей женой собственного имения не было, и оного нисколько не доходило ни по рядной, ни по другому какому-либо акту, до оставшегося в живых мужа. Эта редакция статьи оставляет место недоумению, ибо в ней не пояснено: не доходило – от кого? Закон не мог иметь в виду исключительно акты, от имени жены на имя мужа совершенные, хотя такие акты, без сомнения, прежде всего были на мысли у законодателя. Акты от жены мужу на имение могли быть всякого рода: мог быть составлен на основании 116 ст. Зак. Гражд. акт на предоставление женина имения в пожизненное владение мужу, могла быть выдана мужу дарственная запись, могла быть совершена купчая от жены мужу. В этом случае акты всякого рода, как дарственные, так и возмездные, устраняют право мужа просить о выделе из имения тестя при жизни его, ибо доказывают во всяком случае, что за женой было при жизни ее собственное недвижимое имение (в чем состоит главное условие закона). Но 1153 ст. разумеет и акты, не от одной жены данные, ибо упоминает о рядной, которая пишется не от имени жены мужу, а от имени родителя жены зятю. Рядная запись на недвижимое имение, хотя бы писана была от тещи, входит в условия 1153 ст., ибо доказывает все-таки, что за женой было, или мужем за женой получено недвижимое имущество. Но подходит ли под те же условия акт, непосредственно и по случаю брака выданный тестем на имя зятя? Думаю, что подходит, если акт был дарственный, ибо надлежит предполагать (если не доказано иное побуждение по особым обстоятельствам), что прямым побуждением такого дара было благоволение отца к дочери, мужу ее и семейству; если же акт был возмездный (напр., купчая) или по содержанию его и по обстоятельствам видно, что побуждением к выдаче его были причины сторонние, вне брака и семейных отношений, то акт сего рода не подходит под условия 1153 ст. Акты, выданные мужу на имение, помимо жены, от тещи, ни в каком случае не соответствуют требованию сей статьи, ибо между зятем и тещей нет того юридического отношения, которое устанавливает 1153 ст. между зятем и тещей в праве требовать выдела.
Итак, овдовевший супруг получает:
А) если за умершим супругом было свое недвижимое имущество –
указную часть из наличного, свободного от завещания недвижимого и движимого имущества умершего супруга;
право требовать по смерти свекра или тестя указную часть из наследственной мужниной (или жениной) доли, исчисляемой по соображению с открывшимся по свекре или тесте наследством.
Б) Если за умершим супругом не было своего недвижимого имения – указную часть из наличной движимости умершего супруга;
право требовать при жизни свекра или тестя указную часть из наследственной мужниной (или жениной) доли недвижимого имущества, исчисляемой по соображению с тем, что окажется у свекра или тестя в день смерти дочери его или сына;
право требовать по смерти свекра или сына указную часть из наследственной мужниной (или жениной) доли движимого имущества, исчисляемой по соображению с открывшимся по свекре или тесте наследством.
Праву супруга на указную часть присвоены еще следующие преимущества. Право это для самого супруга не прекращается никакой давностью и не устраняется вступлением в новый брак. Если сам овдовевший супруг при жизни своей не просил о выделе указной части, то право его уничтожается; к наследникам переходит только право продолжать начатый уже иск о выделе (1152).
Разумеется, если под словом «наследники» будут значиться в сем случае родные дети овдовевшего супруга от брака с умершим супругом, то они ни в каком случае ничего не теряют, ибо наследуют после обоих своих родителей (сыновья Марьи вдовы получают, в качестве детей умершего ее супруга, все то, что мать их могла бы получить себе в указную часть после мужа, когда просила при жизни своей о выделе). В сем только, а не в ином каком-либо смысле сказано в 1152 ст. Гражд. Законов: если бездетная жена умрет, не просив при жизни своей о выделе указной части, то наследники ее не имеют права требовать сей части, и она поступает к наследникам мужа (ср. Касс. реш. 1882 г., N 101). Неправильно было бы из сего выражения заключить, что наследники жены, не просившей о выделе, получают право просить за нее, если она умерла не бездетной. Случалось, что на сем основании дети вдовы – от второго брака – требовали за умершую мать ее выдела указной части из имения первого ее мужа, хотя она при жизни о том не просила. Такая претензия вовсе неосновательна: в таком смысле Государственный Совет в 1832 году (Полн. Собр. Зак. N 5741), истолковал указ 1817 года, на коем основана приведенная 1152 ст. Цель закона о наследственном супружеском праве, рассуждал государственный Совет, состоит единственно в обеспечении положения лица, остающегося во вдовстве и, со смертью другого лица, теряющего те способы к содержанию, коими пользовалось оно при его жизни. Сначала указные доли выделялись вдовам только в пожизненное владение и по смерти их возвращались родовым наследникам, но впоследствии найдено более удобным заменить пожизненное владение выделом указных частей в собственность и распространить те же права на вдовца. Но сим цель закона вовсе не изменилась, и она еще более подкреплена положением 1817 года, дающим право супругу просить о выделе во все продолжение его жизни и отказывающим в сем его наследникам, когда сам он при жизни не просил. При таком внимании к лицам, в супружестве бывшим, тот же закон не считал нужным распространяться о других родственниках, ибо несправедливо было бы допустить брата или другого родственника умершей супруги требовать, в лице ее, выдела указной части из имения мужа и тем переводить оное в чужой род. (Ср. еще указ 1872 года марта 14 N 15364 по делу Коптева. В том же смысле состоялись Выс. утв. мнения Госуд. Совета 15 июля 1861 г. по делу Озеровой, Журн. Мин. Юст. 1861 г. N 12 и 1868 г. по делу Мясниковых и Белкина.)
Нисходящим вдовы, не просившей выдела, если сами они не соединены кровным родством с тем лицом, из имения коего следовал выдел, право самой вдовы, не просившей о выделе, никак не может быть предоставлено; оно исчезает со смертью ее, и в нем невозможно для ее нисходящих право представления – относительно свекра, ибо представлять и заступать может только лицо, соединенное с умершим вотчинником по кровному родству, а не по свойству.
По одному делу (Хитрова, 24 ноября 1868 г.) Государственный Совет признал достаточным оглашением формального желания вдовы – просьбу ее о выделе, за несколько дней до смерти поданную ею в Уездный Суд, хотя эта просьба, за подачей не в надлежащее место, была возвращена с надписью. В том же смысле реш. 2 Общ. Собр. 1870 г. по делу Пименовой и Касс. реш. 1878 г., N 188 и 1882 г., N 101.
Всякий волен просить или не просить о выделе своей указной части; но если супруг, имеющий право на сей иск, признан и объявлен несостоятельным должником с учреждением конкурса, или и без того наличное его имение оказалось недостаточным на удовлетворение кредиторов, то право требовать выдела переходит к конкурсу или непосредственно к кредиторам. Но это право возбуждать иск о выделе предоставляется им лишь при жизни должника; буде должник умер, сам не просив о выделе, кредиторы не имеют уже права просить о сем: они могут по смерти должника воспользоваться лишь предъявленным при жизни его иском (1155).
Указная часть супруга выделяется ему всегда сполна; выделяется, как можно заключить из 1128 ст. Зак. Гр., наперед всего (дети делят между собой наследство, за выделом супругу указной части) и не подлежит никакому зачету или уравнению с долями прочих наследников, сколько бы их ни было: доля жены или мужа всегда неизменна. В этом отношении доля эта пользуется важным преимуществом пред указной долей дочери, которая подвергается учету и уравнению.
Право вдовы на указную часть из родовых имений умершего свекра, в тех случаях, когда оно по закону ей предоставляется, должно быть соразмерно с той частью родовых его имений, которая должна была составлять законный наследственный удел ее мужа. Посему, если бы свекор, при жизни своей, разделил родовые свои имения между своими наследниками, обойдя того мужа ее, или с уменьшением законной его доли, вдова имеет право требовать следующей себе части по расчету, не стесняясь условиями означенного раздела, хотя бы даже сей раздел состоялся при жизни ее покойного мужа и хотя бы он сего раздела не оспаривал.
Наконец – в указную долю жены не зачисляется приданое и собственное имение, приобретенное по вступлении в брак (ст. 1001, 1150).
Указная часть супруга, хотя бы выделена была из родового имущества, почитается во всяком случае благоприобретенной у получившего супруга: это свойство указной части подтверждает, что супруг не есть прямой наследник после супруга. Прямое наследство бывает по крови; прямым наследником почитается лицо, поколику принадлежит к роду умершего. Но супруг не принадлежит к роду супруга; он живет в роде, и со смертью супруга, выделяется из рода (ср. ст. 1352).
Указная часть вдовы (и вдовца) почитается наследством, ибо права вдовы на получение сей части основаны на общем законе наследства, следовательно, принятие сей доли в качестве наследства подвергает вдову общим последствиям наследственной ответственности, от чего не вправе оградить ее муж и своим духовным завещанием, которое не может нарушать прав третьих лиц, т. е. кредиторов завещателя, на удовлетворение из его имуществ, или прочих наследников, на равномерное распределение ответственности. Ср. статью о сем предмете в Журн. Мин. Юст. 1863 г., N 11, стр. 445.
Супружняя указная часть не пользуется наследственным приращением; следовательно, как бы ни уменьшилось число наследников по крови, указная часть супружняя от сего не увеличивается. Право супруга – не общее наследственное право с родом умершего, а особливое право супруга на указную часть, которая ему и отделяется (ср. реш. по д. Симонова. Сбор. Сен. реш. т. I, N 490). Впрочем, это положение, по существу правильное, отвергается новейшей судебной практикой, которая признает, что из содержания 1154 ст. Зак. Гр. нельзя вывести заключения, что овдовевший супруг лишается права воспользоваться приращением доли своей в наследстве по причине отречения кого-либо из наследников (Касс. реш. 1884 г., N 23).
Просьбой вдовы (и наоборот, вдовца) о выделе указной части охраняется, как видно из 1152 ст., право как ее, так и ее наследников. Посему право это не исчезает в составе мужнего имущества; когда оно перешло к наследникам мужа, наследники жены вправе требовать за нее выдела из этого имущества. Если же наследники мужа суть в то же время и наследники жены (именно общие их дети), то, принимая отцовское наследство, они в составе его принимают и материнскую указную часть, стало быть (хотя бы ничего иного после матери не наследовали), могут быть по этой только причине привлечены к ответственности за долги матери (см. Сб. Сен. реш. т. II, N 595).
Итак, право вдовца или вдовы осуществляется – или выделом, или переходом в общем составе имения к общему наследнику. Но только выделом обособляется указная часть. Это обособление имеет важность на тот случай, когда надлежит определить свойство имения (благоприобретенное), доставшегося на указную часть вдовы. Родовым или благоприобретенным можно признать только известное, пределом ограниченное, особливое недвиж. имение. Только особливое имение, при наследственном переходе, получает, вследствие этого перехода, то или другое свойство. Итак, когда указная часть жены, не быв выделена из мужнего родового имущества, в общем составе его перешла к общему наследнику, нет возможности определить, что именно в составе этого имущества стало благоприобретенным. Для этого требуется обособление, отдел.
Если такого отдела не было, различие между отцовским и материнским в общем составе имения существует только в личном сознании владельца.
Последствия такого состояния имеют особый интерес. Если бы сын принял по наследству отдельно отцовское имение и отдельно имение, полученное матерью на указную часть, одно стало бы у него родовым отцовским, другое – родовым материнским. Но когда, приняв отцовское наследство, он принял в составе его и указную часть матери, еще не выделенную ей, – нет возможности указать в общем составе имения родовое материнское. Между тем может произойти следующее. Такой владелец может умереть бездетным, и в таком случае со стороны родственников его матери может возникнуть претензия на ту часть его имения, которая соответствует материнской указной части, на том основании, что эта часть была у него родовым материнским. Возможно ли признать их наследниками умершего вотчинника в этой части? Возможно ли, т.е. выделив из количественной массы часть ее содержания, никогда еще не имевшую отдельного существования, в ту же минуту создать для нее такое качество, которое определяется не иначе как предшествовавшим отдельным существованием и прежней историей имущества? Думаю, что невозможно. Не отыщешь твердого начала для оправдания такой операции, даже в таком случае, когда имение, принятое умершим вотчинником после отца, сохранилось до смерти его во всей целости. А если не сохранилось? Если некоторая часть этого имения была отчуждена им при жизни, как определить, что из отчужденного в общей массе относилось к родовому отцовскому, что к родовому материнскому имению?
Приведенные соображения не согласуются с сенатским решением (2 Общ. Собр. 1870 г.) по делу Пименова. В этом деле Фекла Бычатина, овдовев, просила о выделе указной части из имения мужа, но, не получив выдела, умерла. Сын ее Федор, став наследником отцовского имения, умер бездетен. К его имению предъявили права: родной его племянник, и сверх того, брат умершей матери его Феклы на ту часть имения, которая соответствует указной вдовьей ее доле. Сенат рассудил, что Федор Бычатин, приняв родительское имение, осуществил и право своей матери, ею при жизни не утраченное, на указную часть, которая у нее была благоприобретенным, а у него стала родовым материнским имуществом, следовательно, по смерти его эта часть должна перейти в род матери, к ее брату.
Все вышеизложенное показывает особливую заботливость нашего законодательства о жене. Правила нашего закона внушены заботой о положении вдовы после мужа; но право вдовы впоследствии распространено на вдовца, в чем нельзя не признать отступления от первоначальных оснований закона, ибо льготы, которые объясняются и оправдываются заботой о вдове, непонятны и представляются не совсем справедливыми в применении ко вдовцу. И о льготах, предоставляемых вдове, надлежит заметить, что они соответствуют той эпохе общественного быта, когда вдова, теряя мужа, представлялась несравненно более сирой и беззащитной, чем в нашу пору. Однако же и в наше время эти льготы не потеряли еще своего значения; в нынешнем состоянии законодательства ими несколько вознаграждается невыгода для женщин общих правил о наследстве. Ни в одном законодательстве супруги не пользуются такими преимуществами, как в нашем. Римское право призывает жену к наследству только в определенных случаях и при некоторых условиях; французский закон призывает ее, когда нет других родственников.
Особливый случай наследства после жены бывает, когда муж дворянского состояния примет с Высочайшего соизволения фамилию жены своей, по пресечении рода ее в мужском колене. Тогда, по смерти жены, если детей не осталось, все недвижимое ее имение, какое дошло к ней от отца, переходит к мужу (ст. 1160 Гражд. Зак.).
Постановления Литов. статута о праве жены после мужа (но не мужа после жены), сохраняющие силу для Черниговской и Полтавской губерний, ближе подходят к западным законодательствам. Супруги вообще не имеют права наследовать друг после друга в отдельном имуществе каждого. Когда оба они, не имея ничего при вступлении в брак, приобрели потом имущество общими трудами, оба вместе купили или приняли по дарственным актам, то получают друг после друга – при детях третью часть сего имущества, а без детей – все, что осталось. Приданое жены, когда было обеспечено на имении мужа, возвращается к ней, если же не было обеспечено или вовсе его не было, вдова получает по смерти мужа во владение (а не в собственность) часть, равную с общими от них детьми (толкуется: часть, равную сыновней части), буде же детей не было, третью часть всего мужнина имения; но если вступит во второй брак, то имеет право лишь на пожизненное владение четвертой части мужниного имения; впрочем, наследникам предоставляется выкупить и это право уплатой половинной цены его по судебной оценке. Таково право вдовы первобрачной; вдове после второго ее брака присваивается менее прав: она получает в пожизненное владение часть, равную с общими детьми, когда их несколько, а если один только сын останется или одна дочь, она пользуется пожизненно только третью частью.
Вдова, вышедшая за вдовца, по смерти его пользуется пожизненной равной частью с общими детьми; а буде детей не было, владеет частью, равной с детьми от первого его брака, доколе не выйдет замуж; в последнем случае лишается и сей части. Но все эти права предоставляются жене в таком только случае, когда муж при жизни ничего недвижимого или движимого ей не укрепил законным актом или не отдал в пожизненное владение. Вдова дворянка, вступившая в новый брак ранее 6 месяцев по смерти первого мужа, лишается назначенного ей мужем по веновой записи имения. См. 1157 ст. Зак. Гражд. и примечание к ней и статью г. Пестржецкого в Журн. Мин. Юст. 1860 г., N 12.
А. В наследстве у магометан все жены умершего, сколько бы их ни было, получают совокупно изо всего имения, при детях, одну восьмую часть, а без детей четвертую, и полученное на всех делят между собой поровну (1161).
Б. По уставу рижского лоцманского цеха, в случае смерти лоцмана на службе, одной вдове его предоставляется половина той доли лоцманских сборов, какая причлась бы умершему при ближайшем разделе: другие наследники не имеют права на участие в сих деньгах. См. II Собр. Зак. 1854 г., ноябрь 24 (28760) § 67.
В. Вдовы после мужей чиновников имеют право на пенсию, в случаях и по правилам, означенным в Уст. о пенс., но право просить пенсию ограничивается особым сроком (III т. Уст. пенс. 171–173, 217–227), и пенсия прекращается со вступлением вдовы в другой брак и лишением прав состояния или поступлением в монашество (там же, ст. 155, 251, 252).
Г. О праве вдовы протестантского проповедника на квартиру и доходы с места в течение траурного года см. Уст. Ин. Исп. 357.
Д. По смерти инвалида, поселенного в Павловской или Николаевской слободе, вдова, если имеет мал. детей, может до совершеннолетия их пользоваться помещением или участком умершего. П. С. З. N 49663.
Е. Об участии вдов в поземельном наделе по смерти мужей у крестьян и инородцев см. т. IX, Особ. Прил. XVI, Пол. Башкирск., ст. 20. У Казаков Уст. Казач. Сел. 118 и след. прил. к 53 ст. по Прод. 1863 г., п. 30; см. еще Уст. о ссыльн. изд. 1890 г., ст. 363.
§ 42. Выморочное наследство. – Случаи, в которых выморочные имущества обращаются в пользу разных учреждений и сословий
Когда после умершего не оказалось наследников, т.е. не явился никто в течение 10-летнего срока по вызову, или из явившихся никто не доказал своего права, тогда оставшееся имение признается выморочным; оно или обращается в состав государственных имуществ, или, по особому праву, предоставляется в пользу некоторых учреждений или обществ, к коим принадлежал умерший. Таким особым правом пользуются: учебные заведения (вед. народ. просвещения), после чиновников при сих заведениях, состоящих на службе; Университеты и Медико-хирургическая Академия – после своих членов, преподавателей и чиновников; учебные заведения ведомства Императрицы Марии, после служивших в тех заведениях, а также после воспитанников и воспитанниц, духовное ведомство после духовных властей (в их движимости)61; католические монастыри, после монахинь (в их денежных приданых капиталах); города после городских обывателей, в недвижимом имуществе, если оно состояло в черте города и отведенных ему земель (недвижимые вне сей черты, движимость и капиталы поступают в госуд. имущества ср. Касс. реш. 1878 г., N 47); сельское общество после приписанных к обществу крестьян; войска казачьи, после чиновников и казаков, малороссийские казачьи общества после своих казаков, в их потомственных казачьих землях (земли, лежащие внутри общественной дачи, но приобретенные от посторонних, равно движимость и капиталы поступают в общество лишь с его согласия; в противном случае, равно и земли, приобретенные от посторонних вне общественной дачи, обращаются в госуд. имущества); общество Сарептских и Прибалтийских Евангелических колонистов, после умершего колониста (Уст. Кол. 179); инвалидный капитал – в призовых долях, следующих убитым в сражении; эмеритальная касса морского ведомства – после служивших в сем ведомстве, кроме нижних чинов, артельные и собственные деньги коих обращаются в съестную или харчевую сумму, а если они умерли на казенном корабле или судне, то имущество их отдается в госпитали; дом призрения сирот женского пола Одесского благотворительного общества – после призреваемых в нем (Зак. Гр. ст. 1162–1172, 1174, 1176, 1178, 1179)62.
По закону 1893 года, выморочные имущества после потомственных дворян обращаются (за исключением случаев, указанных в ст. 1168–1172, 1174, 1176–1178 и 1180–1182 Зак. Гр.) в пользу дворянских обществ. Доселе это простиралось лишь на имущество дворян, записанных в родословную книгу; новый закон простирается и на имущество дворян не записанных. Недвижимые обращаются к дворянству той губернии, где оные находятся. Движимость обращается туда, где умерший записан в родословную книгу, а если он записан в двух или более губерниях, делится поровну. Если не был записан, но имел недвижимость, то и движимое следует по недвижимости тем же порядком. Буде же недвижимости у него не было, то движимость следует туда, где отец или дед по отцу был записан, тем же порядком.
1891 г. Апр. 3 N 45. – По возникшему в деле Тамбовского управления государств. имуществами вопросу о признании выморочным имущества статского советника Кашкадамова, применимо ли правило 1169 ст. Зак. Гражд. об обращении выморочных имуществ, оставшихся по смерти воспитанников и воспитанниц учебного ведомства Императрицы Марии, в пользу тех учебных заведений, – в коих умершие воспитывались, к имуществу, оставшемуся после тех лишь лиц, кои умерли в то время, когда воспитывались в сих заведениях, или к имуществу бывших воспитанников и воспитанниц, умерших и после выхода из сих заведений, Гражд. Касс. Деп. нашел, что этот вопрос должен быть разрешен в первом смысле.
А. Монастырям присваивается наследственное право на ризницы монашествующих властей и на выморочное их имущество, на всякую движимость простых монахов и на строения внутри монастырей, остающиеся по смерти простых монахов. IX. 393; 442, 443. Уст. Иностр. Исп. 1016 (по Прод. 1890 г.). У армяно-грегориан имущество патриарха, епархиальных начальников и викариев, если не завещано в пользу богоугодных заведений, обращается в пользу Эчмиадзинского монастыря, а имущество монастырских настоятелей и монашествующих, в подобном же случае, идет в пользу их обители. Уст. Иностр. Исп. 1015, 1016 (по Прод. 1890 г.) и 1871 г. марта 1 (49304).
Б. По правилам для устройства крестьянских волостей в Остзейских губерниях, наследства, в коих не откроется законных наследников, обращаются в волостную кассу. Полн. Собр. Зак. 1866 г. (43383) § 11.
В. Имущество, оставшееся после ссыльного в месте поселения, буде в Сибири не осталось у него прямых наследников или жены, продается, и деньги поступают в экономический капитал ссыльных, особливо в ту губернию, где умерший находился (Уст. ссыльн. изд. 1890 г., ст. 431, 433). Имущества ссыльного умершего до распределения поступают – мимо наследников, в экономическую сумму Иркутского и Приамурского генерал-губернаторств (примеч. к ст. 431). Строения, оставшиеся после каторжных, поступают, буде нет наследников, в ведомство того завода, где умерший находился (427 ст.). После ссыльных имущества выдаются ближайшим их родственникам, если они последовали за сосланными, в противном случае поступают, через продажу, в экономический капитал ссыльных. Уст. ссыльн., ст. 431, 434.
Г. Деньги после убитых или умерших в полку чинов Войска Донского, буде нет наследников, обращаются в казну приходской церкви той станицы, где умерший имел жительство (ср. Зак. Гражд. 1219).
Д. Из собственных денег, принадлежащих умершим, убитым и без вести пропавшим чинам, также жалованья и других сумм, следовавших им от казны, но по какому-либо случаю невыданных, уплачиваются их долги, остальные же затем деньги выдаются ближайшим родственникам или тем, кому они по духовному завещанию назначены будут. Но если завещания сделано не будет, а родственники умерших в течение года не явятся за получением наследства, то деньги те обращаются в инвалидный капитал. Св. Воен. Пост. Ч. II. Кн. I. 2210 ст. по V Прод.
Е. Частные вакуфы, по пресечении родов, в пользу коих были установлены, обращаются в госуд. имущества. Уст. Иностр. Испов. Прил. к 1203 ст. и 1874 г. июля 5 (53703).
Ж. Домы, оставшиеся по смерти отставных или уволенных в запас нижних чинов, водворившихся в бывших казенных селениях, если нет наследников, обращаются в пользу селения на общественные надобности. Уст. Лесн. изд. 1893 г., ст. 281, 413, прим. 2.
З. Частные случаи выморочности или обращения в казну, либо в пользу особого ведомства некоторых сумм, см. Учрежд. Орд. изд. 1892 г., ст. 172.
И. Если по продаже имущества несостоятельного, за удовлетворением всех его долгов и покрытием конкурсных расходов, останутся еще деньги, но наследники по вызовам не явятся, то деньги сии обращаются в Прик. Общ. Призрения; см. Уст. Общ. Призр. изд. 1892 г., ст. 45 п. 3; но для объяснения сего § необходимо поверить его по Банкротск. Уст. 1800 г., дек. 19 (19692) Ч. I § 160.
J. Кроме того, есть случаи, в коих некоторые имущества, или по роду своему, или по званию своих владельцев, в случае смерти их, не допускают вовсе перехода по наследству к кровным родственникам умершего: в таком случае имуществам этим дается особое назначение. Так, священные изображения в жалованных панагиях и крестах, по смерти духовных лиц, вынимаются из окладов и обращаются в ризницу того места, к коему умерший по служению своему принадлежал (ст. 1025, 1186). В монастырскую казну обращаются ризницы монашествующих властей; туда же поступает всякое движимое имущество монахов низших степеней (1187). Выморочное имущество архиерея обращается в пользу архиерейского дома (IX. 395). Иконы и священные предметы, когда достаются по наследству иноверцам нехристианам, должны быть ими переданы в 6-месячный срок со вступления в наследство в руки православных или в православную церковь (1188–1190 ст.).
1891 г. Янв. 30 N 2. – По вопросу о том, приобретает ли казна имение по выморочному праву только вследствие истечения десяти лет со времени публикации о вызове наследников, или же должна для означенной цели осуществить свое право собственности путем исходатайствования определения суда о передаче имущества, или фактически вступить во владение этим имением, Гр. Касс. Департ. высказался в том смысле, что имение становится выморочным, составляющим имущество государственное, в силу того обстоятельства, что в течение десяти лет со времени последней публикации о вызове наследников не явился никто за получением его или же никто из явившихся в сей срок не доказал своего права.
§ 43. Особые порядки наследства. – Наследование и раздел у крестьян по обычаю. – Закон наследования в прибалтийских губерниях
Для некоторых имений установлен особый порядок наследства.
1. Для заповедных имений. Учредитель каждого заповедного имения обязан в самом акте означить, кому из лиц своего рода он предназначает имение; впрочем, имеющие законных детей или других нисходящих по прямой линии потомков не могут обойти их: не имеющие – могут назначить родственников в боковой линии, из потомственного дворянства. Учредитель может, на случай смерти первых назначаемых наследников и пресечения их потомства, постановить, к кому из его родственников должно затем поступить имение. Но если имение при учреждении имеет свойство родового, то предназначаемый наследник должен быть из того рода, откуда имение поступило к учредителю. Во всяком случае переход имения в потомстве назначенного наследника должен совершаться в порядке, определенном законами: учредитель может только распорядить, в чье потомство должно идти имение, буде потомство первоназначенного иссякнет. Общий же наследственный закон таков: после первого владельца наследует старший сын и его потомство, всегда в лице старшего сына, по праву представления; если старший сын умер, не оставив представителей в прямой линии ни по мужскому, ни по женскому колену, то следует второй сын с потомством, тоже в лице старшего; если сыновей и потомства от них нет, – старшая дочь с потомством, затем вторая дочь и т.д. Если после умершего владельца не осталось нисходящих и он не был первым по назначению владельцем, то имение переходит к старшему из его братьев и его старшему потомству и т.д.; затем к старшей из сестер и ее старшему потомству. А когда ни братьев, ни сестер с потомством не осталось после умершего, имение переходит к старшему из братьев или старшей из сестер отца его, в том же порядке, если только эти дядя или тетка происходят в какой-либо степени от учредителя, или первоназначенного владельца, или первого наследника сего имения. На сем же основании и тем же порядком, с соблюдением во всех случаях первородства, представления и предпочтения мужского колена женскому, наследуют все прочие боковые родственники, лишь бы они происходили от вышеуказанных лиц. Наследование в заповедном имении после владельца не препятствует тому же лицу наследовать по общему порядку в других незаповедных имениях после того же владельца (Гражд. Зак. 1192–1205). Если бы к одному лицу дошли 2 или 3 отдельные заповедные имения, то они у сего владельца не сливаются, и дальнейшее распре-деление их между наследниками совершается по особому порядку (ст. 1206, 1207). Если у мужа и жены отдельные имения, то мужнино переходит к старшему сыну или, за неимением сыновей и их потомства, к старшей дочери; а женино имение – ко второму сыну, или буде сын у них один, к старшей дочери, либо ко второй, когда старшая получает отцовское имение (1208). Заповедное свойство имения уничтожается, когда нет больше в заповедной линии наследников из потомственного дворянства: тогда имение поступает по общим законам к наследнику последнего владельца (1209). Если владелец умер, не обеспечив участи вдовы своей и детей, кои не наследуют в заповедном имении, то вдова получает пожизненное право на шестую часть чистого дохода с сего имения, а дети вправе требовать, чтобы для раздела между ними был составлен посредством займа особый капитал, равный двухлетнему чистому доходу с имения. То же право принадлежит вдовцу и детям после владелицы имения. Остающиеся по смерти владельца доходы последнего года, как собранные, так и подлежащие к сбору по день смерти, делятся, за вычетом личных долгов владельца, между вдовой и детьми – не наследниками (ст. 1211–1213. См. еще в первой части сего сочинения статью о заповедных имениях).
2. Для имений, пожалованных на маиоратном праве в Западных губерниях (ст. 1214–1217). Имения сии поступают всегда к старшему сыну; только после первого приобретателя, не имеющего сыновей, имение переходит к старшей дочери и по ней к ее старшему сыну, или старшему сыну другой дочери. Когда нет дочерей у первого приобретателя, то наследует старший брат.
3. Для участков, отведенных малоимущим дворянам на основании изданных в 1848 году правил; они переходят без раздробления к старшему в роде наследнику (516, 1191 ст.).
4. Для наследства после иностранцев. Порядок наследства иностранцев в имении, остающемся в России, определяется общими законами (ср. 63 ст. Зак. Суд. Гражд. и 1274 и 1281 ст. Уст. Суд. Гражд.), кроме Царства Польского и губерний Бессарабской, Виленской, Витебской, Волынской, Гродненской, Киевской, Ковенской, Курляндской, Лифляндской и Подольской, где по закону 14 марта 1887 года иностранцы в недвижимом имуществе вне городов наследуют только в прямой нисходящей линии и после супругов, если притом наследник поселился в России до издания приведенного закона, во всех же остальных случаях наследник обязан в течение трех лет продать имущество русскому подданному, в противном случае оно берется в опеку и продается с публичного торга (IX, ст. 1003, прим. 2, прил. по Прод. 1890 г., ст. 3; Зак. Гражд. 1106, прим.). Особое правило постановлено также относительно принадлежащих иностранцам бессрочных долгов, внесенных в государственную долговую книгу: имущество сего рода поступает к наследникам иностранца по порядку и правам наследия того государства, к которому он принадлежит. То же постановлено о государственных непрерывно-доходных билетах (1218 ст. Зак. Гражд.; Уст. Кредитн. изд. 1893 г., разд. II, ст. 66, разд. III, ст. 49).
5. Для наследства после колонистов – в землях, отведенных им от казны. Наследует по правилу младший сын; лишь в случае неспособности его участок отдается одному из старших сыновей или близких родственников, по назначению умершего или по распоряжению начальства. О наследстве в землях, приобретенных колонистами в собственность, нет особых постановлений, но о движимом имуществе постановлено, что вдове умершего выдается 1/4 часть, такая же часть всем дочерям вместе, а остальное делится поровну между сыновьями (Уст. о Колон. 169–171, 176, 178).
По общему закону для колонистов, у них наследует в участке, без раздробления, младшие сыновья (минорат); правило это постановлено в указе 19 марта 1764 года, и состоит в связи с общей целью правительства устроить колонизацию для утверждения и успеха сельского хозяйства, к чему признавалось необходимым средством поддержание участков в хозяйственной целости. Посему тем же законом постановлено: если меньшой сын с надлежащим успехом владеть участком не может, за малолетством, или какой неспособностью, то и оставить на волю отцовскую: кого он из больших своих сыновей или родственников в наследники или опекуны изберет; если же сам отец не успеет того сделать, то начальство округа обязано избрать опекуна малолетнему наследнику; буде же наследник вовсе явится неспособен ко владению, то отдать тот участок из ближайших родственников тем, которые собственных участков не имеют, а при равенстве прав нескольких – по жребию. Итак, здесь, при владении условном и ограниченном, наследственный переход участка должен определяться не исключительно по кровному родству, но по способности родственников, хотя бы и отдаленнейших, к продолжению и поддержанию хозяйства.
Распоряжение движимым имуществом в воле родителей; но если завещания не оставлено, вдове дается 1/4 часть, такая же всем дочерям, на приданое, а остальное всем братьям с тем, что наследник участка обязан содержать мать до смерти, а сестер до замужества. Если останется одна вдова с дочерьми, то владеть им участком до чьего-либо замужества; хозяином участка становится первый мужчина, кто войдет в семью (ср. Уст. Колон. ст. 113, 120–125, 149–161, 169–178).
Эти законные правила наследства не соблюдаются, однако, во всей точности. На практике они значительно изменяются обычным правом колонистов, более соответствующим хозяйственным их потребностям. Так, напр., остается без применения право минората; это отступление не противоречит, впрочем, самому закону, в коем правило о минорате не имеет безусловно обязательного значения: участок может быть передаваем способнейшему; следовательно, от воли домохозяина всегда зависит, по предлогом неспособности младшего, передать участок старшему сыну или даже одному из дальнейших родственников. Настоятельная хозяйственная потребность понуждает колонистов разделять участки, составлявшие первоначальное хозяйство, при передаче по наследству, по завещаниям или по семейным договорам, дабы дать место основанию новых хозяйств для таких членов семьи или общины, которые в противном случае оставались бы безземельными; впрочем, 173 ст. Уст. о колон. дает право разделять подворные участки с согласия схода и выборных начальников.
Во всяком случае положительные правила Устава о колон. относительно наследства разумеют колониста преимущественно в кругу его поземельной оседлости и имеют в виду участки, отведенные ему от казны для хозяйства. Но, кроме того, каждый колонист может приобретать, независимо от специальных прав своих по сословию, как русский подданный, земли и недвижимые имения вне колонии и всякого рода движимое имущество. В отношении к собственным землям, состоящим вне казенного надела, колонистам, по силе 167 ст. Уст. Колон., предоставлены все вообще права, присвоенные сельским обывателям.
У некоторых колонистов приняты, как сказано выше, по обычаю, особые правила наследования в собственном имуществе. У меннонитов Молочанского округа правила эти облечены в форму писанного положения, которым эти колонисты весьма дорожат, не отделяя его от религиозных своих положений и обрядов. По силе сего положения женщины наследуют наравне с мужчинами во всех линиях. Наследники в нисходящей линии ни с кем не делят наследства. Родители исключают безусловно всех родственников далее первой боковой линии и делят наследство поровну с двоюродными братьями и сестрами. Дед и бабка делят наследство с дядьями и тетками, а также с двоюродными; прадед и прабабка – с двоюродными. Двоюродные братья и сестры предпочитаются родным дядям и теткам; родные племянники и племянницы – двоюродным дядям и теткам и пр. (см. Наши колонии – Клауса, Спб., 1869 г., стр. 12, 130, 158, 186, 220 и Прилож. 8). Неприкосновенность обычаев в наследстве предоставлена бывшим колонистам и в новом о них положении. Т. IX, Особ. Прил., XV, ст. 19, п. 7.
6. Для наследства в поземельных участках, отводимых чиновникам Войска Донского в срочное пользование (Уст. Казач. Сел. ст. 53 прим. 3. Приложение по Продолж. Ст. 9. Ср. часть первую сего сочинения § 63).
7. Имения, пожалованные на срок в арендное владение, по смерти владельца, буде еще срок не истек, переходят в наследство только ко вдове умершего и детям, а затем к потомству в прямой нисходящей линии: дальнейшее обращение таких имений в боковые линии не допускается и они возвращаются в казну, буде нет по прямой линии наследников.
Выражение: затем может дать повод к недоумению, допускает ли закон только однажды наследство в сих имениях до истечения срока? По смыслу закона, если бы сын, получивший такое имение после отца, коему оно было пожаловано, умер сам до истечения срока владения, то нет препятствий детям его, поскольку они составляют нисходящее потомство первого владельца, принять имение в наследство. Имения сего рода при переходе по наследству не должны быть раздробляемы; это не значит, что материальная ценность права становится достоянием одного только из числа многих наследников: доход с имения составляет общее достояние всех, но управление имением должно принадлежать одному. На сем же основании, т.е. в пользу только жены и нисходящего потомства, допускается наследство и в денежных арендах (Уст. каз. им. Прилож. к прим. 3 к ст. 2, ст. 36).
8. Особый порядок наследства в ленных имениях, по мужской линии. Ленные имения не подлежат раздроблению, но переходят во всей целости к одному из сыновей постоянно в мужской линии, а по прекращении ее обращаются в казну (Т. VIII, ч. I, изд. 1893 г., Уст. Лесн. Ст. 761 и прил. II к прим. 1 к ст. 1, Уст. каз. им., ст. 1).
9. По смерти ссыльных всякая движимость и деньги, что было ими в Сибири приобретено, переходит к находящимся в Сибири прямым их наследникам и к жене в указной части; буде же прямых наследников нет, то все достается жене, пришедшей в Сибирь с мужем по своей воле, или в Сибири вступившей в брак с ним во время ссылки; но к наследникам, пребывающим во внутренних губерниях, имущество ссыльного не обращается. Сей же порядок наблюдается, как следует заключить из примечания к 432 ст. Уст. о ссыльн. изд. 1890 г., и в наследовании недвижимого имущества, которое могло быть приобретено ссыльными в месте поселения до 1845 года по прежним правилам, и после того, на основании Указа 1859 года (423, 424 ст. Уст. о ссыльн.). Имущество ссыльных, умерших в пути, или до распределения в Тюмени, не поступает в наследство; только собственные деньги, которые при отправлении отобраны были у них под квитанцию, могут быть передаваемы после них жене и ближайшим родственникам, буде они вместе с ссыльным были препровождаемы. Строения, возведенные ссыльно-каторжным на месте работ, переходят к его жене, детям или иным родственникам (Уст. о ссыльн. Ст. 427–434). Наследство после ссыльного открывается не только смертью, но и осуждением за новое преступление, когда он вследствие того будет удален в другую сибирскую губернию или область (ст. 432). По смерти жены ссыльного, наследство принадлежит мужу или родителям одного звания (?) или пришедшим с ним в Сибирь по своей воле. Ст. 430 Уст. о ссыльн., в коей помещено сие правило, весьма неясно изложена.
10. Римско-католические церкви получают 1/4 часть из движимого имущества после духовных лиц, находившихся при тех церквах и умерших без завещания. Уст. Иностр. Исп. 116.
11. Особый порядок наследства указан, впрочем, несовсем определительно, для потомственных земель или поместий, принадлежащих Ханам, Бекам, Меликам и Агаларам (1846 г. дек. 6 (20762) п. 9–11): наследникам, в разделе сих имений, предоставлено, сверх российских законов, руководствоваться правилами Шариата, а равно Адатом или местным обычаем63.
12. Особым правилом определяется наследование в капитале, внесенном в комиссию погашения долгов иностранным вкладчиком, на бессрочный долг. В случае смерти его, бессрочный долг поступает к его наследникам по порядку и правам того государства, к коему он принадлежал. В законе не сказано, что сие правило применяется только к наследству иностранцев, живущих вне России. Кред. Уст. изд. 1893 г., разд. II, ст. 66.
13. Наследство у крестьян определяется по их обычаям IX т., Особ. прил., Общ. крест. пол. 38. Пол. Вык. 166. Местн. Велик. 110. Местн. Малор. 93. Местн. Закавк. ст. 81. Местн. Бессар. ст. 36. Правило это применяется независимо от того, состоит ли наследство в крестьянском наделе или в другом имуществе, и производится ли дело о наследстве в волостном или общем суде. Общие законы применяются лишь в том случае, когда обычай не указан или указание признано недостаточным (Касс. реш. 1880 г., N 174; 1885 г., N 3).
Домохозяину, по Малор. Мест. Полож., предоставляется передать, еще при жизни своей, семейный участок ближайшему наследнику; а кто не имеет по прямой линии наследника, может передать усыновленному приемышу. При переходе по наследству участки не могут быть раздробляемы свыше половины высшего пешего размера (ст. 94–96). Подобное правило о нераздроблении см. Местн. Пол. Закавк. ст. 84. Ср. Мнен. Гос. Сов. 19 февр. 1861 г., об отчужд. помещ. земель, т. IX, ст. 330, прим., прил. по Прод. 1890 г.
Общие наши законы о наследстве образовались поначалу посреди быта служилых классов: общие правила выяснялись и предписывались царским указом, по соображению с потребностями этого быта и с интересом службы Государевой. Закон о наследстве становился мало-помалу тем определительнее, чем определительнее вырождалось из зависимого и поместного владения начало личной собственности. Крестьянский быт оставался вне служилых прав и обязанностей, и крестьянское землевладение пребывало вне юридических определений, свойственных собственности. Неудивительно поэтому, что общий наследственный закон оставался мертвой буквой для крестьян, у коих в сущности не было права наследственного, а был лишь наследственный обычай. Невозможно уловить этот обычай в виде определительных общих правил на частные случаи, ибо народное сознание выражалось в бесспорном соглашении членов семьи, в общественных приговорах, в приговорах особенной крестьянской юрисдикции, и в каждом отдельном случае могло быть разнообразие оттенков, так что крайне затруднительно извлечь из отдельных случаев общие руководящие правила. Одно достоверно: что крестьянский наследственный обычай существенно отличается от общего наследственного закона, и основания этого отличия коренятся в свойствах хозяйственного быта у крестьян. По свойству сего быта и семья в нем имеет особенный вид хозяйственный и юридический, и само имущество представляется не в том виде, как, напр., у дворянина или купца. В крестьянском быту главным деятелем представляется личный труд, из коего, в отсутствии личной собственности и свободы, не успело еще до последнего времени выясниться все значение капитала: понятие о капитале не могло не быть, но капитал вообще представлялся подспорьем личного труда, а не отделялся в смысле собранного запаса трудов предшествовавших, и с великим трудом получал, при особенном развитии промышленности, рыночное, меновое значение. При таких обстоятельствах семья представляется у крестьян рабочим хозяйственным союзом, а имущество – общим хозяйственным инвентарем целой семьи, коего нельзя и разделить, не расстроив хозяйства; если же приходится делить его, то надо принимать в соображение, по справедливости, не столько близость родства, по отвлеченному представлению, сколько действительное участие того или другого члена в общем заработке. В крестьянской семье трудно указать, кто собственник общего семейного имущества; можно указать лишь распорядителя, и со смертью его не наследство открывается, а производится лишь перестановка распорядителя, коим обыкновенно становится старший, либо по летам, либо по указанию умершего, либо по выбору. Раздел вовсе не есть необходимое последствие этой перестановки, ибо в сущности нет перехода наследства, нет и имения, которое могло бы быть названо наследственным в смысле общего закона. Раздел семьи вызывается особенными обстоятельствами, экономической потребностью всех или некоторых, ссорами и т.п., и есть в сущности не что иное, как дележ общего заработка, причем и не кровные родственники, если жили в семье (напр., приемыши, зятья), могут быть дольниками, и производится раздел не поколенно, по отвлеченному началу, но по числу наличных взрослых работников. Кто прежде уже выделился из семьи и сел на своем хозяйстве, тот после и не участвует в общем разделе; отсюда предположение, что на корню, т.е. в старом доме, хозяином остается младший сын, так как он жил при отце и не успел выделиться (обычай этот, впрочем, не везде соблюдается). Женщина сама по себе не участвует в дележе семейственного имущества, вдова не получает за мужа, и замужняя дочь считается совсем отделенной, а девица может претендовать только на приданое. Вообще при разделе принимается в расчет, сколько кто их делящихся участвовал в приобретении, в приумножении общего семейного капитала. Поэтому брат умершего, когда жил с ним не в разделе, участвует вместе с детьми его в разделе после него имущества, участвуют и пасынки, если работали в дом. Дочери обыкновенно ничего не получают при братьях или получают малую часть. Вот существенные основания раздела, истекающие из условий хозяйственного крестьянского быта; но при сем необходимо заметить: во-1-х, что в некоторых местностях, где не было обычая семье жить без раздела в общем составе, где был обычай отдельного владения землей по участкам или где издавна существовало крестьянское владение землями на праве личной собственности, и указанные основания изменяются; во-2-х, что кроме общего семейного имущества некоторая движимость составляет отдельную личную принадлежность отдельных членов семьи, и в этом имуществе существуют особливые наследственные обычаи.
Вообще юридические обычаи с трудом приводятся в известность и никогда не достигают полноты и определительности, свойственной положительному закону. У нас крестьянский наследственный обычай вовсе не принимался в соображение при решении дел в общих судах, когда касалось дело до наследства (напр., при открытии наследства в городе после крестьянина промышленника, или в отдельном крестьянском имуществе, лежавшем вне сельской его оседлости), вообще же дела сего рода состояли вне общей юрисдикции и решались вотчинной, сословной или административной властью. Лишь с освобождением крестьян из крепостной зависимости получил значение перед законом крестьянский наследственный обычай, ибо 38 ст. Общ. полож. о крестьян. предоставлено крестьянам в порядке наследования имуществом (не исключая имущества, которое может быть на основ. 33 ст. приобретено и на стороне, вне крестьянского надела) руководствоваться местными своими обычаями64. Там, где, как у нас в России, отношения по имуществу так неразрывно и так разнообразно связаны с обычным устройством семьи, в населении земледельческом, – было бы со стороны законодателя великим насилием отменить все эти обычаи и вместить все наследственные порядки в одну узкую рамку положительного закона. И у германских племен, а тем более у славянских наследственные порядки возникли из семейного быта, и развивались на нем, имея существенной целью охранение семьи в ее цельности по имуществу. Вот почему, в наше время, и там, где издавна уже существуют обработанные кодексы наследственного права, слышатся голоса, доказывающие необходимость выделить из кодексов гражданского права постановления о семье и о наследстве.
По новому закону 1889 года, к ведомству волостного суда отнесены дела по наследованию и разделам между наследниками крестьянского имущества: а) без ограничения суммы, когда оно входит в состав крестьянского надела, а движимость составляет принадлежность сего надела; б) когда наследственное имущество, находящееся в пределах волости, хотя и не входит в состав крестьянского надела, но ценность его не превышает 500 рублей.
В новейшем кодексе, обработанном Богишичем для Черногории, и семейные отношения и наследственные права оставлены без законодательного анализа и определения. К тому же склоняется, на Дальнем Востоке, японский законодатель в предстоящей для этого государства разработке гражданского кодекса.
Закон наследования в прибалтийских губерниях. Сообразно римскому праву, признается понятие о праздном наследстве (her. jacens) как о юридическом лице, и призвание к наследству отличено от принятия. Преимущественным основанием наследственного права признается наследственный договор, затем завещание, а после того уже наследование по закону. Способность к наследованию требуется в минуту призвания к наследству, а по завещанию или договору – и в минуту совершения того или другого.
Наследование по закону допускается совокупно с наследством по воле умершего только в Курляндии; в остальных местностях действует римское правило (nemo pro parte testatus pro parte intestatus; Остз. Гражд. Зак. 1691–1704, 2125); однако, если в завещании не назначено наследникам определенных долей, то, за распределением частей по завещанию, остальное имущество делится между ними не по соразмерности сих частей, но поровну, по числу лиц или колен (2698).
К наследству призываются: во-первых, живой супруг, во-вторых, кровные родственники умершего. Если последних нет вовсе, то супруг получает все наследство, а с родственниками делит оное. Определение супружеской части отличается особенным разнообразием постановлений, по историческому различию прав и обычаев в разных местностях края; так что в гражданском законе посвящено сему предмету 160 статей (1709–1869). Городское право, земское право, Лифляндское, Эстляндское, Курляндское, Пильтенское земское, Нарвское городское – содержат в себе различные о сем постановления; кроме того, особливый порядок установлен для наследования супругов духовного звания в Курляндии, Лифляндии, Эстляндии, в Риге и в Ревеле. Повсюду, однако же, право супруга определяется различно, смотря по тому, есть ли при нем дети или нет детей, вдова ли осталась после мужа или вдовец после жены: от сего зависит и мера ответственности за долги по наследству. Не вдаваясь в подробности местных уставов, достаточно указать для образца на постановления Лифляндского и Эстляндского земского права. Небездетная жена получает все наследство после мужа в безотчетное владение и пользование, до раздела, которого дети или, за смертью детей, родные могут требовать лишь в случае вступления вдовы во второй брак, сохраняя до того или до смерти ее только ожидаемое право на наследство. При разделе вдова получает всю движимость умершего, а из недвижимости и долговых требований долю, равную детской, но в случае смерти ее до раздела, право на сию последнюю долю не переходит к ее наследникам. Бездетная вдова владеет всем наследством 1 год и 6 недель со смерти мужа; затем при разделе получает вдовье вено, всю движимость (а в Эстляндии и 1/2 долговых требований). Небездетный вдовец в Лифляндии получает в наследство всю движимость, а всем прочим имением владеет до совершеннолетия детей; в Эстляндии сохраняет во время вдовства все имение в пожизненном владении, а в случае нового брака, при разделе, получает всю движимость, денежное вено и равную с детской долей долю недвижимости и долговых требований. Бездетный вдовец (в Лифляндии) получает всю движимость и денежное вено, и пользование вотчинами на 1 год.
Незаконные дети наследуют лишь после матери и ее родственников, одинаково с законными, и обратно.
Усыновленные после усыновителей и их родственников наследуют в родовом имении лишь в силу особых условий усыновления, а в благоприобретенном наследуют после усыновителей наравне с законными детьми. Они не лишаются наследства и после кровных своих родственников. После усыновленного наследуют его родственники по усыновлению, наравне с кровными.
Общий порядок наследования заимствован буквально из римского права по 118 новелле, в тех же 4 разрядах. Право представления во 2 и 3 разрядах распространяется только на племянников умершего, но не далее, а в 4 разряде вовсе не допускается; в последнем разряде не имеет значения ни многократное родство, ни полнородное, ни различие пола. Когда после дворянина наследуют совокупно мужчины с женщинами, то первые имеют во всех разрядах преимущественное право на удержание за собой вотчин.
Таковы общие правила. Но в разнохарактерном законе прибалтийских губерний общие правила лишь в редких случаях могут служить достаточным руководством. Порядок наследования усложняется великим множеством местных отличий, по различию вышеприведенных, и еще многих других городских и земских прав. Различие это зависит главным образом от различного свойства имуществ, и сверх того, когда в наследстве участвуют восходящие вместе с братьями и сестрами умершего, мера участия их определяется различно, смотря по тому, был ли умерший вотчинник при жизни своей отделен или не был. В Эстляндии восходящие безусловно исключают боковых родственников. В Лифляндии из вотчин мужчина в равной степени получает вдвое против женщины; в Эстляндии это преимущество сыновей распространяется только на отцовские, а не на материнские вотчины. В Курляндии сыновья получают из отцовского наследства после дворянина втрое против дочерей. По лифляндскому праву, отцовское родовое идет в боковых линиях в род отца, материнское – в род матери.
Выморочное право существует, независимо от прав государственной казны, для Дерптского университета, для города, для евангелического братского общества и для церкви (относительно священнослужителей).
Примечание ко второй главе. По местным бессарабским законам (Донича Тит. 37; Арменопула Тит. VIII, кн. V), порядок наследства представляется в следующем виде.
Наследуют прежде всего нисходящие. Усыновленные и узаконенные признанием дети наследуют вместе с законными детьми; полнородные исключают неполнородных. Дети, за умерших родителей, наследуют по праву представления поколенно.
Если нет нисходящих наследуют восходящие, всех степеней, с исключением дальнейшей перед ближайшими, но с ними участвуют поровну, если есть полнородные братья и сестры умершего. Отец после умершего сына, хотя бы он и оставил по себе детей, получает имение его в пожизненное владение.
Братья и сестры полнородные предпочитаются; лишь в недостатке их призываются к наследству неполнородные. Мужчины не предпочитаются женщинам. Если у умершего не осталось живых братьев, а только дети их, племянники, то все они, сколько бы их ни было, делят имение поровну.
Супруг, после умершего супруга, и при детях получает равную с ними часть; при боковых наследниках – братьях, получает равную с ними часть, если их более трех, в противном случае четвертую. В некоторых случаях, между прочим, в случае вступления во второй брак, переживший супруг удерживает свою долю лишь в пожизненном владении.
Вообще законы эти мало определительны и исполнены противоречий.
По армянскому судебнику, порядок наследования определен, согласно со 118 нов. и позднейшим римским правом (см. ст. Алексеева об Арм. Суд. в Чт. Моск. Ист. Общ. 1870 г.).
Глава третья. Открытие, приобретение и раздел наследства
§ 44. Открытие наследства и приобретение оного. – Ответственность незаконного наследника перед законным. – Передача наследственного права. – Договоры о будущем наследстве
Право на открывшееся наследство принадлежит наследникам с самой кончины владельца (1254). Стало быть, в какое бы время ни объявился наследник, право его возводится к минуте открытия наследства, которое следует ему в сущности со всеми своими приращениями и доходами с того времени. Применение этого правила бесспорно, если, до вступления наследников в наследство, оно не могло считаться ничьей принадлежностью: на этом основании, напр., имение отдается наследнику, безвестно отсутствующему, из казенного присмотра (со всеми доходами, кроме издержек, на кои полагается 1%, см. 1244). Но при явке наследника может оказаться, что до него законно владело имением лицо, прежде того явившееся и признанное законным наследником, но долженствующее теперь вовсе уступить его преимущественному или частью поступиться его совместному праву. В таком случае вопрос об ответственности прежнего владельца новому, в доходах, разрешается по правилам о вознаграждении за владение, смотря по тому, добросовестное ли было оно или недобросовестное (Зак. Гражд., ст. 609–615, 618–626, 628–643. Ср. Касс. реш. 1876 г., N 29 и сего сочинения часть 1, § 21). Особенными правилами определяется ответственность наследни-ков по закону, введенных во владение имением, перед наследником по завещанию, впоследствии предъявленному на то же имение (Зак. Гражд. 1300–1302).
Право наследника на открывшееся наследство, доколе оно не осуществилось, есть право личное, передаваемое лишь путем законного наследования: в сем отношении наши законы допускают неограниченно так называемую трансмиссию. Но спрашивается: можно ли передать это право по завещанию лицу стороннему или по договору? Едва ли есть в наших законах основание воспретить передачу сего права по завещанию, которым устанавливается то же наследство, – если имение, к коему право относится, есть движимое, не могущее получить родовое свойство от наследственного перехода. Если же имение это родовое, либо вообще будучи недвижимым, долженствовало бы получить у наследника свойство родового, то передача наследственных прав на таковое имение стороннему лицу, а не тому, кто должен быть наследником, по завещанию, окажется несогласно с духом наших законов о родовых имениях и о завещаниях. Эти соображения тем более применяются к праву на наследство такого лица, которое является не единственным, а совместным с другими наследником, ибо в сем случае свободе передачи наследственного права препятствует нераздельная общность его с другими лицами, без согласия коих участник на основании общего закона (ст. 1314) не может отчуждать свою долю (ср. Сбор. Сен. реш. т. 1, 598). Только в Черниговской и Полтавской губерниях допускаются, по местному закону, так называемые улиточные записи об уступке наследства (1256 ст.; ср. сего сочинения часть 1 § 39). О сем предмете рассужд. в реш. 1 Общ. С. Сен. 1871 г. по д. о насл. Арх. Платона.
В деле Гоголя (Касс. реш. 1872 г., N 794) возник вопрос: с передачей по улиточной записи всей доли отцовского наследства, при обозначении количества земли, передано ли право на получение выкупной ссуды по тому имению? Доказывалось, что улиточ. записи бывают двух родов: на неопределенное наследство и на известную часть наследства. Но Сенат рассудил, что, по Литовскому статуту, улиточная запись означает передачу наследственных прав во всей их совокупности, хотя по содержанию записи может быть в ней и ближайшее определение составных частей наследства.
Прежде чем открылось наследство, наследника к нему нет, в смысле гражданского права; если и есть в наличности особы, которые по родству, хотя бы и самому близкому с владельцем, могут считаться предполагаемыми его наследниками, это предположение не имеет юридического значения, т.е. само по себе не дает им ни малейшего права на имение65. Поколику существует в полноте прав гражданская личность владельца, о гражданском праве наследника на имение не может быть речи (может быть речь, когда ограничиваются права владельца наложением опеки, Зак. Гражд. 376), тем более, что до самой минуты открытия наследства невозможно предвидеть с достоверностью, кто из предполагаемых его наследников будет налицо или в живых и кто будет признан действительным наследником. По закону, как замечено выше, у нас не полагается необходимых наследников; хотя же закон в иных случаях упоминает о прямых наследниках (1054 ст. Зак. Гражд.), но это название лишено юридического значения, ибо им особых прав не предоставлено и не пояснено, кто суть прямые наследники.
Отсюда следует:
1. Предполагаемые наследники владельца не имеют, до открытия наследства, права на иски, истекающие из качества наследников. Противное означало бы, что в личности гражданской может быть раздвоение, и что этим раздвоением ограничивается единство и свобода воли в лице собственника. Посему предполагаемый наследник не вправе оспаривать гражданское действие владельца по имению, и права третьих лиц, на сем действии основанные, напр. дарение, продажу, совершенные владельцем. Право на таковой иск открывается для наследника лишь с минуты открытия наследства (посему с этой же минуты надлежит исчислять для него исковую давность). Хотя бы даже имение, к которому относилось действие владельца, оказывалось родовым, и это обстоятельство не дает предполагаемому наследнику права на иск. Есть, однако же, особый разряд имений, которые признаются собственностью не одного лица, но целого рода или фамилии, – заповедные имения; в этих имениях, при жизни владельца, содержится законное и не предполагаемое, но действительное право его наследников, и потому нельзя лишить наследников права на оспаривание, при жизни владельца, его распоряжений, клонящихся к нарушению заповедных прав.
2. Всякие договоры и записи об имеющем открыться наследстве не могут иметь силы, так как можно изъявлять свою волю лишь об имуществе, на которое имеется действительное право; кроме того, закон не допускает таких договоров и по нравственному побуждению. Посему едва ли можно придать решительную силу и отречению от наследства, хотя бы отречение это оглашено было перед самим вотчинником и перед другими, предполагаемыми наследниками. Покуда не открылось еще право, нельзя допустить распоряжение им, а отречение есть уступка права или отступление от права.
По римскому праву, допускалось отречение от ожидаемого наследства, с согласия того лица, от кого наследство ожидается. Наш закон не дает повода признать такое отречение действительным: в сущности оно будет не односторонним актом, а соглашением или договором об ожидаемом наследстве.
А) При жизни мужа, Александра Гавриленко подала в Уездный Суд явочное прошение, что она предоставляет наследникам по мужу, которые получат родовое имение, или выделить ей из оного указную часть, или вместо того выдать 21.000 рублей. Впоследствии, при разделе мужнина имения, по смерти его, наследники его на сем основании отказывали в выделе вдове его указной части. Но Сенат, на основании 1148, 1159, 709 (по изд. 1887 г., ст. 710) и 1104 ст. Зак. Гражд., признал это заявление жены об уступке своей доли из имения мужа, при жизни его, недействительным (реш. Сен. Общ. Собр. 1874 г., по делу Гавриленко и Струкова).
Б) Кн. Голицын, при жизни жены своей, заключил с ней условие о выделе ей седьмой указной части из недвиж. имения или денег за оное, причем жена отказалась от дальнейшего участия в наследстве после мужа. Такой акт, оспоренный впоследствии мужем, Палата (а за ней и Сенат) признала недействительным, по нарушению 709 ст. (по изд. 1887 г., ст. 710) I ч. Х т. Касс. р. 1872 г., N 1096.
В) В западном крае, при действии Литовского статута, были в употреблении договоры о пожизненном владении или так назыв. пережиточные записи, особливо между супругами (Литов. стат., разд. V. арт. XVII, § 1; разд. VII, арт. I, § 1), о том, что имение одного лица должно перейти, по смерти его, в пожизненное владение другому, остающемуся в живых, и обратно. В 1869 году решением 1 Общ. Собр. Сената по д. Выржиковской признано, что основанное на подобном акте преемство имения, как основанное на договоре, не причитается к наследству. Посему признано, что при конфискации имения у мужа преступника, жена его, по имению, полученному от мужа на основании такого акта, не может быть поставляема в разряд лиц, лишаемых участия в наследстве после политического преступника; что казна путем конфискации могла получить имение преступника только в пределах тех прав и обязанностей, в коих находился он сам в момент своей политической смерти, следовательно, не вправе была, по своему одностороннему усмотрению, уничтожить пожизненный договор, который сам Выржиковский не вправе был разрушить.
Отречение от наследства имеет юридическую силу в одном только случае, и в этом случае сие отречение нельзя назвать предварительным. По нашему закону, допускается предварение наследства выделом; но с выделом, по воле вотчинника, наследственная доля, при жизни его, передается в действительное владение и в собственность ближайшему наследнику; стало быть, в этих случаях к выделенному лицу переходят действительно вотчинные права на имение, и от него зависит счесть себя, на свою долю, вполне удовлетворенным и больше ничего не требовать при разделе имения, по открытии наследства, между прочими наследниками (ст. 998, 1002 Зак. Гр.).
В лице несостоятельного должника вступление его самого в наследственные права устраняется, либо ограничивается. Все, что к несостоятельному дойдет по наследству во время конкурса, причисляется к конкурсной массе (Уст. Суд. Торг. изд. 1893 г., ст. 571). По окончании производства о несостоятельности несчастный должник восстанавливается в правах своих (621), а к неосторожному, что впоследствии дойдет по наследству, обращается сполна на удовлетворение непогашенных еще прежних долгов его (623). Это правило несколько изменяется относительно неосторожного должника в неторговом звании. Буде ему достанется наследство, то берется в опеку, из коей до смерти его только 1/5 часть обращается в пользу его с семейством, а остальное идет на уплату долгов; по смерти же платеж долгов пресекается. Зак. Суд. Гражд. ст. 527, 528.
§ 45. Меры к охранению открывшегося наследства. – Опись. – Вызов наследников. – Утверждение в правах наследства. – Срок на явку наследников и вступление явившихся. – Особые правила для торгового сословия
Между открытием наследства и вступлением в него наследников может быть более или менее продолжительный промежуток неизвестности о том, кого следует считать хозяином оставшегося имения, и охранять имение некому. В таком случае для охранения имения в пользу наследников принимаются меры подлежащей властью. По старому порядку меры эти принимались полицией и судом: по новому порядку – принимаются мировым судьей в порядке охранительного производства. Меры эти суть: во-1-х – опись и опечатание имения, во-2-х – вызов наследников (1224, 1225 Зак. Гр.).
В сущности, нельзя предвидеть заранее, какие объявятся наследники и кто именно, и потому надлежало бы во всех случаях принимать меры к охранению имущества. Но закон говорит (1226 ст.): опись и опечатание имущества производятся: 1) когда при открытии наследства наследников налицо не будет и 2) когда имущество по закону должно поступить в опеку. Если же некоторые из наследников в отсутствии или есть сомнение в том, все ли они на лицо находятся, движимое имущество умершего должно быть подвергаемо описи. По новому порядку к описи приступает (через судебного пристава) мировой судья, получив извещение о смерти (1227 Зак. Гр.; 1403–1407 ст. Уст. Суд. Гражд.), а в местностях, в коих введено положение о земских начальниках, – земский начальник (Зак. Гражд., ст. 1227 прим., по Прод. 1890 г.).
В ст. 1231, 1234 и 1238 Зак. Гражд. установлены и некоторые особенности относительно описи и охранения имуществ при различных условиях, а именно после лиц, умерших в пути и на пароходе, после духовных властей, после содержателей фабрик и мануфактурных заведений, после русских подданных, умерших за границей, и после иностранцев в России.
Сохранение описанного имущества поручается или налицо, находящимся наследникам, или, когда их в виду нет, постороннему лицу, напр., хозяину дома (Касс. реш. 1867 г., N 384; ср. Зак. Гражд., прил. к ст. 1227, ст. 7). Имение лица, безвестно отсутствующего, берется в казенный присмотр (1243 Гр. Зак.).
Опись имущества, вместе с производством, представляется по старому порядку в судебное место, в ведении коего находится имущество (в порядке вотчинной подсудности); по новому порядку – мировому судье, в участке коего наследственное имущество находится (выражение неопределительное, ибо после умершего могло остаться имущество в разных местностях и участках). Суд (или судья) делает распоряжение о вызове наследников через Сенатские ведомости (публичные ведомости). Предположение о неизвестности всех наследников следует допустить во всяком случае; но в 1239 ст. Зак. Гр. постановлено, что вызов делается в трех случаях: 1) когда все наследники или некоторые из них находятся в отсутствии (очевидно, что предположение о сем надлежит допустить во всех случаях безразлично, а потому этой одной причины достаточно для того, чтобы производить вызов во всех случаях; а затем уже о последующих двух причинах не было бы нужды упоминать); 2) когда после умершего остался капитал в Государственном банке; 3) когда не выкуплены им вещи, заложенные и просроченные в Ссудной казне. На эти же три повода сделана ссылка в 1401 ст. Уст. Гр. Суд., из чего следует заключить, что в сих случаях вызов наследников обязателен для мирового судьи, но в следующей, 1402 ст., сказано, что судья (кроме того) делает распоряжение о вызове, по просьбе частных лиц, по заявлению полиции, по требованию прокурорского надзора или начальства умершего. Особенности вызова наследников после умерших в военной службе и нижних военных чинов смотри в примечании к 1239 ст. Зак. Гр.66
Кроме того, имеются особые правила о хранении и распределении имущества после убитых и умерших чинов в полках Войска Донского (ср. 1219 Зак. Гр.); об открытии и приобретении наследства в имуществе, остающемся в губерниях и областях, на особых правах состоящих, по смерти уроженцев губерний, состоящих на общем праве, и обратно (1279–1286); остающемся после лиц, водворенных в Империи, временно пребывающих в Польше или Финляндии, и обратно (1287–1295); об охранении имущества после умерших в Красноводском округе. 1870 г. апр. 24 (48280).
Ссылка, сделанная в 1401 ст. Уст. Гражд. Суд., в связи с 1403 ст., на 1239 ст. Зак. Гражд., может ввести в недоумение. Можно подумать, что распоряжение об охранении непременно должно быть сделано, когда после умершего остались капиталы в Банке или невыкупленные вещи в Ссудн. Казне. Очевидно, что такой вывод был бы неоснователен. В приведенных случаях необходим по закону вызов наследников для охранения банкового интереса; но нет ни малейшего основания по этому только поводу принимать меры к охранению целого наследства.
Из приведенных статей не следует заключать, что с вызовом всегда соединяется охранение. Вызов наследников имеет свое особенное значение и м.б. сделан и без принятия охранит. мер, когда они не требуются (Касс. реш. 1871 г., N 421).
Если местопребывание отсутствующих наследников известно, то, кроме публикации, они вызываются и через местную полицию. Публикация необходима и потому, что от нее исчисляется срок для явки наследников и для утверждения явившихся наследников в правах с отдачей наследства. Кто явился в течение полугода со времени последнего припечатания в ведомостях, те могут просить, чтобы, не ожидая долее, их допустили вступить во владение; а буде имущество находилось в их руках, вправе считать себя хозяевами, при бесспорности прав своих (1241). Особые правила о вызове после умерших в России иностранцев см. 1247, 1248 ст. Зак. Гр.
В конвенциях о наследствах, заключенных с иностранными правительствами, содержатся правила о порядке охранения и описи наследственного имущества местными властями совместно с консулом подлежащей страны или без него в его отсутствие; о сдаче имущества на хранение консулу и о праве сего последнего обращать в продажу движимые вещи, подлежащие порче, и относить на счет массы расход, потребный по случаю смерти (ср. Уст. Консульск. изд. 1893 г., ст. 2, прим. 2).
Если в течение 6-месячного срока никто не явился к отысканию наследства, оставшееся имение надлежит (по общему правилу 1243 ст. Зак. Гр. о безвестно отсутствующих) брать в казенный присмотр (в ведомство опеки). В опеку же поступает имение по спору о наследстве, в случаях, указанных в 106614, 1098–1103, 1300 ст. Зак. Гр. и 397, 398 ст. Зак. Суд. Гражд. В опеку предписано брать имения населенные, достающиеся по наследству непотомственным дворянам, впредь до совершения акта о выкупе крестьянских земель или до отчуждения имения владельцем потомственному дворянину (1304 ст. Зак. Гр.).
А) Применение 1226 ст. Зак. Гр. сопряжено с немаловажными затруднениями, по ее неопределительности. При действии старого порядка, имение оставлялось обыкновенно, без описи, во владении наличных наследников, когда они состояли налицо, и устранить в сем случае вмешательство полиции не стоило больших затруднений. Этим облегчалось положение наследников, но зато, с другой стороны, представлялось немало случаев и поводов к расхищению или утайке имущества. Напротив того, при введении в действие мировых учреждений, 1226 ст. начали применять с чрезмерной строгостью. Действительно, текст ее во многих случаях представляет одинаковое основание как к устранению описи, так и к требованию описи. При действии новых правил судопроизводства возникло более поводов исполнительным чинам опасаться ответственности за несоблюдение важной формальности, но с другой стороны, явились и новые личные побуждения требовать непременного ее соблюдения, ибо с составлением описи соединяется взыскание сбора в пользу судебных приставов. Посему неудивительно, что ныне мировые суды требуют описи открывающегося наследства с чрезмерной строгостью, походящей в иных случаях на притязательность. Много на это ропота и жалоб, особливо по случаю описи малых наследств, не соответствующих издержкам на опись и хлопотам; однако же трудно удовлетворить эти жалобы на основании нынешней редакции 1226 ст. Надлежало бы выразить ее определительнее. Для сего, может быть, потребовалось бы в нашем законе установить принятое в других законодательствах различие между прямыми и непрямыми наследниками и предоставить прямому наследнику законную возможность вступить во владение имением непосредственно, с принятием на себя ответственности пред прочими, могущими явиться, а вместе с тем уменьшить издержки по случаю описи малых наследств.
Б) Охранение наследства исполнительным порядком служит к ограждению целости и к приведению в известность количества наследственного имения, в интересах тех лиц, кои могут явиться в качестве наследников и быть признаны наследниками, или сторонних лиц, имеющих открывшееся и заявленное право на взыскание личных своих претензий с наследственного имущества. Посему охранительное производство может быть возбуждено, во-1-х, без чьей-либо просьбы, единственно по усмотрению мирового судьи, когда он известился об открытии наследства. Если при сем мировой судья может иметь личное убеждение в том, что кроме наличного наследника, уже владеющего имением в сем качестве, других наследников нет, и нет в виду других интересованных лиц, то от него зависит, кажется, под своей ответственностью устранить охранение. Во-2-х, охранительное производство может быть возбуждено по заявлению и просьбе интересованных лиц, имеющих претензию на наследство, или к оному. В-3-х, наконец, оно может быть возбуждено и в интересах самого наличного наследника, уже вступившего в имение, для ограждения его самого от могущих впоследствии возникнуть к нему претензий со стороны имеющих явиться сонаследников или кредиторов.
Надлежит заметить, впрочем, что одно необъявление предполагаемого наличного наследника об открывшемся наследстве само по себе еще не возлагает на него наследничьей ответственности пред кредиторами умершего или ответственности перед имеющими явиться наследниками. Первые обязаны еще доказать, что он вступил в наследство самим делом; последние обязаны доказать, что показуемый ими состав наследственного имения был действительно таков при открытии наследства, и уменьшился именно по вине или небрежению повинного лица (ср. Касс. реш. 1870 г., N 1583).
Правила охранительного производства, по приведению в известность открывшегося наследства, в строгом смысле применяются к такому состоянию наследства, в коем оно состоит прямо открывшимся наследством, т.е. массой имущества, которая неизвестно еще кому принадлежать будет; но когда наследственное имущество, по смерти вотчинника, поступило уже во владение другого лица и числится за ним, как его наследственное достояние, тогда приведение сего имения в известность и охранение его бесспорным охранительным порядком не может иметь места (разве по требованию наличного наследника, вступившего в наследство), ибо несообразно с сущностью бесспорного порядка. Вступить во владение наследством наследник может непосредственно и без утверждения в правах наследства, чем принимает на себя и ответственность, сопряженную с принятием наследства. Тогда уже вступает он, как наследник, в законное состояние владения, которое не может быть нарушено действием исполнительной власти, в порядке бесспорного производства. Надлежит к сему владению приступать, в случае отрицания владельца, не иначе как по иску того лица, которое является со своим на то же имение наследственным титулом, и распоряжение об охранении наследственного имущества, посреди всей массы имуществ того лица, у кого оно во владении находится, может уже последовать не иначе как по распоряжению подлежащего суда в порядке судебно-искового производства. Эти соображения подтверждаются решением Гражд. Касс. Деп. Сената 1870 г. N 1892, в коем обсужден такой случай. По крепостному завещанию деда в пользу сына его, принявшего наследство, владел имением внук сего деда; но через 20 лет уже по смерти сего деда состоялось решение, коим завещание деда не признано в качестве крепостного, а предоставлено просить об утверждении его как домашнего. По поводу сего решения законный наследник того деда обратился к мировому судье с просьбой об охранении наследства, за 20 лет до того открывшегося. Распоряжение мирового судьи об удовлетворении сей просьбы Сенат признал незаконным.
В 1871 году заявлена была просьба об охранении наследства, открывшегося в 1856 году. Сенат признал (Касс. реш. 1872 г., N 1048), что меры для охранения предполагаются нужными немедленно после смерти владельца, а потому настоящий случай не относится к охранительному производству, и принятие охранительных мер через 15 лет по смерти не было обязательно для мирового судьи.
В) Практика охранения возбудила уже много спорных вопросов и недоумений. В каких случаях следует и в каких не следует приступать к охранению? Что следует подвергать описи и опечатанию? Как удовлетворять притом претензии третьих лиц на вещи, найденные в имуществе умершего? Кому отдавать на хранение описанное имущество? Как поступать в тех случаях, когда требуется хозяйственное управление им, продолжение дел, промысла, торговли, – охранение права, соединенного с владением (напр., сроков по обязательствам и долговым требованиям и т.п.), исполнение необходимых расходов и проч.? В каком порядке и какой властью совершать передачу имуществ по явке претендентов на наследство или по предъявлении завещания? Все эти вопросы поставляют до сих пор в затруднение нашу практику (см. о сем обстоятельные статьи Г. Закревского и Герарда в Журн. Гражд. и Уголовн. права, 1872–1874 гг.).
От законодательной власти требуется разъяснение и дополнение тех начал, которые намечены покуда немногими, весьма неясными чертами в уставе охранительного производства 1864 года. В ту пору предполагалось, что начала этого дела остаются прежние и что оно не требует новой организации. Но прежние начала, весьма неясные, были достаточны при действии прежних органов судебного производства и оказываются недостаточными для новых. Г. Закревский в статье своей (Журн. Гражд. права 1874 г., N 2) представляет и проект положений, которыми, по его мнению, надлежало бы дополнить действующее законодательство.
Вообще в суждениях об этом важном предмете высказываются два противоположные мнения. Одни смотрят на охранение наследств, как на меру, принимаемую по распоряжению власти, к интересу неизвестных лиц, могущих иметь право на наследство, и к охранению имущества от предполагаемых во всяком случае возможными расхищений. С этой точки зрения охранение признается желательным во всяком случае, хотя бы и со стеснением для частных лиц, лишь бы только обеспечить целость имущества. Мировой судья ставится в положение стража, от которого не должна укрыться ни одна смерть в его участке, дабы не упущено было немедленное принятие мер охранения. В таком виде, конечно, мера охранения прав утратила бы свое гражданское значение и превратилась бы в меру, стеснительную для частного права. Вред от охранения стал бы ощутительнее того вреда, который предполагается предупредить посредством охранения.
Гораздо основательнее и ближе к цели гражданского закона об охранении другое мнение. Цель закона об охранении, как и всякого гражданского закона, не может быть безусловная. Законодательство не может поставить себе целью охранение каких бы то ни было гражданских права по имуществу посредством надзора, опеки и принятия мер полицейских. Исполнение такой задачи превышало бы средства государственной власти, и по самому свойству дела было бы невыполнимо. Правительство может принимать в свое ведение и надзор имущества вовсе бесхозяйные; но если бы оно предположило распространить опеку на все имущества, при коих нет хозяина законного с законным титулом, то поставило бы себя в крайнее затруднение, а свободу частного владения стеснило бы чрезмерно и без основания. Посему и на закон охранения наследств надобно смотреть прежде всего, как на орудие, посредством коего частным интересованным лицам предоставляется охранять права свои. Затем могут быть случаи, в коих подлежащая власть (ныне власть мирового судьи) может и по усмотрению своему принимать меры к охранению наследства, и случаи эти должны быть связаны в законе с обстоятельствами, допускающими предположение о бесхозяйности имущества, или о том, что подлинный законный преемник его неизвестен. Притом само охранение не должно превышать потребной меры ограничения и стеснения. Цель закона состоит не в том, чтобы имущество было сохранено безусловно, но главным образом в том, чтобы оно не оставалось без ответственного хозяина, распорядителя или владельца, до тех пор, пока не выяснится личность законного и бесспорного в нем преемника по умершем.
Г) По делу Лисина (Касс. реш. 1868 г., N 602) Сенат признал, что по силе 1226 и 1239 ст. охранительные меры не всегда и не во всех случаях требуются. От усмотрения мирового судьи зависит, руководствуясь доказательствами, кои предъявлены от наличных наследников, если они устраняют всякое сомнение, что нет отсутствующих, и опасение, что интересы отсутствующих и неполноправных могут быть нарушены, принять или не принять законные меры к охранению целости наследства: Меры сии следует принимать только тогда, когда они вызываются законной действительной необходимостью. Ср. еще Касс. реш. 1869 г., N 1170.
Д) Принятие мер к охранению наследства, хотя и по заявлению полиции, зависит от усмотрения мир. судьи, по соображению с законом, указывающим, в каких случаях и при каких обстоятельствах охранительные меры требуются. Касс. реш. 1868 г., N 602. Когда имение, после умершего вотчинника, в силу завещания поступило в пожизненное владение вдовы, по описи, согласно 4 п. прилож. к ст. 116 Гр. Зак. (по изд. 1887 г., ст. 5331), то мировому судье нет основания принимать затем меры к охранению сего имущества в интересе законных наследников. Касс. реш. 1870 г., N 1251.
Е) Хотя охранение наследственного имения 1403 ст. Уст. Гражд. Суд. указывает производить одновременно с вызовом, но сие разумеется о тех случаях, в коих мировой судья признает по закону необходимым приступить к мерам охранения, но нет в законах такого правила, чтобы вызов невозможно было производить независимо от мер охранения, и могут быть случаи, в коих не представляется необходимости принимать меры к охранению наследства, принятого уже во владение наличных наследников и состоящего в их владении, но вызов оказывается нужным для утверждения их в правах, по предварительном оглашении об открывшемся наследстве. Касс. реш. 1871 г., N 421 и реш. Общ. Собр. 1870 г., N 10.
Ж) поскольку цель охранения наследственных имуществ есть сбережение их, то мировой судья может разрешить продажу описанного охранительным порядком имущества, когда оно, по свойству своему, подлежит порче. Касс. реш. 1869 г., N 649.
З) Право просить о признании прав на наследство в порядке охранительного производства не ограничивается истечением 6-месячного срока по вызове наследников. Касс. реш. 1869 г., N 15.
И) Когда в числе наследников есть малолетние, имение, при охранении, подлежит описи, хотя бы кроме их наследником состоял отец их, при коем они находятся. Касс. реш. 1871 г., N 151.
J) Вследствие открытия наследства действие некоторых прав умершего приостанавливается, пока не явится законный представитель личности умершего. Так останавливаются процессуальные права. См. Уст. Гр. Суд. 77, 681, 752, 959–961. Но в некоторых случаях дозволяется и до утверждения наследников просить назначения к оставшемуся имению опекуна, который и является представителем личности умершего на суде. Уст. Гражд. Суд. 751, 752, 959–961.
Состояние наследства со времени открытия оного, до явки и вступления наследника, возбуждает недоумение: на каких основаниях могут предъявлять иск к лицу умершего собственника сторонние лица, имеющие нужду осуществить права свои? Когда по смерти вотчинника нет налицо наследников и по вызовам вскоре наследники не явились, наследство не имеет прямого хозяина и представителя, и нет прямого закона о том, чтобы надлежало все имение брать в подобных случаях в ведомство опеки. Отсюда происходило бы крайнее неудобство для всех лиц, имеющих до умершего вотчинника дело по имуществу; но закон не лишает таковых лиц вовсе права на правосудие во время неизвестности о наследнике; напротив того, в 215 ст. Уст. Гр. постановлено, что иски к лицу умершего собственника, буде нет в виду признанных и вступивших во владение наследников, предъявляются суду, в ведомстве коего открылось наследство. Эта статья не указывает, однако, кто должен быть за умершего вотчинника представительным ответчиком по тому иску. Ответчиком должен быть опекун, если имение в опеке. Если же оно не поступило в опеку, то, по правилу, принятому в практике по издании нов. Уст. Суд., истец может обратиться в опеку с просьбой о назначении опекуна к открывшемуся наследству, и затем назначенный опекун является в суде ответчиком по его иску. Иного способа нет; однако же очевидно, что опекун не может в сих случаях быть безусловным представителем личности умершего по иску, на сего последнего предъявленному, и со стороны опекуна, отвечающего на суде, возможны как злоупотребления, так и упущения, которые впоследствии могут послужить поводом к восстановлению процессуальных прав для законного наследника. Напр., когда назначенный к имению опекун признал претензию, предъявленную на умершего, или допустил на суде до присуждения иска, то явившийся впоследствии наследник может просить, в качестве третьего лица, о восстановлении производства или может привлечь к ответственности опекуна, когда сей последний по небрежению своему упустил представить имевшиеся в делах умершего доказательства против иска (ср. Касс. реш. 1869 г., N 883).
К) Как поступить, когда в охранительном порядке предъявлено несколько противоречивых требований об утверждении нескольких лиц в правах наследства на одно и то же имение? В старом порядке суду возможно было, усмотрев спор, непосредственно, у себя же в производстве обратить дело от бесспорного порядка к спорному (ст. 390, 393 Зак. Суд. Гражд.). В новом порядке это невозможно, ибо для начатия тяжебного дела требуется непременно подача на сей конец особого искового прошения, нарочитое заявление иска. Посему на практике в подобных случаях суд закрывает у себя охранительное производство, предоставляя тяжущимся заявить права спорным судебным порядком.
Но здесь возникает новое затруднение. Во всяком иске предполагается ответчик. Кто должен считаться ответчиком в иске о наследстве? Ответ с первого взгляда ясный: в исках вотчинных об имении требование обращается к тому, у кого во владении состоит имение, ибо по существу вотчинного права имущество добывается от всякого лица, у кого оно находится. Не может быть недоумения, когда наследственное имение по смерти вотчинника поступило уже в чье-либо владение на частном праве: очевидно, что к лицу владельца и иск должен быть предъявлен, хотя подсудность дел сего рода определяется вотчинным началом, т.е. по месту открытия наследства (215, 1401 ст. Уст. Гр. Суд.). Но если имение не поступило еще ни в чье владение, а находится в состоянии открывшегося наследства, под управлением опекуна, – кто должен считаться ответчиком по иску о наследстве? Такой случай был в деле Варгунова (Касс. реш. 1870 г.). Суд, усмотрев в охранительном производстве, что к наследству явилось несколько претендентов, не утвердил ни одного из них в охранительном порядке и отослал всех к тяжебному производству. Но один только из них заявил права свои исковым порядком, означив ответчиком опекуна, определенного к наследственному имению; прочие же лица, заявившие себя в охранительном производстве, не заявили прав своих в порядке исковом. В таких обстоятельствах истцу некого и означить ответчиком, разве опекуна, в ведении коего состоит имение, ибо охранительный порядок для него закрыт, а в исковом порядке нет в виду ни наследников владельцев, ни наследников претендентов. Суд может признать опекуна стороной и постановить решение о праве истца; если же другие претенденты явятся во время производства, то каждый из них в свою очередь станет друг против друга истцом и ответчиком: таково свойство всякого совместного иска об одном и том же имении (иски смешанные). Во всяком случае имеющее последовать в суде решение о наследственных правах будет иметь лишь условное значение, доколе остается еще законная возможность явиться еще новому наследнику на то же имение и заявить свое исключительное или совместное с прочими право.
Необходимо ли утверждение в правах наследства? Наше законодательство не знает (существующего, напр., во французском праве) юридического различия между прямыми, или сущими, и непрямыми наследниками, и у нас нет основания сказать о них, что такой-то сам собой вступает в наследство, а такой-то требует признания и утверждения. Без сомнения, есть по самому существу дела отличие, напр., между родным сыном, единственным наследником, который жил при отце и в минуту смерти при нем находится, и между внучатым племянником, который является к наследству со стороны, узнав о смерти родственника, может быть и невиданного при жизни: первого нечего и спрашивать, кто он такой, а последнему не миновать этого вопроса. Но это различие фактическое, а не юридическое; в юридическом смысле его не существует. Как для наличного наследника, так и для многих других лиц, коих интересы связаны с его вступлением, необходимо, чтобы он вступал в наследство не безгласно и не безъявочно, а с государственной точки зрения – наследственный переход имения важнее всякого иного перехода прав собственности; следовательно, интерес порядка общественного требует, чтобы всякий, подходящий к наследству, как известный наследник, назвал свое имя и оправдал его. Так разумела всегда о наследстве наша старая практика. Без сомнения, во многих случаях дети и ближние родственники умершего, буде находились при нем в минуту смерти, вступали в наследство сами собой, и оно оставалось за ними без особого утверждения, в отсутствии спора, хотя в случае спора оказывались всегда невыгоды такого безъявочного вступления; но судебная практика держалась всегда той мысли, что наследники должны быть признаны и утверждены судебным местом67. Это утверждение совершалось судом в порядке бесспорного (что ныне названо охранительным) производства. Наследство, по открытии, поступало в ведение подлежащего суда, в который предполагаемые наследники обращались с просьбой об утверждении, предъявляя документы о своем качестве (метрическое свидетельство, родословную и т.п.), необходимые для того, чтобы оправдать свое имя наследничье, и дело суда состояло только в удостоверении права, буде притом не заявлено было спора другим лицом от своего имени в правах на то же имение. По издании нового Уст. Суд. Гр. в IV книге (Суд. охранительное ст. 1408) сказано: явившиеся по вызовам наследники умершего, если они считают необходимым обратиться для определения прав их на наследство к содействию суда, заявляют о том суду.
А) Истолковывая эту статью, Касс. Деп. Сената (1867 г., N 177 и N 75) признал, что поколику суд обязан принимать меры к охранению наследства, потолику участвует и в утверждении наследников. После принятия мировым судьей охранительных мер по открывшемуся наследству, оно может быть передано явившимся наследникам не иначе как по постановлению подлежащего суда, который при сем «не входит в рассмотрение законности прав, а признает только в порядке бесспорном право наследства на охраненное имущество. Такое признание или определение наследственных прав представляется необходимым для того, чтобы существовал судебный акт, и в предупреждение неправильных распоряжений относительно передачи имущества сторонним лицам, не имеющим прав на оное». Здесь же признано, что ведомство сих дел распределяется между мировыми судьями и окружными судами по началу оценочной подсудности, в силу 1 п. 29 и 202 ст. Уст. Гражд. Суд. См. еще 215, 216 ст.
В означенном решении признано, стало быть, что нужно просить об утверждении в правах наследства, хотя бы и не было спора о наследстве. Однако в других решениях (1867 г., N 384) Сенат признает, что «доколе нет в виду спора о наследстве, законы не устанавливают обязательного утверждения в правах наследства». По другим делам было признаваемо, что когда в составе наследства есть недвижимое имущество, то утверждение в оном никак не подлежит ведомству мирового суда. Касс. реш. 1868 г., N 238.
Б) По делу Лубы (Сб. Сен. реш. т. I, N 300) признано, что непосредственное вступление во владение наследственным имением относится токмо до наследников, находящихся налицо при открытии наследства и коих право сомнению не подлежит; но кто явился после 6-месячного срока, установленного для передачи имения наличным наследникам, тот должен надлежащим образом доказать наследственные права свои.
Это воззрение на предмет слишком обременительно для бесспорных наследников и переходит меру требования закона. Дело представляется всего проще, кажется, в таком виде. Наследники прямые и наличные, т.е. бывшие при умершем, жившие в дому его (напр., сын, дочь и т.п.), имеют и фактическую и законную возможность вступить прямо, бесспорно и без формальностей, в наследственное после него преемство. Наследнику, хотя и не жившему в доме, но наличному (т.е. живущему в том же городе, уезде и пр.), труднее это непосредственное вступление, особливо когда он неизвестен или малоизвестен в дому, но нельзя сказать, чтобы и для него такое вступление было невозможно, если он прямой наследник, является вслед за смертью и не встречает противодействия или спора. Но когда человек умер и наследников никого нет налицо, положение являющегося впоследствии по вызову лица делается затруднительнее. Он становится претендентом на наследство, ввиду образовавшегося уже управления наследств. имуществом. Иск о наследстве нет надобности предъявлять, ибо не к кому еще предъявлять его: достаточно заявить права свои в бесспорном (или, по новому языку нашему, в охранительном) порядке и просить утверждения в правах и о вводе во владение. В таком положении будет наследник, явившийся до истечения 6-месячного срока; но нет повода отягощать это положение и для того, кто явился и по истечении сего срока, если все таки он явился первым, и никто другой прежде того не вступил во владение наследством и не был утвержден в правах. 6-месячному сроку закон совсем не придает того значения, что впереди его возможно, а позади невозможно бесспорное производство. В пределах ли сего срока или по истечении его, – все равно, кто явился не первым, но явившись, застал уже имение во владении другого наследника, принужден обращаться к лицу, состоящему во владении, с тем, чтобы или вытеснить его вовсе или разделить с ним владение. Требуется ли, чтобы это обращение совершалось не иначе как в форме иска? Думаю, что совсем не требуется.
Закон вовсе не предполагает, что во всех подобных случаях дело имеет вид спорного. Может вовсе и не быть спора. Являющемуся вновь наследнику есть полная возможность или вступить во владение непосредственно и даже безъявочно, с согласия того лица, кого он уже застает в наследстве и в наличном владении, или просить об утверждении в наследстве бесспорным порядком, указав суду на вступившего уже во владение наследника, если не предвидит противоречия с его стороны. Суду же в таком случае надлежит предъявить эту просьбу наличному владельцу наследства и, буде с его стороны нет противоречия, приступить к поверке прав просителя (т.е. к удостоверению в родственной его связи с умершим), в бесспорном порядке, и бесспорно же припустить его к наследству в мере, не отрицаемой наличным наследником. Суд имеет законный повод отказать просителю в бесспорном утверждении в таком только случае, когда окажется противоречие со стороны владельца.
Когда при самом открытии наследства приняты были меры охранения по усмотрению мирового судьи, возможность непосредственного фактического вступления в наследство устраняется, но из сего не следует, чтобы наследник мог вступить в наследство не иначе как по судебному приговору. Мировой судья может, без дальнейшего производства об удостоверении прав, сам передать наследство явившемуся лицу, если лично не сомневается в правах его на наследство (ср. Касс. реш. 1872 г., N 277); если же сомневается, то может требовать от него удостоверения о праве, т.е. постановления подлежащей судебной власти, хотя и в бесспорном порядке, об утверждении в правах наследства, и когда такое удостоверение представлено, не вправе отказать просителю.
В Кассацион. реш. 1869 г., N 15 и 1876 г., N 483 Сенат растолковал, что, по истечении 6-месячного срока, нет надобности явившимся наследникам просить непременно тяжебным порядком об утверждении в правах наследства, а могут они, буде нет спора, просить о сем и в порядке охранительном. По делу Щерской (Касс. реш. 1870 г., N673) Сенат признал, что в законах нет правила о том, что никто не может вступить в пользование наследственными правами без судебного приговора, а напротив того, допускается возможность принятия наследства непосредственным вступлением во владение и пользование имением (ст. 1254, 1261 Зак. Гражд.); из сего Сенат вывел, что нет надобности требовать от лиц, ищущих по наследственному праву, при самом предъявлении иска, удостоверения в том, что они утверждены наследниками; в случае же спора об их наследственном праве спор сей разрешается судебным приговором.
Правило это, кажется, вполне основательно. Лицо, именующее себя наследником и не признаваемое за наследника теми, против кого предъявляет свою претензию, основанную на наследственном праве, обязано удостоверить это право, но нет основания требовать, чтобы это удостоверение заявлено было в виде бесспорном, т.е. в виде приговора, уже состоявшегося по предшествовавшему спору. Требовать этого от истца значило бы произвольно отдалять начатие иска к выгоде ответчика, которой закон ему не предоставляет (ср. Уст. Гражд. Суд.. ст. 571), и к стеснению истца, которого не полагает закон. Вопрос о праве на иск по наследству, подвергаемом сомнению, ничем не отличается от других, так называемых предварительных (praejudicialis) вопросов, могущих возникнуть в деле и разрешаемых в нем совокупно с прочими, следовательно, нет повода требовать и для вопроса о наследственном праве отдельного разрешения, особливо в новом порядке судопроизводства, в коем не положено различия между исковыми и вотчинными делами.
В) В 1867 году Лев Маслеников просил уездный суд, по истребовании от брата его документов на принадлежавшие родителям их дом и землю, сделать этому имению раздел по законам. Уездный суд по сей просьбе стал требовать от просителя в бесспорном порядке доказательств о правах на наследство и затем, не удовлетворившись представленными им документами, положил отказать ему в правах на наследство. Эти рассуждения Сенат (4 Деп. 16 сент. 1870 г.) признал правильными едва ли основательно. При предполагаемой бесспорности общего владения наследственным имуществом, суду надлежало бы предъявить просьбу Масленикова его сонаследникам-совладельцам и затем только, если бы права на наследство оказались спорными, обратить дело к спорному производству, в коем и потребовались бы доказательства наследственных прав.
Г) Права на открывшееся наследство должны быть разрешаемы на основании тех законов, кои действовали во время открытия наследства. На сем основании Сенат признал, что Мария Шамшиева, вышедшая замуж при действии законов царя Вахтанга (по коим дочь, получившая приданое при жизни отца, не участвует по смерти его в наследстве с братьями), должна участвовать, по русским законам, в наследстве после отца, открывшемся тогда, когда законы царя Вахтанга заменены русскими законами. См. реш. Общ. Собр. Сен. 1841 г. по делу Свирских и 1861 г. по делу Кащиевой – Сборн. Сен. реш. N 75 и 685 и реш. Касс. Деп. по д. Шамшиевой 1869 г., N 1241.
Д) В иске о наследстве не требуется представления доказательств о том, в чем именно заключается и на какую сумму простирается отыскиваемое наследство. Так рассудил Государственный Совет (Высоч. утвержд. Мнен. 30 июля 1862 г.) по делу Стрелковой в таких обстоятельствах. В 1834 г. умер Жданов, оставив 4 сыновей и дочь Стрелкову, которая умерла в следующем году, оставив 3 детей. Сыновья Жданова приняли его имение, а в 1852 году дети Стрелковой предъявили иск о следующей им части Ждановского наследства в степени матери, утверждая, что всего причитается им около 60.000 рублей. Сенат отказал им, признав, что они не доказали суммы своего требования, но Государственный Совет признал сии доказательства ненужными и, согласно с Палатой, предоставил произвести учет наследственной доли их при разделе наследства.
Е) Утверждение в наследстве порядком охранительного производства есть бесспорное. Из этого не следует, однако, что суд, по поводу просьбы об утверждении в правах, не должен входить в рассмотрение сих прав. Он не должен сам возбуждать спорные вопросы, касающиеся до интересов другого лица, не явившегося к делу и не состоящего в пререкании с просителем. Но требование самого просителя основано непременно на законном отношении к умершему вотчиннику, из коего проситель выводит свое право наследовать после него в известном имении. В пределах этой законной формулы требования суд имеет право и обязан произвести юридическую и фактическую поверку требования. Был такой случай. По смерти князей Кугушевых, троюродные их братья, тоже князья Кугушевы, предъявили права свои на наследство в бесспорном порядке. Окружной суд разобрал, что наследство состоит из родовых имений умершего, дошедших к нему от матери, а просители принадлежат к роду отца, и потому отказал просителям. Они жаловались и объясняли, что утверждением в правах наследства подтверждается только добросовестное владение, но не признается материальное право собственности на наследственное имение, и потому суд в охранительном порядке не должен требовать доказательств, необходимых для разъяснения права собственности. Жалоба эта оставлена без последствий Сенатом (Касс. реш. 1872 г., N 1288).
По делу графов Капнистов о наследстве после жены генерал-майора Софьи Скалон, урожденной графини Капнист, возник и разрешен Гражд. Касс. Деп. в утвердительном смысле вопрос: может ли наследник, просивший об утверждении его в правах наследства в известной доле и, согласно такой просьбы, утвержденный в охранительном порядке, требовать затем в порядке исковом увеличения означенной доли до законного размера (Касс. реш. 1893 г., N 4).
Ж) О подсудности по делам об охранении наследства и об утверждении в правах см. мою книгу Судебное руководство NN 124, 1490–1498, 1515.
С истечением 6-месячного срока не теряют своего права наследники, не успевшие явиться. Они сохраняют право иска о наследстве в течение общей земской давности (1241, 1244, 1246, 692); но тогда уже надлежит им приступать к владению других лиц, буде успели другие прежде них явиться и получить имение. В законе не объяснено положительно, с какого времени исчисляется 10-летний срок: обыкновенно принимается началом сего срока последнее припечатание в Сенатских ведомостях о вызове наследников. Но эта формальность едва ли имеет безусловное значение: публикация делается для оглашения смерти и открывшегося наследства, но если она не была учинена своевременно (нередко случалось, что публикации и вовсе не было), то отсутствием публикации едва ли могут оправдываться в пропущении давности такие лица, кому и без публикации было известно об открывшемся наследстве. Так, напр., если сестра вместе с братом, находясь при смерти отца, оставляла после того брата в исключительном владении отцовским имуществом, и не доказано, чтобы она участвовала сама в сем владении, иск ее о наследстве брат может отвергнуть по истечении давности. Разумеется, что давность имеет погашающее действие только на те права наследников, которые оставались в безгласности и без осуществления. И как, по нашему закону, утверждение в правах на наследство не требуется безусловно, и вступление само собой совершается, то и нет основания ставить наследникам в вину и подчинять какому бы то ни было действию давности неявку их по вызову и незаявление прав, если они сами собой вступили уже, как наследники, во владение наследственным имуществом и оставались в сем владении (ср. Касс. реш. 1873 г., N 645, 1880 г., N 101, 1885 г., N 1).
В Касс. реш. 1877 г., N 81 высказано, как общее положение, что давностный срок исчисляется со дня публикации, если же публикации произведено не было, то со дня открытия наследства. Затем в решениях 1877 г., N 265 и 1879 г., N 333 Сенат признал, что публикация делается только для отсутствующих наследников, поэтому только для них срок давности исчисляется со дня публикации, а для наличных наследников погасительная давность исчисляется со дня открытия наследства. По мнению Сената, для всех вообще, знавших об открытии наследства ранее публикации, она не имеет значения при исчислении давностного срока.
Особые правила о сроке для принятия наследства (1 год) после чиновников учебного ведомства; после умерших в больницах и богадельнях, а также других сего рода учреждениях см. в ст. 1251, 1253 Зак. Гражд.
Может возникнуть вопрос: следует ли, при утверждении в правах наследства охранительным порядком, возбуждать, по усмотрению суда, вопрос о давности, коего, как известно, в тяжебном порядке суд сам собой не возбуждает (706 ст. Уст. Гражд. Суд.). Думаю, что не следует, ибо вопрос о давности, т.е. о погашении права на иск, относится к отрицательной стороне всякого процесса и составляет принадлежность возражения, которое заявляется и доказывается ответствующей стороной; разве бы при самом заявлении иска сам истец включил в его форму вопрос о давности так: я имею право и не утратил его давностью, потому-то и потому-то. Итак, если бы просьба об утверждении в наследстве заявлена была безусловно и по истечении 10 лет со времени вызова наследников, мировому суду не следует обращать внимания на давность. Возбуждать вопрос о ней – дело того, кто явится спорщиком против претендента на наследство и заявит свои права на оное, за утратой претендентом наследственных прав (таким спорщиком может явиться казна, по выморочному праву).
Право на наследство, само по себе безусловное, погашается только безусловным сроком давности. Все прочие сроки для явки к получению наследства, к разделу, разверстке и пр. имеют только условное и частное значение. На практике возникали недоумения об этом предмете по следующему поводу. Правилами 7 дек. 1867 г. о конфискации постановлено, что из имений, состоящих в общем владении у преступника с другими совладельцами, не причастными к преступлению, выделяется в казну лишь часть, принадлежащая преступнику. Для сего производится от суда публикация с вызовом соучастников с тем, чтобы они в течение 6 месяцев заявили суду о своем праве на участие, с доказательствами, с предварением, что по истечении сего срока назначение в казну из общего имения части последует по разверстке с теми только соучастниками, которые заявят о своих правах в срок. Из этих слов закона судебные места западного края, под влиянием фискальных требований, стали выводить такое заключение, что неявившиеся в срок участники решительно теряют права свои на имение, хотя бы и состоявшее в их владении, в пользу казны. В этом смысле состоялось уже немало решений, коими отняты вотчинные права у сонаследников, не явившихся по вызову для раздела с казной в степени одного из наследников, подлежавшего конфискации. Очевидно, что такой вывод мог происходить только от смешения понятий о наследстве с понятием о разделе и разверстке общего владения. Ныне, к счастью, истинный смысл закона восстановлен решениями 2-го Общего Собр. Сената (напр., по д. Володковского, по д. Абрамовича, 1871 года), коими признано, что пропущение 6-месячного срока лишает неявившихся только права на участие в производстве раздела с казной, который совершается, не ожидая их, безостановочно, но нисколько не лишает их вотчинного права на имение и не ведет к обращению в казну принадлежащей им собственности.
По утверждении в правах наследства определение о том суда, или выдаваемое судом свидетельство об утверждении, предъявляется куда следует (709 ст. Зак. Гр. 1424 ст. Уст. Гр. Суд.) для ввода во владение. Несовершение этого обряда не препятствует вступить в действительное владение наследственным имуществом, но без ввода могут встретиться владельцу затруднения при совершении актов на имущество. Утверждение в правах наследства не составляет в прямом смысле юридической необходимости. Но оно становится необходимым по невыгодному положению, в котором поставлен практикой Нотариального Положения преемник имения, когда нет у него официального документа о вводе во владение. Нынешние нотариусы, основываясь на 167 и 168 ст. Нотариального Положения, требуют решительно вводного листа от лиц, совершающих акты отчуждения на имение, и без ввода не совершают актов, как бы ни являлось бесспорно наличное владение. Посему старые и бесспорные владельцы наследственных имений преимущественно поставлены ныне в затруднительное положение для совершения актов. Им приходится, иногда после продолжительного владения наследственным имением, просить об утверждении в правах наследства и о вводе во владение. О совершении ввода и переходе права собственности производится публикация в ведомостях (см. 1296 ст. Зак. Гр. и статьи о вводе в 1-м томе сей книги). Ввод вообще важен тем, что служит основанием и доказательством законного владения, и потому во всяком случае выгодно иметь это основание и доказательство в своих руках.
Капитал, принадлежавший умершему по записке в государственную долговую книгу, переводится на каждого из его наследников, сообразно условиям займа и наследственной доле каждого, с сохранением правила о нераздробимости капиталов на участки менее 30 рублей. Уст. Кред. изд. 1893 г., разд. II, ст. 91, 112.
В Касс. реш. 1872 г., N 277 изъяснено, что «ввод во владение не требуется законом для вступления в наследство недвижимым имением, ибо ввод (707 ст. Зак. Гражд.) есть средство укрепления права собственности на имущество, а владеть и пользоваться имуществами закон не запрещает и без окончательного укрепления права собственности на оные; такое укрепление необходимо только для приобретения собственником доказательства исключительного, против других лиц, права его на недвижимость, что совсем не необходимо для вступления во владение наследника, о правах коего нет сомнения». Из сего следует, что мировой судья (по взятии имущества в охранение), имея несомнительное удостоверение о правах претендента на наследство, не вправе еще затем отказывать ему в передаче имущества и требовать от него представления исполнительного листа о вводе во владение.
Дело Котельниковых, по которому состоялось вышеуказанное решение, представляет поучительный пример смешения понятий. Умерший в 1857 году вотчинник оставил завещание. Оно было оспорено, в 1867 г. признано недействительным. Затем сделан вызов наследников, и наследство взято в охранение. Явились наследники в бесспорном порядке, и окружной суд утвердил их в наследстве. Этого казалось бы и достаточно: наследники имели бы возможность, на основании этого бесспорного удостоверения прав, вступить в наследство и без формального ввода во владение. Но окружной суд, утвердив их, вместе с тем отказал им во вводе, во-1-х, по случаю оказавшегося на доме запрещения, которое было наложено по случаю спора на завещание, уже оконченного (в этом уже выражается смешение понятий, ибо сила запрещения простирается на акты отчуждения, а не на законный переход по наследству); во-2-х, по недостаточности представленного просителями акта укрепления дома за умершим вотчинником (опять смешение понятий, ибо поверка бесспорных прав умершего вотчинника на его имущество, по поводу наследственного перехода к его наследникам, вовсе не входит в обязанность суда). Затем, когда наследники с таким постановлением окружного суда обратились к мировому судье для передачи им имения, мировой судья отказал им в том за непредставлением исполнит. листа о вводе и (прибавил еще новую причину) за непредставлением раздельного акта! Очевидно, что нет ни малейшего резона требовать раздела имения между сонаследниками прежде передачи им наследства, когда закон дозволяет им владеть наследством вообще, без раздела. Довольно путаницы, но когда наследники обратились с жалобой на судью Съезду, Съезд, отказав им, прибавил еще, к умножению путаницы, новое соображение и распоряжение. Усмотрев, что судья упомянул о разделе и заключив, что без предъявления акта о разделе судья не мог выделить никому никакой части, Съезд предписал применить к делу 1317 ст. Зак. Гр., то есть взять имение за нераздел в опеку!
Утвержденные наследники, быв введены во владение имением, должны уступить место другим, если другие впоследствии явятся и докажут ближайшее свое право, основанное на законе кровного наследства или на завещании, дотоле бывшем в неизвестности. Но наследники, по закону, не отвечают в сем случае наследникам по завещанию ни в доходах, ни в управлении имуществом, доколе спор не был им предъявлен; напротив еще, прежний владелец имеет право требовать от нового владельца вознаграждения за улучшения в имении. Заложенное и проданное до открытия спора не поворачивается; только цена продажи или заклада возмещается, без процентов (Зак. Гр. 1300–1302).
По делу Кутузова (Сб. Сен. реш. т. I, N 261) наследники его, не просившие 30 лет о вводе во владение наследственным имением, признаны не утратившими давностью наследственного права, ибо не было своевременно сделано публикации о вызове наследников; при сем Сенат находил, что и до 1827 года прежними законами, начиная с инструкции Канцелярии конфискации 1730 года, предписывалось непременно вызывать наследников. Но в деле Терентьевой (там же N 404), где на сем же возражении основывалось оправдание претендентов на наследство, в пропуске давности, возражение это отвергнуто, так как в настоящем случае все наследники находились налицо при открытии наследства и разделили между собой имение миролюбно, следовательно, нельзя возражать, что надлежало произвести вызов.
В деле Болычева (Сб. Сен. реш. т. I, N 706) Вульф, наследник Осиповой, вступив во владение наследством, по предъявлении претензии Болычева к Осиповой, не оспаривая оной, уклонялся от удовлетворения и ссылался на то, что наследники Осиповой не все налицо, что до открытия всех долгов ее нельзя судить, не состоит ли еще кому должной, а до предъявления оных всем наследникам нельзя приступать к удовлетворению. Сенат отверг сии возражения, приняв на вил, что о вызове наследников, должников и кредиторов Осиповой учинена публикация, и уже минули сроки, по 1241 ст. 1 ч. Х т. 6-месячный для явки наследников и по 1007 ст. Зак. Суд. Гражд. (по изд. 1893 г., ст. 504) 9-месячный для явки кредиторов. Таким образом, публикации об открытии наследства Сенат придал одно значение с публикацией о вызове кредиторов в случае несостоятельности неторговой: едва ли справедливо и основательно.
Открытие и принятие наследства после лиц, производивших торговлю, имеет свои особенности, установленные еще Банкротским Уставом 1800 года, в видах охранения интереса лиц, имевших дела с умершим. Для сего учреждается особое производство, которое начинается либо по указанию и просьбе кредиторов умершего, либо по обязательному для наследников заявлению с их стороны; цель сего производства – приведение в известность имущества и дел наследственных и установление наследственной ответственности отзывом о принятии наследства (Зак. Гражд., ст. 1238, прим. 1, прил., ст. 1–12).
Если кредиторы сомневаются после должника своего в положении его дел и имущества, остающегося без описи, и объявят в надлежащем суде количество своих исков, то по распоряжению суда в тот же день должна быть составлена при кредиторах опись наследственного имущества и произведено опечатание оного, а наследники и остальные кредиторы вызываются с назначением сроков на явку (3 мес., 9 мес., 18 мес.); буде наследники не явятся и дальше 9 мес., кредиторы его могут получать себе раздачу из наличных денег68. Явясь, наследники могут удовольствовать кредиторов или могут просить, чтобы дали им срок осмотреться. Тогда дается им сроку месяц и дозволяется видеть имение и долги при кредиторах. По рассмотрении всего, наследникам остается – либо принять наследство, с безусловной ответственностью, буде кредиторы им поверят, либо отречься; в последнем случае открывается несостоятельность наследственной массы (Зак. Гражд., ст. 1238, прим. 1, прил., ст. 1–5).
По смерти лица, торговавшего с кредитом от других, наличные его наследники обязаны не далее третьего дня, при полиции (или вне города – при свидетелях), учинить опись всему имуществу, а в течение месяца, осмотревшись в сем имуществе, должны дать отзыв полиции и подлежащему суду, принимают ли наследство, или отрекаются, или еще просят времени до дальнейших справок. По сему отзыву, а буде долги были оглашены, то и по первому объявлению о смерти, суд производит публикацию, согласно 1 ст. прил. к прим. 1 к ст. 1238 Зак. Гражд., опечатывает имущество и оставляет на руках у наследников, а буде они отрекутся или есть на них подозрение, отбирает в свой присмотр (ст. 7–9). Буде наличные наследники не исполнят вышеуказанной обязанности или умедлят, без законной причины, то обязаны, как сказано в 10 ст. «ответствовать наследственным и собственным имуществом во всех правильных исках на умершем». Эти слова, по редакции 10 ст., непонятны, ибо наследник во всяком случае несет не себе такую ответственность; но их изъясняет и дополняет текст цитаты, – 165 ст. 2 ч. Банкротск. Уст., где сказано: обязаны ответствовать: в той мере, как с упадшим поступать предписано, т.е. по закону несостоятельности69.
Правила эти, как видно, весьма неточные и неопределительные, вышли, можно сказать, из практического употребления и большей частью на практике не соблюдаются.
Особливые правила установлены еще (в 1835 году) на тот случай, когда по смерти хозяина или товарища коммерческого предприятия останутся малолетние или отсутствующие совершеннолетние наследники. В таком случае другой товарищ или главный конторщик обязаны, не далее третьего дня, известить суд о смерти и о положении дел и книг предприятия. Сообразно обстоятельствам, суд обязан прежде всего решить, надлежит ли предоставить безостановочное продолжение хода дел по предприятию или приступить к описи имущества для охранения интереса кредиторов и наследников; затем приступает к вызову наследников, и уже по явке производится между ними соглашение о продолжении дела или о разделе (Зак. Гражд., ст. 1238, прим. 1., прил., ст. 13–20).
Наследственное имение после лица, производившего торговлю, буде долги его очищены, а наследники не явились в срок, положенный ст. 1 прил. к прим. 1 к ст. 1238 Зак. Гражд., поступает в опеку, и по истечении окончательного 10-лет-него срока продается с публичного торга, с обращением вырученных денег в пользу заведений общественного призрения (Зак. Гражд., ст. 1238, прим. 1, прил., ст. 6). Впрочем, правило сие надобно, кажется, разуметь в самом тесном смысле (по сравнению с общим положением; см. Гражд. Зак. о выморочных имуществах городских обывателей) и прилагать исключительно к тем случаям, в коих были обстоятельства, предвиденные статьями 1–6 упомянутого приложения к ст. 1238.
А) Вызов наследников есть формальность, соблюдаемая по случаю открытия наследства. Наследство открывается смертью; следовательно, со смертью лица оказывается нужда в вызове. По силе ст. 12 прил. к прим. 1 к ст. 1238 Зак. Гражд., когда при самой смерти лица или впоследствии откроются законные признаки несостоятельности и она будет объявлена судом, тогда наследование места не имеет. Из сего выводят (см. решение по делу Андреева Ж. М. Ю. 1864 г., N 7), что «по смерти торгового лица вызов наследников не составляет общего правила, но самому суду, куда поступили на него иски, предоставлено или вызвать наследников, если нет признаков несостоятельности, или объявить его несостоятельным, причем наследование места не имеет». Едва ли основательно разрешать в столь безусловном смысле вопрос о вызове, ибо вызов есть только средство оглашения, оставляющее открытым вопрос о праве на наследство и осуществлении оного. Без сомнения, суд, ведающий дела умершего, может признать ненужным вызов наследников несостоятельного, но если бы кто, для ограждения прав своих, соединенных с кончиной умершего, пожелал произвесть вызов наследников несостоятельного, едва ли было бы законное основание отказать ему в том, – тем более, что по ходу дела о несостоятельности, первоначальное о ней предположение может еще подтвердиться, и за ликвидацией дел и имущества могут еще очиститься остатки, от получения коих нельзя устранить наследников.
Б) В решении Сената по делу Вончаковой (Касс. реш. 1870 г., N 244) сказано: как в 163 ст. Уст. Торг. (ст. 7 приложения к прим. 1 к ст. 1238 Зак. Гражд., изд. 1887 г.) указано, что от наследников требуется обстоятельное извещение, вступают ли они в полное наследство и платеж долгов за умершего, или сего платежа не приемлют навсегда, или до дальнейших справок, то законом сим несомненно устанавливается возможность и условного отречения от наследства.
§ 46. Принятие наследства. – Значение вызова кредиторов и некоторых публикаций. – Отзыв о принятии и действия, служащие признаком принятия
Наследники властны принять наследство или отказаться от оного (1155).
И то и другое есть действие воли – в первом случае положительное, в последнем отрицательное. Но не должно думать, что на этом действии воли основывается приобретение наследства: приобретение его возводится к минуте его открытия. Однако принятие наследства имеет весьма важные юридические последствия, ибо с принятием наследник безвозвратно вступает в представительство умершего по имуществу и теряет возможность отречься от наследства; следовательно, принятием наследства решительно определяются отношения наследника к наследству и ко всем третьим лицам, имеющим дела по имуществу с умершим вотчинником.
Принятие наследства, по нынешнему нашему закону, может быть только безусловное (ср. Касс. реш. 1878 г., N 243). Между таким принятием и отречением нет середины. Нашему закону неизвестна форма принятия наследства по описи, с юридическими ее последствиями. Оттого у нас наследнику во всяком случае необходимо, прежде принятия наследства, удостовериться в количестве лежащих на наследстве долгов, ибо сколько бы ни принял он, по количеству, имения, во всяком случае обязан будет отвечать безусловно за все долги и требования, какие только могут впоследствии открыться. Но такое удостоверение крайне затруднительно и в большей части случаев невозможно при существующей безгласности кредита. Иногда, с этой целью, печатаются от имени наследников публикации с вызовом всех кредиторов и должников умершего, дабы они огласили претензии и долги свои; но подобные публикации служат только частной мерой оглашения, не имея никакого юридического значения для сторонних лиц70, и, какие бы ни назначаемы были по сим публикациям сроки на явку кредиторов, они пропущением сих сроков ничего не теряют, а наследник не приобретает ничего.
Таким образом, наследнику невозможно сделать благовременно правильный учет долгов умершего; с другой стороны – часто невозможно для него учесть и количество и ценность наследственного имения, особливо если, как у нас нередко случается, сам умерший не вел в нем правильного хозяйства и учета, а закон не указывает возможности требовать, прежде принятия, подробной описи наследственному имению. Посему принятие наследства соединяется у нас во многих случаях с значительным риском.
А) Мнением Государственного Совета 1860 г. (2113 ст. Зак. Гражд.) установлено правило о вызове приемщиков и отдатчиков имущества по сохранным распискам в следующем смысле. Вообще полагается, что приемщик обязан возвратить принятое, покуда жив, несмотря ни на какую давность. Но когда он умер, наследники его, дабы предохранить свое право, обязаны, до вступления в наследство, в течение 6 месяцев со дня открытия оного, вызвать отдатчиков по распискам умершего вотчинника. Если они сего не учинили или, учинив, вступили в наследство до истечения сроков на явку по вызовам, то обязаны отвечать по предъявленным сохранным распискам. Отсюда следует, кажется, заключить, что буде наследники соблюли закон о вызове, то могут еще, в виду сохранных расписок, отказаться от принятия наследства; а кто по вызову не предъявит расписок в 6-месячный срок, тот теряет право на взыскание. Подобный же вызов – приемщику – обязаны учинить и наследники отдатчика на сохранение, оставшегося после себя сохранную расписку; буде не учинят, то лишаются права на иск по распискам, а учинившие вызов возобновляют давность сего иска от времени последнего вызова. См. Касс. реш. 1867 г. N 160; 1869 г., N 909, 1032. Решением Сената (Кассац. реш. 1869 г., N 832) признано, что вызов принявшего имущество на сохранение не имеет никакого значения для лица, которое без вызова само уже сознало свою обязанность возвращения имущества и приступило к исполнению оной.
Б) По смерти, или по лишении прав состояния казенного подрядчика, обязанности его по исполнению договора переходят на его наследников, буде они того пожелают. О сем наследники его (совокупно с залогодателями и поручителями) извещаются в подлежащем случае или непосредственно по месту жительства, или через публикацию в ведомостях, с тем, что в течение 4 месяцев могут просить об оставлении за ними подряда; в противном случае казна приступает к распоряжениям на счет залогов (Пол. Казенн. Подряд. ст. 194, 198).
В) По силе ст. 6 прил. к прим. 2 к ст. 420 Зак. Гражд. (ст. 290 Уст. Цензурн. изд. 1857 г.) те, коим автор завещал или уступил свое произведение, обязаны объявить о сем и удостоверить в течение первого года по смерти его, тогда они в отношении к сему произведению вступают во все права законных его наследников, а сии последние могут вызывать их к явке в положенные сроки так же, как других соучастников или кредиторов. Основываясь на сей статье, судебная палата признала, что все приобретатели авторского права должны, подобно наследникам, просить в суде об утверждении в правах своих, в означенный срок, по смерти передатчика автора. Такое рассуждение Сенат (Кассац. решен. 1869 г., N 178) признал неправильным и подтвердил, что в законе нет иного срока, кроме 10-летнего, коим преграждалось бы право иска о наследстве.
Когда принятие наследства есть акт обязательный, то из сего должно следовать, что к принятию (и, с другой стороны, к отречению) способны только лица, вполне способные к совершению гражданских актов и ко вступлению в обязательства. Посему за малолетних, безумных и умалишенных согласие или несогласие на принятие наследства изъявляется назначенными к ним опекунами (1257).
Наш закон не определяет, в какой форме должна быть выражена положительная воля о принятии наследства. Закон указывает на единственный признак принятия – на вступление наследника в личное владение и пользование имуществом. В 1261 ст. сказано: принятием наследства почитается, когда наследники ни отзыва о неплатеже долгов не учинили, ни доходов с имения умершего не сохранили, а владели и пользовались имуществом в личную себе прибыль. Закон этот сам по себе неясен и возбуждает следующие вопросы.
Возможно ли, независимо от вступления во владение имуществом, признать человека принявшим наследство в силу одного отзыва его или заявления, и с какого времени подобное заявление приобретает безвозвратную силу? В отсутствии точного законного определения по сему предмету, невозможно, кажется, допустить, чтобы одно неопределенное заявление наследника, хотя бы перед судом сделанное, по собственному его побуждению, обязывало его безвозвратно, если оно не подтверждено действием. Даже просьба явившегося наследника об утверждении его в наследстве сама по себе еще не служит безвозвратным актом принятия, доколе не состоится постановление суда об утверждении его в правах наследства. Отзыв о неплатеже долгов умершего, если сделан был вообще и по собственному побуждению наследника, также едва ли может быть признан за безвозвратное изъявление воли; разве бы он последовал по требованию самих кредиторов, желавших удостовериться в том, кто перед ними должен быть в ответе после умершего. Отзыв, данный отдельному кредитору о неплатеже долга, не выходит из пределов отдельного личного обязательства. Напротив того, если с отзывом соединяется вступление во владение, или и независимо от отзыва были со стороны наследника действия, доказывающие владение и пользование имуществом в личную себе прибыль, тогда принятие наследства несомнительно и безвозвратно. Закон говорит: в личную себе прибыль, и тем самым указывает на возможность удержания имущества в управлении и распоряжении с сохранением доходов, – независимо от принятия наследства. В таком положении может находиться, напр., сын умершего вотчинника, оставшийся в управлении имуществом: ему есть еще возможность отказаться от принятия наследства, хотя бы он управлял им некоторое время хозяйственно, лишь бы доказано было, что это было управление не на себя и не в личную себе прибыль. Разумеется, такое положение не может быть продолжительно, ибо интересованные лица всегда вправе потребовать от наследника положительного объявления о принятии наследства.
Какие действия показывают, что наследник владел и распоряжался в личную себе прибыль – это определяет суд в каждом данном случае. Кажется, что выражению «в личную прибыль» надобно придавать по возможности обширное значение, т.е. нет надобности требовать непременно удостоверения в том, что наследнику последовала действительная прибыль, которой он воспользовался. Достаточно удостоверения в том, что воля его в действии по имению направлена была к личной прибыли, что он действовал в свое имя, как хозяин и собственник. Иные действия, по свойству своему, соответствуют целям охранения и управления, не предполагая хозяйского самовластия и своекорыстия. Так, напр., если наследник требует содействия власти к охранению, к описи имущества и сам в том и другом участвует, защищает интересы имения в суде или у правительства, принимает поступающие платежи и доходы для сохранения их, отдает в наем хозяйственные оброчные статьи, даже если делает необходимые издержки на починку и на поддержание имущества и т.п., нет еще основания выводить из этих действий, что он принял наследство. Другие действия несовместны с качеством управления и с целями простого охранения, но требуют полной хозяйской воли собственника; в таком случае приходится либо признать в действии превышение власти, злой умысел, нарушение чужого права, либо признать в нем волю полного хозяина и сознание права собственности. Так, напр., если наследник отчуждает или закладывает имущество, распоряжается отдачей леса на вырубку, делает отсрочки должникам и т.п., такие действия не могут не возбуждать предположения о принятии наследства.
Итак, не устанавливая особой формы для отзыва о принятии наследства, наш закон определяет лишь общие признаки этого действия. Как скоро эти признаки есть, принятие совершается безвозвратно, т.е. лицу, принявшему наследство в смысле, указанном 1261 ст. Зак. Гражд., уже невозможно уничтожить силу принятия и уклониться от его последствий.
Решением Кассационного Департамента Сената 1867 г., N 384 признано, что «событие принятия наследства обусловливается не только вводом во владение, передачей имущества и пользованием оным в личную себе прибыль, но и исполнением обязательств, как лежащих на наследстве, так и установленных умершим владельцем, доколе они не противоречат законам: К этому убеждению приводит и то соображение, что законы наши не допускают условного принятия наследства до предварительного ознакомления с положением дел, а следовательно, принявшим наследство почитается не только тот, кто вступил во владение наследством и воспользовался его выгодами в личную себе прибыль, но и тот, кто приступил к действиям и распоряжениям, в качестве наследника, в отношении исполнения обязательств, лежащих на наследстве».
Итак, один отзыв о принятии наследства сам по себе не может служить безусловным признаком действительного принятия и сопряженной с оным ответственности. Этот отзыв есть юридическое действие, изъявление воли, обязывающее совершителя, поколику это действие отразилось на правах сторонних лиц (напр., кредиторов, имевших в виду таковой отзыв, других наследников и т.п.); в той мере, в какой от сего действия потерпели другие лица, совершитель действия и будет отвечать перед ними. Но все-таки сей отзыв, как выше изложено, не приобретает еще силы особливого юридического действия, с коим связано представление о безусловном переходе наследственных прав. Это была бы сила формальная, которую присваивают подобному отзыву иностранные законодательства, не допуская уже затем никаких возражений и доказательств о том, что подлинного вступления в наследство не было. Наш закон не присваивает подобному отзыву формальной силы; следовательно, не устраняет и после отзыва доказательств, что вступления в наследство не было.
Но если бы не только был таковой отзыв, а было бы и формальное прошение об утверждении в правах наследства и последовало бы само утверждение в правах от судебного места, – можно ли и после того допускать подобные доказательства? Думаю, что можно, но не во всех случаях. Лицо, утвержденное по своему ходатайству в правах наследства к оставшемуся после умершего имуществу, прямо предполагается наследником и ответственным лицом после умершего, следовательно, кредиторы умершего, представив такое доказательство наследственного перехода к известному лицу, не имеют надобности затем еще доказывать, что это лицо вступило в действительное обладание наследственным имением. Признанный и утвержденный наследник не вправе сложить с себя звание наследника и уклониться от наследственной ответственности на том основании, что он не вступил в действительное обладание наследственным имуществом и не может вступить, поскольку тем имуществом воспользовалось другое лицо или другие родственники умершего. Все-таки утвержденный будет считаться наследником, и в извинение ему не поставится, что он имения в действительности не получил, ибо, приняв наследственные права, он вместе с ними получил и право требовать имущество от всякого, у кого оно может находиться; от его воли зависит требовать или отказаться от требования, буде оно неудобно, но все-таки не может он отрицаться от принятого звания наследника и должен отвечать за долги умершего вотчинника. Но он имеет неоспоримое право требовать, чтобы другое лицо, тоже имеющее наследственные права, буде не предъявило их, а самовольно вступило в распоряжение имуществом умершего, также признано было наследником и ответственным за умершего лицом, наравне с утвержденным по своему заявлению наследником; а дотоле все-таки и сей последний обязан отвечать за долги умершего в бесспорной соразмерности. Если утвержденный наследник может доказать, что после умершего вовсе ничего не осталось и что просьба его об утверждении в наследстве к имуществу основана была на заблуждении, таковое возражение надлежит, кажется, допустить в виду 1259 и 1261 ст.; но если после умершего осталось какое-либо имущество, или если наследник хотя чем-либо по смерти его воспользовался, или если оставшееся имущество погибло, истребилось, расхищено от случайных событий, либо стороннего насилия и не досталось наследнику, – все таковые возражения не могут быть приняты (ср. дело Кононовой в Гражд. Кассац. Департ. 18 декабря 1869 г., N 1266. Еще Кассац. реш. 1868 г., N 768).
В Кассац. реш. 1869 г., N 501 и 1872 г., N 1249 Сенат, на основании 1259 и 1261 ст. З. Гр. и 1408 ст. Уст. Гр. Суд., разъяснил, что ответственность наследника за долги умершего нельзя ставить в зависимость от того, утвержден ли наследник в правах наследства или нет, а при обращении иска на наследников должника суд должен, по обстоятельствам дела, обсудить, действительно ли указанные наследники воспользовались имуществом умершего, и если суд придет к убеждению, что они владели и пользовались имуществом в личную себе прибыль, то на них должна быть возложена ответственность, хотя бы они и не были утверждены в правах наследства. Но в 1873 г. Кассац. решением 15 мая по делу Михнева Сенат признал наследника ответственным за долги, потому что он был формально утвержден в правах наследства и дал отзыв о принятии его, – несмотря на последующий его отзыв о том, что он не вступал во владение имением. Одно удержание наследственного имущества не служит признаком принятия наследства: необходимо доказать, что ответчик удерживал имущество и пользовался им в качестве наследника (1870 г., N 1583, 1872 г., N 493).
В деле Подгородинского Мин. Народн. Просвещ. привлекало его, как наследника, к ответственности за долги отца, указывая со стороны его на действия, служащие признаком принятия наследства. Именно, хотя он и не вступал прямо во владение имуществом и по достижении совершеннолетия формально отрекся от наследства, но, во-1-х, по смерти отца он, вместе с попечителем, жаловался на действия опекуна по отцовскому имению; во-2-х, вместе с опекуном отдал это имение в аренду постороннему лицу. Но ни в том, ни в другом действии Сенат (Общ. Собр. 1874 г.) не нашел признаков того, что сын пользовался имением в личную себе прибыль, ибо жалоба на опекуна относилась к попечению о целости имения, а в аренду было оно отдано с тем условием, чтобы арендная плата обращалась на удовлетворение казенных обязательств и недоимок, лежащих на имении.
К признакам принятия наследства не следует причислять получение родственником, напр. женой умершего, причитавшихся ему денег не в личную себе выгоду, как наследнику, но на удовлетворение потребности, сопряженной с личностью самого умершего, напр. на похороны его, лишь бы только возможно было доказать, что деньги получены и издержаны именно на сей предмет. Посему, напр., брат, просивший ранее похорон заслуженное жалованье умершего на похороны и получивший оное на сей предмет, не должен быть по сему признаваем принявшим наследство; но буде, похоронив его по усмотрению, испросил потом себе, как наследник, его жалованье, то не может отговариваться от наследничьей ответственности тем, что на похороны умершего издержал он больше, чем принял жалованья.
Если родственники умершего лица, по смерти его, приняли участие в тяжбе его с другими лицами, в качестве наследников, одно это обстоятельство, ввиду 1261 ст. Гражд. Зак., может ли быть сочтено признаком безмолвного принятия наследства? В прежнем порядке судопроизводства это обстоятельство положительно не могло служить таковым признаком, ибо в прежнем порядке ход дела и разъяснение оного зависели от усмотрения суда, не было правила о приостановлении производства смертью тяжущихся, и дела, со смертью той или другой стороны, обыкновенно не приостанавливаясь, а продолжали свое – нередко безгласное и медленное – течение, так что лицу, еще не заявившему себя наследником и не принявшему еще наследства, по необходимости доводилось иногда, ввиду возможности такового принятия и во избежание потери процессуального права, становиться на суд вместо умершего, отвечать на вызовы и вступать в защиту интересов наследства. Притом, как видно из вышеизложенного, наш закон предполагает возможность такого состояния, в коем родные умершего вступают в хозяйственное управление имением с целью сохранить и поддержать оное, не являя в себе наследников и не владея и не пользуясь в личную себе прибыль. (По делу Логвеновых и Муратова Сенат Общ. Собр. Моск. 1860 г. признал, что одно участие, принятое Логвеновыми в споре против иска Муратова на умершую сестру их, и наименование их в судебном решении по сему делу наследниками, не служит еще доказательством, что наследство после сестры ими принято, когда по делу видно, что наследственное имение оставалось в опеке без участия Логвеновых и без отзыва о принятии наследства. См. еще реш. Общ. Собр. Сен. 1870 г. по д. Панаиоти.) В новом порядке судопроизводства изменены процессуальные отношения наследников умершего к тяжебному делу. Со смертью тяжущегося производство тяжбы его приостанавливается само собой, по распоряжению суда, который выжидает возобновления производства от преемника стороны умершей (681, 687 ст. Уст. Гр. Суд.), по особой его просьбе, с которой необходимо соединяется легитимация, т.е. оправдание права на иск; следовательно, лицо, воспринимающее тяжбу после умершего (буде оно действует не в качестве опекуна), должно наименовать себя наследником и указать свой наследничий титул; вместе с тем, по условиям процесса, явившийся наследник действует в свое имя и принимает на себя с процессуальным правом и процессуальную ответственность – словом сказать, вступает во владение процессом в личную себе прибыль, следовательно, подходит под условия 1261 ст. Зак. Гражд. Ср. Касс. реш. 1875 г., N 927.
§ 47. Отречение от наследства. – Признаки и последствия отречения. – Потомки отрекшегося могут ли пользоваться правом представления? – Приращение наследственных частей. – Примеры и вопросы из практики
Отречение. Признаком отречения от наследства служит – или оставление в безгласности наследственного права, или положительное выражение воли. Кто по учиненным вызовам не явится к принятию наследства в положенные сроки, тот признается отрекшимся от наследства. Но и наследник, налицо состоящий, может (буде не вступил во владение и пользование) отречься от наследства положительным объявлением своей воли в надлежащем присутственном месте (1265, 1266 ст.).
Положительное отречение должно быть, по смыслу закона, прямое и ясное. Закон говорит, что оно делается в надлежащем присутственном месте, и надлежащим местом следует, конечно, считать тот суд, в ведомстве коего открылось наследство. Когда употреблено в законе такое выражение, возникает вопрос: какую же силу имеет подобное объявление, сделанное не в надлежащем месте? Слово законное не должно быть без значения и надлежит полагать, что в последнем случае наследник может, смотря по обстоятельствам дела, оспаривать свое отречение, тогда как в первом случае это не допускается. Без сомнения, есть существенная разница в ясности сознания и в полноте выражения воли – между отзывом об отречении, данным суду, в коем производится дело о наследстве, и между отзывом об отречении, данном в полиции против требования об уплате наследственного долга.
С другой стороны, и молчание наследника ведет к предположению об отречении только тогда, когда предположение несомнительно и молчание безусловно (2 п. 1265 ст.). Если один наследник молчит, не предъявляя прав своих, в то время когда другие наследники заявляют их положительным действием, – напр., спором против завещания умершего, такое молчание само по себе не считается отречением (ст. 1267).
Последствия отречения: во-1-х – для самого отрекшегося. Отклоняя от себя возможные выгоды наследства, он освобождается и от всех тягостей, на нем лежащих. Кто отрекся, тот не обязан платить долги, лежащие на наследстве (ст. 1268). Разумеется, отречение действует только в круге прав и обязанностей по имуществу (ст. 1104); от сего отречения, стало быть, не зависят прочие права, в силу рождения и родства переходящие, как то: право имени, чести, состояния и т.п.
Во-2-х – для самого наследства. Отрекшееся лицо исключается из числа наследников. Если отрекшийся был единственным наследником после умершего, т.е. если при нем не было никого другого, с кем бы надлежало считаться и делить наследственное имение, в таком случае наследство переходит в дальнейшую линию и степень, т.е. к тем лицам, которые, за выбытием отрекшегося, имеют ближайшее право наследовать. А когда за отрекшимся не оказывается вовсе кровных родственников, наследственное имение становится выморочным.
В лице отрекшегося потомки его могут ли пользоваться правом представления? Большей частью признается, что не могут. Говорят: представлять можно только лицо, умершее до открытия наследства; кто жив еще в эту минуту, того представлять нельзя, а отрекшийся не может и по аналогии быть уподоблен умершему; он только исключается из счета наследников. Вследствие того из права представления в том виде, как оно установлено во многих законодательствах, практика делает такой вывод, что представление не допускается в лице отрекшегося или неспособного к наследованию71. И у нас делают такой же вывод из буквального смысла 1123 ст. Но если нет наследства по праву представления, возможно ли быть наследником мимо сего права? У нас и на этот вопрос многие отвечают отрицательно. В других законодательствах (напр., во французском Code Civ. 743, 745) закон допускает возможность наследования нисходящих и боковых родственников или по праву представления, или в свое имя (de leur chef), и случается, что лицо, не могущее воспользоваться первым правом, наследует в силу последнего, от чего по тамошнему закону зависит немаловажное различие в дележе наследства и в учете наследственной доли. Но наш закон допускает наследование потомства в лице посредствующего члена лишь по праву представления (ср. ст. 1123, 1127, 1128, 1136), не связывая наследственного права с определенными степенями родства; следовательно, где право представления невозможно, там едва ли есть место наследственному праву по нашим законам. И потому, когда бы, напр., после умершего вотчинника остались сын с детьми, да дочь, выделенная при жизни родителя, и сын отказался бы от наследства, то оно пошло бы не к детям сына, а к дочери. Такого мнения многие держатся; но едва ли можно согласиться с ним, по ближайшему соображению сущности права представления. Не следует смешивать это право с наследственным. Нельзя наследовать в одно время после двух лиц в одном и том же имуществе. Наследство открывается в одном только лице, идет от одного только лица к известному наследнику, в силу непосредственного отношения между ним и умершим вотчинником. Ошибочно будет предполагать в сем отношении еще какое-либо посредствующее лицо, посредством коего должно усовершиться, вступить в полную силу непосредственное право. Внук, наследуя после деда, получает наследство не от отца своего, а от деда, в силу непосредственного отношения к деду, и в таком наследстве нет никакой нужды допускать неестественное предположение или вымысел, будто бы наследство идет сначала от деда к сыну его и уже через него к его сыну, т.е. к внуку. Хотя нельзя иметь внука, не имев сына, по природе, но это посредство необходимо лишь для передачи крови и для установления родства, а как скоро событие рождения совершилось и родство возникло, между дедом и внуком устанавливается непосредственное родственное отношение, следовательно, и непосредственное наследственное право от первого к последнему, буде при смерти первого сын его, а отец последнего, состоящий в ближайшей степени родства, не оказывается в живых, в противном случае он исключает своего сына.
Если так, то что же значит и в чем практически выражается право представления? Надо оговориться от недоразумения: право представления не есть самостоятельное, органическое право; это юридический термин, означающий одно из качеств наследственного перехода и раздела, но не корень наследственного права. Право представления возникло у Римлян, но в римском праве сам термин этот был неупотребителен, а сущность правила о представлении состояла в следующем. По общему положению, ближайшая степень в каждом классе наследства исключает дальнейшую, посему в строгом смысле дальнейшие степени не могли бы участвовать в наследстве наравне с ближайшими; напр., при живом сыне умершего вотчинника не участвовали бы в наследстве потомки умершего сына. Право представления давало таким потомкам возможность, в дележе наследства, заступать место своего родителя, умершего прежде открытия наследства, уравниваться именем его в ближайшую степень, и в таком случае они участвовали в наследстве поколенно и делили между собой поровну всю долю ближайшей степени, на место коей вступали. (В 4-м классе наследства право представления вовсе не допускалось.) Таким образом, сущность права представления состояла у Римлян и состоит повсюду в том, во-1-х, что близость степени теряет безусловное свое значение; во-2-х, что в разделе наследство дробится не по счету живых лиц, а по счету колен (in stirpes). Затем всякое противоположение собственного наследственного права с наследственным правом по представлению не имеет юридического основания72. По сим соображениям и употребленное в наших законах выражение: «наследуют по праву представления», следует по всей справедливости разуметь в том смысле, что представлением определяется не основное право, а образ наследования. Этот образ наследования надлежит ли устранять, заодно с правом наследования, во всех тех случаях, когда лицо, которое надлежало бы представлять, находясь в живых в минуту открытия наследства, оказывается или неспособным к наследованию (ср. Ул. о нак. 1566), или лишенным прав состояния, или отрекшимся от наследства. Думаю, что нет. Во всех этих случаях не оказывается в ближайшей степени лица, способного к принятию наследства, следовательно, вместо него могут вступить его потомки, не теряющие кровной через него связи с умершим вотчинником – по праву представления. Хотя закон ограничивает, по-видимому, право представления случаем смерти представляемого лица (1127: за смертью.. когда и сих в живых не находится, но едва ли справедливо будет придавать этому ограничению тесное, исключительное значение. Эти выражения: буде в живых не находятся, означают существенно невозможность самому лицу, к коему доходит наследство, лично им воспользоваться, отсутствие, выбытие из счета живых наследников сего лица; эта невозможность может быть физическая, но может быть и юридическая – последствия в том и другом случае одинаковы, ибо нет основательной причины к различию. Была бы причина, когда бы в праве представления предполагалось, что представляемый передает представителю свое право; тогда бы следовало признать, что неимеющий права сам и передать его не может; но здесь нет никакой передачи, а наследник по представлению наследует, как выше сказано, не после представляемого, а прямо после умершего вотчинника, в свое имя, хотя и с представлением; следовательно, представление (т.е. участию в наследстве по крови в степени родителя, не состоящего налицо) не препятствует то обстоятельство, что представляемый физически жив, но лишь юридически не существует для наследства. Словом сказать – физическая смерть не есть существенный момент в праве представления.
Представим себе, что после умершего вотчинника родной сын его оказывается лишенным прав состояния. Могут ли получить за него дети его наследство после деда, в силу представления? Если родной сын лишен отцом наследства по прав. 1566 ст. Улож о наказ., могут ли наследовать дети сего сына после деда своего? Если родному сыну (при детях) предоставлено отцом его по завещанию имение только в пожизненное владение, и прямого наследника не означено, – могут ли дети сего пожизненного владельца считаться прямыми наследниками после своего деда? (Ср. д. Курносовой в 1 Общ. Собр. Сен. 5 октября 1873 г.) Если родной сын отрекся от наследства после отца, могут ли дети сего сына наследовать после деда? Думаем, что могут во всех указанных случаях. В лице лишенного прав состояния разрушаются права семейственные, следовательно, и наследственные. Посему в отношениях семейственных и наследственных, коренящихся в прежнем состоянии осужденного, должны почитаться разрушенными права как самого осужденного, так и детей его, прижитых после осуждения; но для детей, прижитых до осуждения, права сии остаются неприкосновенными (Улож. о наказ. ст. 24, 27), что признано положительно и законом, 28 ст. Улож. о наказ. В лице лишенного наследства исключительно устраняется его личное наследственное право, но как вместе с тем не разрушаются семейственные права и отношения ни его, ни детей его, то наследственное право сих последних относительно деда остается неприкосновенным. Также и отрекшийся от наследства отрекается лично за себя, и даже власти не имеет отречься за детей своих (когда бы они ни родились – прежде или после отречения), следовательно, нельзя предположить, что в силу сего отречения устраняются кровные семейные отношения внуков к деду, и, стало быть, право их наследовать после деда. Внуков нельзя устранить от наследства после деда потому только, что они отреклись от наследства после отца, ибо всякое наследственное отношение есть единое отношение одного лица к одному же лицу, и наследство после отца не смешивается с наследством после деда. Также, с другой стороны, и по той же причине нет основания устранять внуков от наследства деда за тем только, что отец их от сего наследства отрекся. Юридич. Вестн. 1872 г., N 1.
Отречение от наследства есть только отрицательный акт воли. Его невозможно соединять с изъявлением положительной воли о том же имуществе. Отрекаясь, наследник вовсе и решительно устраняет свою волю от наследства; стало быть, он не вправе отрекаться в пользу того или другого лица или того или др. употребления. Так, Сенат признал в этом отношении недействительным отзыв, в коем наследник архим. Платона, отрекаясь от наследства, передал оное в распоряжение архиерея на богоугодные дела: этому отзыву присвоена только сила простого отречения (реш. 1 Общ. Собр. Сен. 1871 г.).
С отречением от наследства связан вопрос о так называемом приращении наследственных долей (Anwachsungsrecht, jus accrescendi). Об этом предмете нет никаких определений в нашем законодательства; но, имея в виду, с одной стороны, правило 1254 ст., что право на открывшееся наследство принадлежит наследникам с самой кончины владельца, а, с другой стороны, естественное действие отречения, т.е. исключение отрекшегося лица из счета наследников и из дележа, – необходимо признать, что доля отрекшегося, обращаясь в состав целого наследства, идет к приумножению доли других наследников, если они имеются. Но затем возникает другой вопрос: обращается ли она в общий состав наследства безразлично и идет в дележ между всеми или обращается в удел тех лиц, кои вместе с отрекшимся имели особое совокупное право. К решению этого вопроса надлежит заметить, что наше наследственное право вообще различает род и качество наследственных имений, а наследство делит по линиям (1121), чем уже определяется доля каждой линии. Итак, если имение, следовавшее отрекшемуся лицу, причиталось ему по исключительному праву его линии (напр., родовое, подлежавшее возврату в свой род, или благоприобретенное, следовавшее в род отца – ст. 1163), и в той же линии, за отречением, не осталось других наследников, то имение становится выморочным; если остались в той же линии другие, кому в отсутствии отрекшегося следовало бы имение, то доля его обращается к ним. Если отрекшийся должен был наследовать по праву представления совокупно с другими лицами в равной степени, то доля его обращается к ним исключительно, хотя бы у умершего вотчинника были еще другие наследники, лично за себя или по праву представления за другое лицо. Вообще руководящим правилом в настоящем случае может быть принято следующее положение: отречение служит в пользу того, кто при отрекшемся наследнике получил бы менее. Напр., если брату умершего приходилось бы делить наследство с тремя сыновьями другого брата, доля его оставалась бы все та же, сколько бы ни было племянников, следовательно, и с отречением одного из них он ничего не приобретает, а приобрести могут братья отрекшегося.
Отречение от наследства считалось безвозвратным в римском праве. Но, по французскому закону, отрекшийся от наследства может еще вернуть свое отречение, если между тем имение не принято другим наследником. Сверх того, отречение может быть уничтожено, если оно учинено во вред кредиторам наследника (Code C. 788, 799). Наш закон не упоминает о подобных случаях; следовательно, надлежит думать, что отречение, в установленной форме совершенное, безвозвратно, по крайней мере относительно тех лиц (другие наследники, казна), коими вследствие отречения приобретаются права на имение.
Примеры и вопросы из практики
А. Бегичев, объявив себя наследником к имению Маламы, после того подал в суд прошение о том, что не намерен воспользоваться оставшимся наследственным имением, но предоставляет оное в пожизненное владение вдове умершего племянника Маламы, а по смерти ее в пользу университета. Сенат признал, что Бегичев, однажды отказавшись положительно от права на наследство и тем самым устранив себя, не мог уже передавать сие право никому другому (Сб. Сен. реш. II, N 386). В практике Кассационного Департ. Сената отречение условное, в пользу других наследников, не допускается (1877 г., N 24, 1878 г., N 243).
Б. В отдельной записи отречение, хотя и несовершеннолетним сделанное, Государственный Совет признавал действительным, ибо запись писана не на продажу или заклад имения несовершеннолетних, а на выдел имущества в пользу их самих, причем родной отец, выдавший запись, заступал им место опекуна и попечителя (мнение Государственного Совета 1852 г. по делу Денисовых).
Отречение от наследства, сделанное несовершеннолетней без согласия попечителя, как заключающее в себе уступку прав, признано недействительным по реш. Моск. Общ.. Собр. 1856 г. по делу Гамалея.
В. По делу Красномилашевич (Сб. Сен. реш. т. I, N 38) Сенат признал действительным отречение от наследства по завещанию, выраженное в прошении Палате, по поводу явки завещания, в допросе пред Палатой, а домашнем условии, в объявлении заседателю по случаю ввода. А по делу Зевиной (там же N 278) Сенат нашел, что отречение производится по закону посредством объявления в надлежащем присутственном месте, но со стороны Зевиной (наследницы по завещанию) обряд сей не соблюден, а отказывалась она только от удовлетворения претензии Левина к завещателю, потому единственно, что имение, дошедшее к ней по наследству от мужа, употреблено на погашение числящихся на нем же взысканий, каковой отзыв не составляет отречения, облеченного в законную форму. Сравни еще Сб. Сен. реш. т. II, N 321.
Касс. реш. 1872 г., N 1014. Достаточным доказательством отречения от наследства принято нотариальное условие, в коем наследник сознает, что получил все, следовавшее ему, и что остальные части наследства принадлежат прочим наследникам.
Г. По смерти Льва Шаховского в 1831 г. учреждена была опека, а в 1849 г. сын его Владимир, еще в 1834 г. достигший совершеннолетия, объявил суду, что отказывается принять отцовское имение и платить долги его. Это отречение Сенат (Сб. Сен. реш. II, N 640) признал недействительным по следующим соображениям. Владимир Шаховской в 1832 г. писал к опекуну о принятии и сохранении отцовского наследства, в 1833 г. изъявил согласие на продажу наследственной движимости, в 1846 г. входил в распоряжение имением и брал из него лошадей. Уплата кредиторам производилась из движимости, а потом из продажи недвижимого имения, следовательно, доходы оного шли на наследников. Притом нельзя через 5 лет по пришествии в совершеннолетие отказываться от наследства, когда первым условием закона поставлено дать отзыв о долгах, и кредиторов нельзя заставить, чтобы ждали 15 лет такого отзыва от наследников. – Касс. реш. 1873 г., 30 мая N 783 признано, что после утверждения в правах и ввода во владение отзыв об отречении от наследства не имеет силы.
Д. По делу Рахманинова (реш. Моск. Общ. Собр. 1853 г.), к родовому материнскому его имению предъявили права Норовы и Казначеевы. На решение Гражданской Палаты, не признавшей сих прав, жаловались одни Норовы и утверждали в Сенате, что объявление удовольствия на решение и упущение жалобы со стороны Казначеевых равносильно отречению, следовательно, часть, Казначеевым подлежащая, должна следовать в силу приращения Норовым, по единству наследственного права. Но Сенат отверг такое рассуждение, признав, что отречение производится положительным о сем объявлением; а объявление удовольствия на решение судебного места о правах подтверждает силу сего решения.
Е. В решении 1 Общ. Собр. Сен. 15 апреля 1860 г. по делу Пастуховых выражено, что отречение от наследства, сделанное лицом, объявленным в несостоятельности, за силой публикации, лишающей должника распоряжения всем имуществом, могло быть действительно только в случае удовлетворения долгов его из собственного, принадлежащего ему имения. По тому же делу впоследствии Сенат рассудил, что лицо, считавшееся по решению низшей инстанции наследником после дяди, принявшее в сем звании капитал и пользовавшееся оным, не лишается права отказаться от наследства, когда после того решением высшего суда оно признано в сем капитале наследником не после дяди, а после отца. Журн. Мин. Юст. 1864 г., N 12.
Отречение от наследства лица, объявленного несостоятельным, не имеет решительной силы: оно действительно лишь потолику, поколику не нарушает права третьих лиц, т.е. кредиторов несостоятельного, на всю массу его имуществ. Итак, по просьбе кредиторов, такое отречение может быть признано недействительным. См. реш. Сен. (2 Отд. 3 Департ.) 27 марта 1873 г. по делу графа Комаровского, сл. в Общ. Собр. 7 июня 1874 г.
В Касс. реш. 1884 г., N 50 разъяснено, что правом отречься от наследства наследник может воспользоваться лишь настолько, насколько это не лишает кредиторов его возможности получить удовлетворение своих претензий, так как, по ст. 1547 Зак. Гр., уступка своего права недействительна, если учинена во вред третьему лицу. Следовательно, при неоплатности долгов, при неимении другого имущества на удовлетворение кредиторов, отречение от наследства может быть признано недействительным, но, конечно, лишь в интересе кредиторов и только в размере их претензий.
Ж. После Прушинской осталось имение, заключавшее в себе, между прочим, претензию на мужа, ее пережившего. После смерти мужа, Прушинского, имущество перешло к внучке его, сыновней дочери, Еловицкой. Две дочери Прушинского, наследницы материнского имения, стали требовать с Еловицкой, как преемницы отцовского имения, удовлетворения означенной претензии. Еловицкая, опровергая этот иск, доказывала, что претензия эта не существует, так как сами истцы уступили ее отцу по мировой сделке с ним. Но решением суда признано, что такой уступки не было и что претензия существует. Тогда уже и Еловицкая заявила права свои на участие в той же претензии, в качестве наследницы после бабки своей, Прушинской. Суды отвергали это право Еловицкой, рассудив, что как она сама оспаривала эту претензию, отвергая ее существование, то тем самым отрекалась от наследства после бабки. Но Государственный Совет признал право Еловицкой, рассудив, что спор против взыскания, составляющего ценность наследства, нет основания признать в одинаковой силе с отречением от сего наследства (мн. Гос. Сов. 21 мая 1872 г.).
Если отречение было сделано условное, то теряет свою силу с уничтожением условия. По делу Филипповой (Сб. Сен. реш. II, N 955) Сенат признал: хотя Филиппова и отказалась от указной части после мужа в прошении, но под условием бывшего за ней пожизненного владения домом; но как последующими решениями она лишена сего пожизненного владения, назначенного ей по завещанию мужа, то с уничтожением сего условия должно быть для нее восстановлено право на получение указной части.
З. По делу Титовой Сенат (Сб. Сен. реш. II, N 900) не признал действительным отречение от наследства, выраженое ею условно, и притом не подлежащему судебному месту.
Подлежащим присутственным местом, коему должно быть сделано отречение от наследства, признается, по ст. 1408 Уст. Гражд. Суд. (см. Касс. реш. 1867 г., N 177, 1869 г., N 15, 1872 г., N 776), тот суд, от которого зависит разрешить передачу охраненного имения явившимся наследникам, т.е. которому наследственное имущество, по месту нахождения, роду и цене его, подведомо.
Объявление об отречении от наследства, при отсутствии спора, не требует какого-либо признания или утверждения со стороны суда. Касс. реш. 1872 г., N 776; 1876 г., N 476; 1880 г., N 27.
И. Имение Попова продавалось за долг в 3.000 р., но торги не состоялись и велено, уничтожив их, принять от Попова сумму долга и возвратить ему имение. Как между тем Попов умер, то велено вызвать к выкупу его наследников, и они приняли имение с выкупом, а впоследствии стали отрицаться от наследственных долгов, утверждая, что получили имение не по наследству, а по выкупу. Они отрицаются несправедливо, ибо и выкуп имения предоставлен им, поколику они наследники, следовательно, неправильно освобождать их от последствий принятия наследства (ср. Сен. реш. 1, N 323).
J. Дмитрий Хрущов, получив имение после отца, не получил наследства от матери, почему и отказывался от ответственности за долги ее. Но Сенат рассудил, что мать его, овдовев по смерти мужа своего Хрущова, просила о выделе ей указной части, и хотя не получила ее, но право на выдел сохранила себе и своим наследникам. А как Дмитрий Хрущов получил все отцовское имение, то у него в составе сего имения должна находиться и указная часть его матери, следовательно, буде он согласится принять ее, то должен отвечать за долги матери, а буде отречется, то сия часть должна быть выделана на удовлетворение ее кредиторов (Сб. Сен. реш. II, N 595).
§ 48. Последствия принятия наследства. – Ответственность наследника за долги. – Возможность разделения долгов
Наследнику принадлежит имущество умершего, со всеми исками и требованиями, соединенными с имуществом (в том числе следующие к получению долги, заслуженное жалованье и т.п., что по службе законно принадлежало умершему. Зак. Гражд. д. 125873). Право на иск, еще не предъявленный, или процессуальное право по начатому иску, ограничивается в лице наследника давностью, поколику оно было ограничено в лице умершего, т.е. сколько оставалось давности у умершего в минуту его смерти, столько же с этой минуты переходит к наследнику (Зак. Гражд. 566).
Наследник становится преемником умершего вотчинника и представителем прав его по имуществу, равно как и своих прав, так что в лице наследника объединяется юридическая его личность с личностью умершего. Посему, представляя в себе личность умершего со всеми его требованиями и обязательствами, наследник уже не может сохранить при себе свои личные требования к умершему и свои перед ним обязательства: те и другие погашаются в наследстве, по соразмерности количеств. Посему, если наследник был должен умершему, долг его погашается вполне и совершенно, буде он единственный наследник; отчасти, если он отчасти наследник, вместе с другими лицами, т.е. какая доля наследства ему досталась, в такой доле и долг его погашается. Если наследник был кредитором умершего, то погашается его требование, также соразмерно наследственной доле, т.е. получив, напр., половину имения, он вправе требовать только половину долга с другого наследника – преемника другой половины имения, а половина долга погашается в собственном его преемстве. Это погашение происходит само собой, силой наследственного перехода, требование само собой исчезает, и наследник не вправе уже простирать оное на умершего вотчинника или на какую-либо часть его имущества. Посему, если бы он, по принятии наследства, передал свое заемное письмо на умершего вотчинника стороннему лицу, оно и в руках у сего последнего не имело бы ценности в той части взыскания, которая погашена была бы переходом наследства (ср. о сем реш. Касс. Деп. Сената 1869 г., N 1292; 1874 г., N 190; 1880 г., N 35, 70). Один из случаев подобного зачета долгов и требований наследника в состав наследства указан в 1260 ст. Зак. Гражд. В ней изъяснено, что сын, состоя кредитором (буквально: отдатчиком денег на сохранение) своего родителя, по смерти его получает от своих сонаследников не всю сумму, какую отец был ему должен, но с вычетом части сего долга, упадающей, по разделу с прочими братьями, собственно на его долю. Часть кредиторских прав сына погашается в наследственном его праве.
Получая права и требования по наследственному имуществу, наследник принимает на себя и ответственность во всех долгах и взысканиях, упадающих на умершего вотчинника – ответственность личную и безусловную, которая не ограничивается ценностью принятого имения, но упадает и на имение, лично принадлежащее самому наследнику (Зак. Гражд., 1259, 1543, 1544, 2110; Пол. Казенн. Подряд. ст. 72, 194). В одном только случае закон допускает исключение из сего правила: в бессрочных обязательствах и писанных до востребования, когда они представлены ко взысканию по смерти должника, наследники его ответствуют одним принятым по наследству имением (1259 прим.74). Но эта безусловная ответственность является во всей полноте своей лишь там, где представителем умершего оказывается одно лицо, единственный наследник. А когда есть несколько наследников, то ответственность распределяется между ними соразмерно наследственной доле каждого (ср. Касс. реш. 1879 г., N 294; 1886 г., N 60). Это значит, что получивший, напр., четвертую долю наследства, отвечает и за четвертую долю долгов, но в этой четвертой доле долгов отвечает все-таки всем своим имуществом; следовательно, чтобы определить, какая часть долга падает на лицо наследника, необходимо учесть количество полученного им имения и определить ее отношение к общему количеству всего наследства. Этот учет у нас во многих случаях невозможно сделать вполне равномерным, по общей неопределительности ценностей в нашей экономии, и потому еще, что наследства у нас большей частью принимаются в беспорядке и без описей. Обязанность наследников отвечать за долги умершего по соразмерности с наследственными долями относится в одинаковой мере как к наследникам по закону, так и к наследникам по завещанию: так постоянно признает наша судебная практика (ср. Сб. Сен. реш., т. II, 312. Касс. реш. 1874 г., N 190; 1880 г., N 34, 35). Однако ответственность наследников по завещанию может быть распределена завещателем и непропорционально наследственным их долям; так что общее правило об ответственности за долги пропорционально наследственным долям применяется к наследству по завещанию лишь в том случае, когда на сей предмет в завещании не сделано распоряжений (ср. Касс. реш. 1874 г., N 190; 1880 г., N 70; 1882 г., N 62).
Отзыв наследника, что он не единственный наследник, не может сам по себе служить законным поводом ни к устранению, ни к отсрочке ответственности: принявший наследство обязан безусловно платить долги умершего вотчинника, несмотря на то, один ли состоит наследником или вместе с другими (Касс. реш. 1873 г., N 1647). Без сомнения, в сем случае разумеется лишь неопределенный отзыв, не содержащий в себе ясного указания на признанных и утвержденных наследников. Из других решений видно, что наследник, к которому предъявлен иск, обязан доказать, что есть другие наследники, обязанные делить с ним ответственность по иску; он обязан доказать, что получил не все наследство, а определенную долю, соразмерно с коей, буде докажет, и несет ответственность (Касс. реш. 1876 г., N 549; 1877 г., N 330).
В лице наследника собственные его долги сливаются с долгами умершего вотчинника, т.е. он отвечает за те и за другие одинаково и сполна. Но можно ли допустить, что за те и за другие долги отвечает, по принятии наследства, совокупно и в безразличной массе, имение самого наследника вместе с имением, доставшимся ему по наследству? Наше законодательство не устанавливает ни положительных правил, ни определительного порядка для так называемого разделения долгов (см. § 36); однако противоречило бы справедливости отвергнуть и у нас возможность такового разделения. За личные долги каждого лица должно отвечать все его имение: в этом только предположении делается человеку и кредит при его жизни; следовательно, несправедливо допустить, чтобы по смерти его это его имение обращено было на покрытие долгов другого лица, хотя бы наследника, в ущерб кредиторам умершего вотчинника, которые верили умершему и его состоятельности, а не наследнику. Притом всякое наследство, в совокупности своей, вмещает в себе права и обязанности по имуществу, соединяющиеся в лице умершего вотчинника, и наследник, принимая наследственное имение, принимает его не иначе как со всеми, лежавшими на нем тягостями. Наш закон в 1259 ст. дает основание к отделению долгов наследственных от личных долгов наследника. В ст. 1259 сказано, что наследник обязан ответствовать за долги умершего, в случае недостатка имения, даже собственным капиталом и имуществом. Итак, если бы по просьбам личных кредиторов наследника обращено было взыскание на имение, доставшееся ему по наследству от другого лица, личные кредиторы сего последнего имеют право требовать, чтобы это имение обращено было прежде всего на их удовлетворение: можно указать на состоявшиеся в этом смысле судебные решения (напр., Сб. Сен. реш. II. 552). Но если наследственное имение успели уже продать и вырученными деньгами удовлетворить личных кредиторов наследника, прежде чем кредитор умершего вотчинника указал на это имение для удовлетворения своей претензии, то нет прямого законного основания поворотить имение или деньги, ибо личному кредитору принадлежит во всяком случае личное только, а не реальное право на удовлетворение из определенного имения. Известно, что наши законы весьма неопределительны во всем, что касается до конкурсного производства, и удовлетворение одних кредиторов в ущерб другим нередко зависит у нас от случайных причин (кто кого предупредит). Между тем нередко случается, что в руках у одного наследника, и притом еще несостоятельного по своим долгам, соединяется несколько наследств от разных лиц, обремененных долгами. В таких случаях надлежало бы по всей справедливости из каждого наследства составить особую долговую массу; но в отсутствии определительных по сему предмету правил долги соединяются вместе, и удовлетворение производится беспорядочно, со стеснением одних кредиторов к выгоде других.
В решениях Кассационного Департамента Сената признавалось, что имущество умершего вотчинника смешивается с имуществом наследника, поэтому кредиторы того и другого имеют одинаковое право на удовлетворение: кредиторы первого не имеют предпочтительного права на удовлетворение из наследственного имущества (ср. реш. 1879 г., N 85; 1880 г., N 23); но в реш. 1886 г., N 63, на основании исторического исследования ст. 1104 и 1259 Зак. Гражд., из коих в первой определяется состав наследства, а в последней устанавливается ответственность наследников, Сенат пришел к тому, в существе вполне справедливому, толкованию, что кредиторы умершего вотчинника имеют преимущественное пред кредиторами наследника право на удовлетворение из наследственного имущества, а если часть его наследниками заложена или отчуждена, то из оставшихся частей, причем они обязаны удостоверить, что указанное ими имущество досталось ответчикам от умершего вотчинника, их должника.
Ответственность в долгах основывается на наследстве, а не на праве представления. Различая одно от другого, закон (1262) подтверждает, что дети не обязаны платить долги за родителей, если по смерти их никакого имения в наследство не получили, хотя по праву представления и досталось им потом наследство от дедов и других родственников (ср. Касс. реш. 1870 г., N 1114; 1879 г., N 342, 392).
От общей ответственности в долгах и обязательствах не изъемлются казна и прочие ведомства, наследующие по выморочному праву (1263).
Об ответственности наследников умершего вотчинника по казенным начетам см. т. VII. ч 2, Общ. Счетн. Уст., ст. 335, прим., прил. ст. 6, прим. О правах и ответственности по искам в процессуальном отношении см. Зак. Суд. Гражд., ст. 30, 31. Уст. Гражд. Судопр. ст. 457, 458. Об ответственности наследников после командира по случаю сдачи полка. Свод. Военн. Пост., ч. 3 кн. I, ст. 358.
А) Некоторые из имуществ, достающихся наследникам в лице умершего, освобождаются от падающих на него взысканий (benefic. сompetentiae). Таковы, напр., пенсии, назначаемые вдовам и детям умершего: из вдовьей пенсии берется лишь третья часть на пополнение казенного взыскания, а из детской ничего не берется. Т. III Уст. пенсион. ст. 232, 233; Пол. Взыск. Гражд. ст. 394. Уст. Гражд. Суд., ст. 1088. На пополнение начетов и взысканий казенных и частных из эмеритальных пенсий, следующих семейству должника, или единовременных пособий, удерживается половина. Свод. Военн. Пост. ч. II, кн. I, 2271 ст., примеч. 3 по V Прод. На заповедные имения и на доходы с них не обращаются личные взыскания, падающие на умершего владельца. Зак. Гражд. 492 ст.
Едва ли законно будет распространять это правило и на пополнение частных взысканий. Правило это особливое своего рода, а не последствие наследственного перехода. Если бы вдова, поколику получает пенсию или единовременное пособие после мужа, ничего по себе не оставившего, признаваема была наследницей по нем, то надлежало бы применить к ней общее правило 1259 ст. Зак. Гражд. об ответственности наследника. Но по сей только причине нельзя признать ее наследницей. Пенсия, единовременное пособие составляют милость правительства ко вдове чиновника, за службу его; то и другое назначается вдове не потому, что она наследница, а потому что она жена (те же соображения применяются и к детям), совсем независимо от наследственного права. К наследству причитается только имущество, действительно принадлежавшее умершему в день его смерти, хотя бы и службой приобретенное; посему к наследству причисляется 1258 ст. заслуженное по день смерти жалованье: оно есть ценность, действительно образовавшаяся и составлявшая личную принадлежность умершего. Совсем иное дело – пенсия: она составляет личную принадлежность не мужа, а оставшейся после него жены, и государственное, а не гражданское ее право, последствие службы мужа, но не наследования после мужа. Итак, вопрос о вычете из пенсии за долги мужа может возникнуть не из соображений наследственного права, а из соображения, чуждого сему праву, и потому сей вычет не сам собой предполагается, а требует положительного предписания и правила в законе. Относительно казенного взыскания такое правило есть, а относительно частных взысканий нет такого правила.
Можно указать на некоторые решения, в коих получение пенсии после умершего признаваемо было признаком принятия наследства (напр., решение, приведенное в Ж. М. Юст. 1865 г., N 9); но таковые решения, конечно, основаны на недоразумении. В противоположном смысле см. Касс. реш. 14 февраля 1873 г., N 202. Касс. реш. 1872 г., N 1036 признано, что вдова, получившая заслуженное умершим жалованье, не освобождается от ответственности за долги мужа, и оправданием ей не может служить то обстоятельство, что полученные деньги употреблены на покрытие похоронных расходов.
Б) Некоторые взыскания погашаются со смертью лица, подлежавшего взысканию.
Таковы деньги, выданные из казны вперед чиновнику на прогоны и в жалованье. В этом случае можно сказать, что само взыскание возникает именно по причине смерти, посему оно смертью и погашается. III т. Уст. Сл. Прав., ст. 228. О пособии, выданном при определении на службу в отдаленный край – там же, ст. 225, прим., прил. ст. 13, о деньгах, не взысканных за ордена, – Учр. Орд. изд. 1892 г., ст. 195, 196.
В) Зак. Гражд. 1544 ст. От наследников лица, обязавшегося к личной услуге, нельзя требовать продолжения таковой услуги, но закон этот не лишает наследников права на получение вознаграждения за личную услугу, уже исполненную умершим контрагентом, так как это вознаграждение составляет уже часть имущества умершего, принадлежащую его наследникам. С прекращением, за смертью одного из контрагентов, личных отношений, установленных договором, не погашаются возникшие для одной из сторон из договора имущественные обязательства; поэтому наследники лица, в пользу коего по договору произведена была работа, не имеют права отказываться от уплаты условленного за эту работу вознаграждения (сравн. Сб. Сен. реш. II, N 1064. Касс. реш. 1871 г., N 206; 1875 г., N 960).
Г) Наследник вступает во все права и обязанности умершего; следовательно, для наследника обязательно сделанное умершим признание обязательств. Наследник не вправе оспаривать обязательство, сознанное умершим.
По делу Олонкина Государственный Совет признал, что опека, учрежденная над расточителем, имеет право оспаривать обязательства, сознанные им до учреждения опеки; а когда опека сим правом не воспользовалась, то оно переходит, по смерти самого расточителя, к его наследникам. Юрид. Вест. 1867 г., N 4.
Д) Во многих случаях, хотя и бесспорно наследует человек известное имение, весьма важно определить в точности, от какого именно лица дошло ему то имение непосредственно по праву наследства, ибо после кого кто наследник, за того и в долгах отвечать должен.
Вдова, оставшись после мужа с детьми, буде не получила себе при жизни из мужнина имения указной части отделом, то эта часть, оставаясь в составе мужнина имения, во всяком случае достается по наследству ее детям. Но если отец их не оставил по себе долгов, а мать оставила долги и не оставила наличного имения, то для детей наследников выгодно, чтобы их признали во всем имении наследниками после отца. Однако, если мать их, при жизни своей, просила уже о выделе ей указной части, то в сей указной части дети должны быть признаны наследовавшими после нее, а не после отца, и обязанными отвечать за долги ее, по соразмерности.
По делу Василия Хрущова возник вопрос: следует ли привлечь его к ответственности за долги матери, за отзовом его, что он от матери никакого наследства не получал, а принял только отцовское наследство. Оказалось, что по смерти отца Хрущова к имению его остались наследниками сын, да в указной части мать, которая при жизни входила в опеку с просьбой о выделе ей указной части, но, не получив еще выдела, умерла. Из сего Сенат (Сб. Сен. реш. т. II, N 595) вывел, что право вдовы Хрущовой на выдел ук. части перешло за силой 1152 ст. к ее наследнику сыну; следовательно Вас. Хрущов, приняв отцовское наследство, принял в состав его и указную часть матери. Посему Сенат определил: отобрать от Василия Хрущова отзыв, соглашается ли он принять ту часть наследства с ответственностью за долги матери; если же не согласен, то обязан предоставить ее в пользу кредиторов матери.
Е) По делу Майковой возник вопрос: может ли наследник недобросовестного владельца быть освобожден от обязанности, лежавшей на сем последнем по заключенному им с третьим лицом договору, если этот наследник не знал о недобросовестности пользования своего предшественника имуществом? Иными словами: действительное владение имуществом переходит ли к преемнику по наследству с теми же внутренними качествами, с какими было оно у умершего вотчинника, в силу его сознания, – или свойство сего владения определяется и у преемника исключительно по личному его сознанию? Сенат (Кассац. реш. 1869 г., N 315) признал, имея в виду ответственность наследника за недобросовестное владение перед законным собственником, что как право на пользование имуществом, так и ответственность по обязательствам умершего возникает для наследника со смерти прежнего владельца. Для наследников, по смыслу 1259 и 1543 ст. Зак. Гражд., нет нового начала исполнения сих обязательств: на них переходят те самые обязанности, которые лежали бы на умершем, если бы жизнь его продолжалась. Посему наследник, приняв владение с сознанием неправости его у прежнего владельца, повинен отвечать за сие сознание в течение собственного владения, хотя бы и не было доказано, что сам наследник также сознавал неправость своего владения тем имуществом.
Ж) После смерти Анны Т. открылось наследство в недвижимом имении. Сестра умершей, Марья Б., не быв еще утверждена в наследственных правах и не получив имения в действительное владение, продала его по купчей Варваре В. Вслед затем покупщица вступила во владение имением, а Марья Б. утверждена в наследственных правах своих.
Через 5 лет после того Марья Б. умерла, и наследником по ней утвержден сын ее Иван Г. Вступив в наследство, он начал доказывать, что мать его не имела права продать имение, доставшееся ей после Анны Т., покуда еще не была утверждена наследницей и не получила того имения в действительное владение. На это основании Г. просит уничтожить продажу как незаконную и, отобрав имение от покупщицы В., причислить его к составу наследства, открывшегося после его матери.
Может ли быть допущен такой иск? Не думаю. Наследство есть совокупность имуществ, прав и обязанностей, оставшихся после умершего. Наследник входит только в то имущество, в те права, в те обязательства, которые принадлежали умершему: но прав больших, нежели какие принадлежали лицу, оставившему имение, закон ни в каком случае не дает наследнику.
Право на иск об имуществе, без сомнения, переходит к наследнику в той же мере, в какой принадлежало умершему вотчиннику. Но в настоящем случае право на иск не принадлежало самой Марье Б. Предмет такого иска по существу его есть разрушение продажи. Продажа может быть уничтожена, потому что ею нарушено право казны, либо частное право. В том и в другом случае иск принадлежит тому лицу, которого право нарушено. Если бы Марья Б. продала имение прежде, чем оно поступило в действительное ее владение, а впоследствии оказалось бы, что наследственное право в этом имении не может принадлежать ей или принадлежит не ей одной, а совокупно с другим лицом, тогда это последнее лицо могло бы почитать право свое нарушенным преждевременной продажей и имело бы законное основание начать иск об уничтожении продажи. Но если Марья Б. была и всегда почиталась единственной наследницей в проданном ею имении, если к этому имению никто, кроме ее, не мог при жизни ее простирать прав своих, то она сама не имела ни малейшего основания требовать уничтожения продажи, ею самой добровольно учиненной. Сама она не могла быть нарушительницей собственного своего права; иск на этом основании и не мыслим, а другого нарушителя не могло быть в виду, если ей только одной принадлежало наследственное право в проданном имении. Этой продажей ничье право нарушено не было; следовательно, Марья Б. не имела права на иск об уничтожении продажи. Очевидно, что положение ее наследника, в отношении к проданному имению, остается то же самое относительно полученного после нее наследства; он не сторонне лицо, не представитель какого-либо нового права, но преемник прав, прежде существовавших, представитель только тех прав по имуществу, которые ей принадлежали; следовательно, и он со смертью Марьи Б. не мог получить отдельного права на иск о проданном имении.
З) Родители, на основ. 1141 и 1142 ст. получившие имение после бездетных детей в пожизненное владение или в возврат, яко дар, – обязаны ли, на общем основании, как наследники, отвечать за долги детей? Обязаны, – решает Касс. Сенат (реш. 1873 г., N 436, 758), но не на общем основании. Обязаны, потому что имение должника должно отвечать за долги его. Но не будучи, в прямом смысле закона, наследниками после детей, родители не подходят в сем случае под правило 1259 ст., т.е. не обязаны платить долги детей из собственных капиталов и имуществ75.
§ 49. Сборы и пошлины с наследственного перехода имений. – Открытие и приобретение наследства по закону прибалтийских губерний
Переход имений по наследству до начала текущего столетия не был свободен у нас от сборов и пошлин. В период Уложения справка наследственных недвижимых имений обложена была четвертной пошлиной. При Петре указами 1717 (N 3099) и 1724 годов подтверждено было о взыскании этой пошлины, по алтыну с четверти, при справке наследственных имений. При Екатерине II, с увеличением размера крепостных пошлин, велено было при записке актов на недвижимые имения, завещаний и при справке по наследству брать по 3 коп. с четверти (Ук. 1763 г. и Межев. инст. 1766 гл. IX). Все эти сборы были отменены манифестом 15 сентября 1808 года. В этих сборах иные совершенно ошибочно усматривают обложение пошлиной наследства. Эти сборы составляли принадлежность существовавшей системы справки и отказа имений, исключительно недвижимых, причем переход таковых имений по наследству, соединенный тоже со справкой, не был изъят от общего сбора, но наследство в особенности наш закон никогда не облагал пошлиной. Пошлины и сборы с наследств, существовавшие издавна в западных государствах, образовались из феодальных отношений, чуждых нашему быту, стало быть, у нас не было исторического основания подобному сбору. В 1821 го-ду Министр Финансов граф Гурьев, в представлении Государственному Совету, пытался установить пошлину с наследств и, заимствуя ее систему из иностранных законодательств, доказывал не вполне основательно, что эта пошлина существовала у нас издавна (П. С. З. N 28814); но эта попытка не удалась. В законе осталась только восстановленная в 1808 году крепостная пошлина с духовных завещаний, коими имение назначается помимо общего наследственного закона; но эта пошлина существенно отличается от пошлины с наследства, в коем имение переходит силой закона непосредственно и без акта, тогда как в завещании имение переходит по акту, и этот акт последовательно подводится под общее правило, в силу коего крепостной пошлиной облагаются все акты, устанавливающие переход права собственности на имущество. Засим вопрос о введении пошлины с наследства составлял предмет обсуждения в податной комиссии, склонявшейся к мнению о возможности и необходимости такого установления (см. доклад особой Комиссии для пересмотра крепостных и канцелярских пошлин 1868–1869 года). Это установление Комиссия оправдывает с исторической, экономической и финансовой точки зрения. С выводами Комиссии, безусловно, согласиться трудно. Исторического основания налог на наследства у нас не имеет вовсе, как выше показано. Экономические и финансовые выводы Комиссии основаны на обычных соображениях, взятых из теории, по иностранным сочинениям о финансовой науке, и по иностранным законодательствам, и не соответствуют экономии нашего быта и условиям нашего законодательства. Комиссия предполагала распространить пошлину на приобретение наследств (как в недвижимом, так и в движимом имении) в отдаленных степенях родства, начиная с третьей, возвышая процент пошлины (с 4% до 7%) соответственно большей или меньшей отдаленности родства в наследстве. Установление такого налога, по мнению моему, стеснительно для собственности, свыше справедливой меры, ибо в настоящем состоянии нашего экономического быта и нашего законодательства нельзя применять к ним правила, которые прилагаются удобно к совсем иным условиям быта и законодательства у других народов. Прежде всего нельзя не принять в соображение крайнюю неопределительность ценности у нас недвижимых имуществ, которые в западных государствах приобрели ценность почти рыночную, и всегда доступную учету без затруднения. Можно, пожалуй, и у нас установить нормальную цену десятины для каждой местности, но эта оценка непременно будет произвольная, и долго еще не окажется возможности уловить в ней действительную ценность земель и недвижимых имений, зависящую от разнообразнейших условий местных, временных и личных. Следовательно, невозможно в каждом данном случае, при помощи такой оценки, сделать хотя приблизительный учет материального интереса, который может выдержать соразмерное обложение. Далее законодатели наши как будто забывают принять в соображение юридические черты нашего наследства. Эти черты столь смутны и неопределительны, что не на чем покуда утвердить справедливую меру налога, ибо нет ни в экономическом, ни в юридическом смысле твердой ценности, без чего и налог немыслим. Во Франции, в Германии, напр., не говоря уже о том, что каждое имущество примыкает к известной категории, получает известную ценность на обширном рынке, обнимающем иногда все государство, и юридические условия приобретения наследства таковы, что всякий может учесть, что он приобретает и за что отвечает; есть возможность привести в известность долги, лежащие на имении, есть возможность привести в меру и право свое и свою ответственность и принять наследство условно, в меру долгов. У нас, напротив того, наследство есть одно из самых неопределительных, смутных и рискованных приобретений. Закон не дает способа наследнику – ни привести в ясность наследственные долги, ни оградить себя от безграничной ответственности. Приходится наследнику выбирать между безусловным отречением от наследства и безусловным его принятием, и то и другое основывать на гадательных предположениях. Нередко случается, что принятое наследство, по материальному составу значительное, оказывается в руках у наследника призрачной ценностью, и мнимое право, которое думал он приобрести, рассыпается, оставляя ему действительную ответственность и издержки производства. В таких условиях, конечно, было бы несправедливо и неблагоразумно, по крайней мере до общих преобразований в законах наших о наследстве, прилагать к нему меру ценности, отвлеченно взятую из чужого экономического и юридического быта, и вводить у нас такой налог, который в самом взимании сопряжен не только с крайним стеснением для частной собственности, но и с крайними затруднениями учета и всей операции – для самой казны. Конечно, не было бы основания возражать против обложения пошлиной свободных денежных капиталов, переходящих по наследству, ибо здесь казна имеет дело с явственной и безусловной ценностью, подлежащей вполне учету. Иное дело – недвижимое имение, или понятие о наследстве как о массе: здесь в большинстве случаев невозможен, по крайней мере при открытии наследства, определительный учет положительной ценности, а притом одни издержки и хлопоты этого во всяком случае лишь предположительного учета ложатся на наследства такой тяготой, которая вовсе не соответствует казенной прибыли в отдельных случаях, но угнетая нерационально общую в государстве экономию хозяйств, следовательно, производительные силы хозяев, тем самым не только не способствует, но противодействует истинным интересам казны. В настоящем, потрясенном состоянии нашего сельского хозяйства, одна из главнейших целей законодательной политики состоит бесспорно в привлечении владельцев, и особенно мелких, из города, от промыслов, спекуляций и чиновничества, в деревню, для хозяйственных нужд и местной деятельности, и это привлечение совершается у нас крайне медленно, с большими усилиями, а между тем сельские хозяйства, при переходах по наследству, разлагаются, уничтожаются, и земли от разоренных хозяев переходят скупкой в руки купцов, кулаков-хищников и – евреев. Очевидно, что налог на наследства может только способствовать этому разорению хозяйств, и что многие преемники наследственных имений поспешат продать их кому попало, чтобы избавиться от хлопот и издержек, сопряженных с фискальным производством по имению, доходность коего нередко есть только мнимая, а не действительная.
Не взирая, однако, на все эти соображения, коих основательность сознается многими, признано нужным, для удовлетворения ближайших целей фиска, т.е. для приумножения казенного дохода, ввести и у нас в России пошлину с наследств.
В июне 1882 года состоялся закон (т. V, изд. 1893 г., Уст. о пошлин., ст. 152 и след.), устанавливающий пошлину с ценности наследственного имущества в размере от одного до восьми процентов, смотря по степени близости родства между наследником и умершим вотчинником: ближайшие по родству наследники (нисходящие и восходящие по прямой линии) платят пошлину в меньшем размере. К числу платящих такую наименьшую пошлину отнесены также супруги, усыновленные дети и супруги детей (там же, ст. 154). Несколько наследников уплачивают причитающуюся с них пошлину по соразмерности долей. Пошлина взыскивается не только с наследников, но и с пожизненных владельцев, с первых в полном размере, а со вторых в половинном (там же, ст. 155, 156). От уплаты пошлины не освобождены и иностранцы, кроме подданных тех государств, в коих налогом не обложены наследства, остающиеся после русских подданных (там же, ст. 171).
От пошлины освобождены имущества, коих ценность не превышает на каждого наследника тысячи рублей, также земли крестьянского надела с постройками, когда переходят к лицам того же звания; имущества, поступающие в пользу казны, церквей, монастырей и причтов, а равно благотворительных, ученых и учебных заведений и наконец движимость, не приносящая дохода и не составляющая предмета торговли или промысла умершего вотчинника (там же, ст. 153, 156).
В недавнее время, законом 10 апреля 1895 г. (Собр. узак. N 421) установленная в 1882 году пошлина вовсе отделена при переходе по наследству и безвозмездными способами земель в уездах к лицам, указанным в 1 п. ст. 154 Уст. о пошлин., т.е. к нисходящим и восходящим родственникам, к супругу, к усыновленным детям и к супругам детей.
Пошлина взимается с чистого наследства, т.е. за вычетом из его ценности недоданного рабочим жалованья, издержек на погребение, казенных и общественных сборов и долгов. С долговых обязательств, входящих в состав наследства, и с имуществ спорных пошлина взыскивается при получении наследником удовлетворения или имущества (там же, ст. 157, 162).
Цена наследственному имуществу объявляется наследниками или душеприказчиками, но она не должна быть ниже законной оценки (там же, ст. 158, 177). Во взносе пошлины по недвижимому имению допускается рассрочка до пяти лет, с обязанностью платить по полпроцента в месяц с той суммы, какая причитается по рассрочке на второй или последующие годы, а по движимому допускается отсрочка до одного года без платежа процентов и с обеспечением казны в обоих случаях в уплате пошлины (там же, ст. 165).
Охранение и принятие наследства по закону прибалтийских губерний. По усмотрению суда принимаются меры к охранению наследства, если не все наследники известны, или не все налицо, или есть несовершеннолетние и требующие защиты, или есть сомнение о принятии или о состоятельности наследства в виду долгов, или опасения за целость наследства. В таком случае суд назначает, до времени, попечителя над наследством; наследству составляется опись и вызываются наследники, на срок, назначаемый судом; допускается, впрочем, восстановление сего срока, но если вызова не было, то право на иск погашается краткой годовой давностью с того времени, когда интересованное лицо узнало об открытии, в Курляндии же общей 5-летней давностью.
Расчет между вновь явившимся наследником и прежде признанным владельцем совершается по правилам римского права (2581–2620). Из того же права заимствованы – отличие между призванием к наследству и принятием оного и правила о форме принятия и последствиях приобретения, о сроках для размышления, о принятии по описи и о разделении имуществ. Примечательно основанное на обычае следующее правило: если призванные к наследованию лица жили вместе и на одном хозяйстве с умершим вотчинником и при открытии наследства остались в фактическом обладании оным, заимствуя из него даже средства к содержанию, то это обстоятельство еще не служит законным признаком принятия, лишь бы только в течение срока по объявлению дан был положительный отзыв. Попечитель наследства уполномочен требовать от признанных наследников положительного отзыва о принятии или отречении (2621–2662). Между назначением наследства и отказом, принятием того и другого и последствиями принятия устанавливается явственное юридическое отличие.
Допускается наследование по договору, закон допускает и отречение от наследства по договору вотчинника с будущим наследником (Erbverziht) – безвозмездно или за вознаграждение, которое не считается происходящим от наследства. Буде же отрекшийся умер прежде того, перед кем отрекся, то отречение необязательно для его нисходящих (2763).
Продажа открывшегося наследства постороннему лицу допускается (2667).
Отношения сонаследников определяются общими началами римского права; но о порядке раздела недвижимостей находим много своеобразных и разнообразных постановлений, взятых из местного права и обычая. Из римского же права заимствован порядок колляции, или зачета, при разделе в массу, полученного вперед при жизни вотчинника. Зачету подлежат – данное или обещанное вено, данное нисходящим на устройство и обзаведение; не подлежат – обыкновенные подарки, разве бы даны были под условием зачета, или предстояло бы уравнение в зачет с другими одаренными; снаряд на службу, алименты и издержки на воспитание (2677–2762).
§ 50. Общее владение наследников. – Раздел наследства: полюбовный и судебный. – Передел. – Отличия в Литовском статуте. – Примеры и вопросы из практики
Наследники, буде их несколько, могут оставаться, если не пожелают немедленного раздела, в общем владении наследственным имуществом (ст. 543–555 Гражд. Зак.), причем каждый из них может отчуждать свою нераздельную часть стороннему лицу в таком лишь случае, когда сонаследники его отрекутся приобрести ее для себя по оценке. Лишь по местному закону Черниговской и Полтавской губерний таковое отчуждение допускается независимо от отзыва сонаследников (556, 1313, 1314 ст. Зак. Гражд.).
Общее владение наследством может продолжаться безгранично, лишь бы на то была общая воля наследников. Напротив того, достаточно желания, хотя бы одним из наследников заявленного, чтобы возбудить производство о разделе. Раздел совершается актом, в коем постановлены условия отдельного владения76. Если все наследники по общему согласию совершат раздел, без посредства власти, то он называется полюбовным. Но окончательному совершению акта предшествует более или менее продолжительный период соглашения, причем иногда недобросовестными притязаниями и колебаниями одного может быть затрудняем равномерный раздел для всех прочих участников, и таким образом может продолжаться неопределенное состояние собственности и владения для всех. Чтобы положить границу этой неопределительности, в законе указан следующий порядок. Каждый из соучастников может заявить в суде прошением свое желание раздела. С сего времени полагается всем соучастникам 2-годовой срок, в течение коего закон предоставляет им разделиться полюбовно, т.е. по взаимному согласию распределить между собой и разграничить наследственные доли формальным актом. Если это не исполнено, то (по новой просьбе соучастника) суд производит раздел своей властью. Имение берется в опеку с наложением запрещения, до раздела. Затем суд, приведя в известность хозяйственный состав имения и сообразив взаимные требования участников, составляет по возможности уравнительные жребии или доли для каждого изо всей массы наследственного токмо имения. Какая доля кому именно придется, это решается обыкновенно жребием в присутствии суда, и основанием раздела служит судебное постановление (либо составляется по сему постановлению раздельный акт). С лица, признанного виновным в замедлении раздела, взыскивается штраф, 6 процентов со всего (спорного, как объясняет Сенат в реш. 1876 г., N 511; 1879 г., N 344) имущества (Гражд. Зак. 1315, 1317, 1318, 1320, 132277).
Из указа 1786 года, коим установлено взыскание штрафа, видно, что он должен падать на виновного, и притом на виновного не в ином чем (напр., в небрежении, в медленности и пр.), как в ябеде и неспокойстве. Отсюда следует, во-1-х, что штраф не безусловно взыскивается с имений за нераздел их в 2-го-дичный срок, ибо неокончание раздела может последовать от разных причин, которые не всегда можно причесть в вину делящимся, а от причин, не зависящих от воли, напр., от утраты документов, от недостатка в техниках, от медленности присутственных мест и т.п.; во-2-х, что для наложения штрафа необходимо признать то или другое лицо виновным в ябеде и неспокойстве; буде же по усмотрению суда никого из сонаследников в сем обвинить нельзя, то и взыскание штрафа неуместно; в-3-х, по общему смыслу указа надлежит заключить, что выражение со всего имущества относится к определению размера взыскания (6% со всего имения), а не к определению предмета, подлежащего взысканию, ибо слова указа: на счет виновных, и общий дух постановления показывают, что сие взыскание есть личное, и упадает не на все делимое имение, следовательно, не на всех наследников, но лично на тех, кои признаны виновными. Притом, когда предметом несогласия между сонаследниками служит не вся нераздельная масса имений, но часть их, которую есть возможность обособить, то справедливо и взыскание штрафа исчислять не со всей массы, а лишь со всего того имущества, в котором наследники не могли согласиться о разделе.
Решениями Кассац. Департ. Сената (1868 г., N 131; 1876 г., N 129) признано, по смыслу 1317 ст. Зак. Гражд., что штраф взыскивается только тогда, когда суд приступит к разделу по закону; буде же в течение 2 лет полюбовный раздел не состоялся, но никакой суд не приступал еще к разделу, то штраф не следует взыскивать. Штраф взыскивается даже и в тех случаях, когда наследники придут к соглашению и даже когда совершат раздельный акт без участия суда, лишь бы суд приступил к разделу (Касс. реш. 1876 г., N 511).
Раздел полюбовный есть окончательный; но судебный раздел может еще подлежать изменению. Если кто-либо из соучастников сего раздела считает себя обиженным, может, в течение 1 года со времени утверждения первого раздела, просить о переделе, причем должен доказать, что раздел учинен был несогласно с законными правилами (1332, 1334, 1335).
Вышеуказанный порядок раздела крайне неопределителен; законные правила неполны и неясны, так что невозможно было на основании их разрешать с точностью возникающие постоянно недоумения. Суду не указано было руководственных правил о порядке производства в таком важном деле, каков судебный раздел, и дела этого рода затягивались нередко в судах на продолжительное время, не получая разрешения. Разделение всего имения на равномерные жребии требует точного, внимательного и на хозяйственном опыте основанного расчета и оценки, – дело затруднительное для всякого частного хозяина, а тем более для суда, особливо для суда, устроенного по приказному или канцелярскому обряду; закон не указывал даже возможности суду избирать для сей хозяйственной операции опытных людей, мнение коих служило бы основанием расчета. Очевидно, что при таком порядке жеребьевый раздел становился делом канцелярской работы, в редких только случаях мог быть равномерным и во всяком случае возбуждал справедливые жалобы со стороны участников; а для разрешения сих жалоб и возражений не указано было в законе надежных и правильных способов. Очевидно, что в судебном производстве о разделе надлежало по необходимости ожидать противоречивых заявлений и объяснений со стороны участников, которые в сущности состояли между собой в споре относительно разверстки общего имущества по количеству, качеству и местности. Однако же закон не ставил сих участников в положение тяжущихся и не подчинял их правилу состязательного производства во взаимных объяснениях. В недостатке же сего правила таковые объяснения хотя и поступали в суд, но поступали беспорядочно, получали односторонний вид и случайное значение. Все производство о разделе было частным производством, без состязания, без прямого решения и апелляции; действие суда, лишаясь судебного свойства, принимало вид административной меры, и постановление суда о разделе могло быть основано, в отсутствии правильного порядка, на произвольном воззрении, которое всего менее согласовалось с делом, требовавшим уравнения прав и интересов по имуществу. Для поправления ошибок и несправедливостей такого раздела, закон допускал возможность передела, но и для сего действия не указывал правильного порядка, так что оставалось и доныне остается в неизвестности, каким образом передел производится, где следует просить о переделе и можно ли допускать в передельном производстве состязание и апелляцию. На постановление Уездного Суда или Палаты о разделе приносились обыкновенно высшему суду частные жалобы в порядке частного производства; но разрешение сих жалоб не могло заменять передела, ибо высший суд мог поверять действие низшего лишь с формальной стороны и еще менее, чем низший суд, имел пред собой данных для суждения о хозяйственной равномерности раздела. Иногда Сенат истолковывал, что просьба о переделе должна быть подаваема частным порядком в тот же суд, коим учинен раздел, и что передел, производимый тоже частным порядком, должен быть окончательным; иногда допускал апелляцию на постановление о переделе, хотя и без состязания учиненное; иногда толковал, что после частного производства о переделе может быть еще допускаем иск о разделе с состязательным производством; но все эти толкования не имели прямого основания в законе. Положенный штраф за нераздел, и штраф весьма тяжкий, имел вид несправедливого взыскания, которое могло падать на невинного одинаково с виновным, ибо признание виновным того или другого из участников становилось, в отсутствии порядочного суждения, делом судебного произвола. Вообще законы наши о судебном разделе изданы были в той мысли, что несогласие в разделе есть нарушение мира и порядка, которое должно быть прекращено высшей властью, с наказанием виновному; но такой взгляд, очевидно, противоречил обнаруживавшимся всякий раз на практике требованиям справедливости в деле чисто гражданского свойства, и потому закон о разделе постоянно оказывался несостоятельным.
Первая попытка к установлению правильного производства о разделе последовала при издании, в новом уставе гражданского судопроизводства, правил о судопроизводстве охранительном: сюда включена глава о разделе наследства (ст. 1409–1423); но правила сии действуют только в тех местностях, где введены новые судебные уставы. Просьба о разделе наследства, состоящего в недвижимом, или в движимости на сумму свыше 500 рублей, (на низшую сумму дело идет в мировой суд), подается подлежащему Окружному Суду. На суд вызываются все совладельцы, и по явке прежде всего предоставляется им выбрать лицо, кому поручают разделить имение и составить проект раздела. Если такого соглашения не последует, суд приступает к разделу. Делами заведовает член-докладчик, а проект раздела может быть составляем, по поручению его, нотариусом, который может призывать к описи и расценке имения судебного пристава и сведущих людей. К проекту раздела присоединяется заключение о принятых к сему основаниях. Прежде постановления суда допускается между тяжущимися объяснительное производство (904–908 ст. Уст. Гражд. Судопр.). После судебного постановления о разделе, учиненного в сем «охранительном» порядке, допускается иск о переделе, разрешаемый общим состязательным и апелляционным порядком.
А. Относительно раздела между наследниками нераздробляемых имуществ есть особое правило. Такое имущество достается во владение одному, и он обязан удовлетворить прочих, по соразмерности частей, сообразно со справедливой оценкой. Право взять такое имущество, если оно только есть, принадлежит старшему наследнику (кого считать старшим, закон не объясняет: надо полагать, что старший есть ближайший по крови, или между равными – старший по рождению), а за отказом или за несостоятельностью к расценочному платежу (следующему) – младшему (ст. 1324 и 1325 о горных заводах). Раздел имений, заложенных в кредитных установлениях, допускается с согласия оных, с переводом и раздроблением долга, или без перевода, по специальным правилам (1329). Когда в числе наследников есть малолетние, их заменяют опекуны, под наблюдением опеки, и раздельный акт представляется на утверждение Окружного суда или соединенной палаты (1336).
Б. Особые формальности при наследственном разделе поиезуитских имений, для целости обеспечения казны, – см. прил. I к прим. 1 к 1 ст. Уст. каз. им., изд. 1893 г., ст. 12, 14.
В. Для Черниговской и Полтавской губерний существовали до 1874 г., по Литов. стат., особые правила. Кроме окончательного или вечного раздела допускался еще временный, в случае невозможности приступить к окончательному разделу. Для Черниговской губернии особенно существовало такое правило: если дележ предстоит поколенный, и в каждом колене есть хотя одно лицо совершеннолетнее, то допускается окончательный раздел, хотя бы другие наследники были малолетние. Но когда предстоит дележ поголовный, и в числе наследников есть хотя один малолетний, то окончательный раздел не допускается, кроме чрезвычайных случаев, и тогда уделы составляются Гражданской Палатой, а раздел требует сенатского утверждения. В общем же порядке, до совершеннолетия меньших братьев, допускался только временный раздел, который сам собой входил в окончательную силу, если оставался не опровергнутым в течение 10 лет со времени вступления малолетних в совершеннолетие; а до того времени (Черниг.) никто из делящихся не вправе был отчуждать или закладывать свой участок (Зак. Гражд. изд., 1857 г., ст. 1316, 1333, 1337).
Эти особенности отменены в 1874 г. двумя Высочайше утвержденными мнениями Гос. Сов. Действие 1337, 1316 и 1333 ст. Зак. Гр. изд. 1857 г. прекратилось, и обе губернии подчинены в разделах общему закону, но при сем оговорено, что к прежним разделам применяется и прежняя сила 1333 ст. В Черниг. и Полт. губ. при разделе отцовских имений между потомством, от разных браков рожденных, ежели сумма приданого какой-либо из жен превосходила приданые других жен, то излишек при разделе должен быть по расчету уплачен детям от той жены, которая внесла более приданого (Зак. Гражд. 1321).
Г. У Магометан, подведомых Оренбургскому духовному собранию, дела о наследственных разделах ведаются, по желанию участвующих, духовной властью и решаются по магометанскому закону; но жалоба на таковой раздел гражд. начальству влечет за собой рассмотрение дела в общих судебных местах по общему закону (1338 ст.). Подобное же правило существует и для магометан Таврической губернии. Если раздел бесспорный, то он совершается духовенством, но акт раздела, под названием яфты, совершается по правилам нотариального положения (ст. 1339), см. Касс. реш. 1873 г., N 538.
Е. О разделе пенсий и единовременных пособий между вдовой и детьми умершего на службе чиновника см. Свод. Воен. Пост. ч. II кн. 2 ст. 941 по V Прод.
Примеры и вопросы из практики
А. Доказательством раздела служит вообще раздельный акт, формально совершенный. Но в отсутствии такового акта спрашивается: можно ли доказывать иными актами и событиями действительное совершение окончательного раздела? Думаю, что можно, но в особенных только случаях. Напр., если бы оказалось, что между всеми сонаследниками, совершеннолетними, составлен был по взаимному полюбовному согласию раздельный акт, хотя и домашний, сообразно коему все вступили в отдельное владение своими долями и продолжали таковое владение в течение давности бесспорно, надлежало бы, кажется, за сим устранить иск о разделе, ибо здесь давностью отдельных владений покрывается несоблюдение правила о совершении (1337 Зак. Гражд.) акта о переходе права собственности. В отсутствии же давности иск надлежало бы принять, и раздел признать не окончательно совершившимся, так как воля делящихся выразилась без исключительного ее действия, положенного в законе. Если бы подобный акт составлен был не между всеми сонаследниками, но лишь между некоторыми, то в сем случае давностью мог бы быть устранен иск о разделе лишь со стороны лиц, участвовавших в акте и имевших отдельное владение, но иском со стороны лица, не участвующего в акте, домашний раздел прочих сонаследников был бы разрушен, несмотря на давность их владения, ибо право на раздел общего имения относится к целому наследству, составляющему общее достояние, а не к отдельным частям его. Отдельное владение одного из сонаследников, хотя бы продолжалось бесспорно в течение давности, также не уничтожает права всех прочих требовать раздела по вышеприведенной же причине (разве бы такой владелец продал или подарил свою часть стороннему лицу, владение коего, основанное уже не на наследстве, а на самостоятельном акте договорного укрепления, объемлется давностью). Притом, такое владение само по себе не служит еще признаком собственности, ибо наследники могут по взаимному согласию временно распределить между собой действительное владение и распоряжение отдельными имениями, но все-таки идеально и юридически предполагаются в общем владении целым наследством. (Ср. реш. по делу Чарномских, Сборн. Сен. реш. II N 176. Реш. по делу Филипповых там же, N 955).
Касс. реш. 1872 г., N 456 признано, что обязательство наследников о выдаче кому-либо из них вместо его части, из оставшегося в их общем владении наследственного недвижимого имущества, денежного капитала, может законно состояться на основании 1342 и 728 ст. (Зак. Гражд., изд. 1887 г., ст. 708 и прил. I, ст. 1, 18) только в форме раздельной записи, явленной у крепостных дел, или совершенной у нотариуса, и обращаемой, по 157 ст. Нотариальным Полож., в крепостной акт; поводом к сему приведено, что предмет, цель, последствие подобного соглашения есть установление нового права собственности на недвижимое имущество.
По делу Роси Сенат (Общ. Собр. 1867 г.) признал, что раздельная запись, составленная домашним порядком и нигде не явленная, не составляет законного акта укрепления недвижимого имущества и не имеет никакого значения.
Б. С разделом соединяются уступки. Если уступка по расчету может оказаться превышающей ценность принимаемой доли, можно ли доказывать, что эта уступка в сущности была даром и применять к ней правило о возвращении дара? Нельзя, если в условии прямо не сказано, что это дар. См. мнен. Гос. Сов. 1851 г. по делу Соломирских.
В. В случае отречения одного из сонаследников от следующей ему доли, она поступает в приращение части остальных, неотрекшихся; но никак не следует долю эту, отделяя, признавать выморочной. Этот вопрос, хотя неоспоримо решается в этом смысле, возбуждал, однако, разногласие в судебной практике. Ср. мнен. Гос. Сов. 1851 г. по делу Павловской.
Г. Иван отдал свое имение в пожизненное владение Марье и из сего имения назначил 500 душ Федору, представив Марье при жизни своей выделить ему те 500 душ из Вологодских или Костромских вотчин, по ее усмотрению. Марья при жизни своей учинила означенный выдел, но по смерти ее нельзя лишить наследников Ивана права оспаривать сей выдел и требовать законного уравнения частей, ибо выдел во всяком случае означает назначение наследственной части, а наследственная часть Федора определена Иваном в пропорции 500 душ и без означения местности. Выдел сей мог быть произведен Марьей не в силу вотчинного права, а в силу душеприказчичьего права, и в сем смысле не могла она нарушить вотчинное право сонаследников на пространство и местность владения. Вотчинное же право на выдел не могло ей и принадлежать, поколику сама она не имела полного вотчинного права на завещанные имения.
Д. По делу Карпова с Брежинским (Сборн. Сен. реш. т. I, N 598) признано, что наследник нераздельного вместе с другими сонаследниками имения не имеет права, помимо сонаследника, уступить лицу стороннему свою наследственную часть, и что вообще не дозволено законом (кроме Черн. и Полт. губ.) уступать право на отыскивание открывшегося наследства.
Е. Вправе ли кредиторы умершего вотчинника воспрепятствовать разделу его имения между наследниками или выделу отдельным наследникам указных частей, – буде умерший вотчинник не признан несостоятельным, а состоит только имение его под опекой или попечительством для очищения долгов. Сборн. Сен. реш. II. 679.
Обыкновенно решается, что не могут, и нет основания спорить против правильности такого решения, относительно кредиторов, коих сроки еще не истекли, претензии не оглашены и не возбуждено предположения о несостоятельности должника. Если кредиторы, в таком положении дела, не могут возражать против отчуждения имения должника, при жизни его, то тем менее могут возражать против раздела имения между наследниками, так как личная ответственность за долги умершего переходит на его наследников, а простые кредиторы верили только личной исправности и состоятельности своего должника. Если же на имении лежало запрещение, то запрещение это не снимается с имения и при разделе, и каждая часть целого имения, по разделе, отвечает по претензии, обеспеченной целым имением. См. еще о сем реш. по делу Поливанова, Юр. Вестн. 1872 г., N 5.
В деле Нешкович окружной суд отказал во вводе во владение по раздельному акту одной из наследниц, на том основании, что на разделенном имении лежит запрещение повсеместное к лицу прочих сонаследников и что за сим запрещением переход частей имения от одних наследников к другим не может быть утвержден вводом во владение отдельными частями. Сенат (Кас. реш. 1873 г., N 1249) рассудил, что нет основания препятствовать разделу имения в том случае, когда на одном или нескольких соучастников числятся долги, обеспеченные запрещением, и если при разделе должник, на части которого числится запрещение, не уступает своей части в собственность другим сонаследникам (Нотар. Полож. 158 п. 4; Зак. Гражд., ст. 1324), то не может быть и речи о переходе к другому лицу состоящего под запрещением имения, так как при разделе имения между соучастниками, соответственно долям каждого из них, не устанавливается переход права собственности на имение к другим лицам, а лишь определяются те части, которые каждому из соучастников в имении принадлежат. А как в раздельном акте не оказалось постановления о переходе частей имения от должников к другим соучастникам, то и не было основания препятствовать вводу во владение Нешкович назначенной для нее частью.
О переходе имения между сонаследниками по разделу см. еще рассуждения в 1 части сего курса стр. 96 и сл.
Ж. По возникшему в д. Моллериус (Собр. Сен. реш. II, N 1094) вопросу о том, могут ли быть выдаваемы сонаследникам доходы со взятого в опеку имения, до окончания судебного раздела, Сенат рассуждал, что закон не предписывает отсылать эти доходы для хранения, и потому упомянутый вопрос разрешается, смотря по обстоятельствам дела. Причиной отказа наследникам в выдаче доходов может быть лишь то обстоятельство, ежели между сонаследниками происходит спор не только о порядке раздела, но и о степени участия каждого в наследственных правах, т.е. о доле наследства, следующей каждому. Если же о сем спора нет, то нет основания отказывать в выдаче доходов соразмерно доле каждого наследника.
Глава четвертая. Выдел и приданое
§ 51. Понятие о выделе и юридические его свойства. – Сходство его с наследованием и с даром. – Ограничения выдела. – Безвозвратность выдела и возможность поворота. – Учет выделенного при открытии наследства. – Отказ от наследства при выделе. – Приданое и рядная запись. – Выдел и приданое по Литовскому статуту. – Примеры и судебная практика
В семейном быту дети и вообще нисходящие предполагаются в течение неопределенного времени на жительстве в общем доме с начальником семейства. Когда кто-либо из них, основывая свою семью и свое хозяйство, выходит из дома и начинает отдельное жительство и домостроительство, он отделяется от общего корня, садится на своем корню. Для отдельного хозяйства, буде нет у него своего личного приобретенного имущества, он нуждается в средствах, т.е. в имущественном капитале. Этим капиталом снабжает ее начальник семейства из своего имущества. В этом случае начальник семейства наделяет отделившегося члена по усмотрению своему, соображаясь с хозяйственной его нуждой и с своей вольной щедростью и благоволением, равно как и с мерой наличных средств своих. Но независимо от сего начальник семейства может при жизни своей передать отделившемуся члену семьи часть своего имущества, соображаясь с наследственным правом его на сие имущество, – правом, которое возникло бы и осуществилось бы не ранее смерти начальника семейства. Это действие называется выделом. Выдел определяется в законе так: родители и восходящие родственники властны выделять детей своих и потомков, назначая им часть из своего имущества (994 ст. Зак. Гражд.).
Отсюда следует:
1. Выдел есть свободное действие вотчинника. При жизни его никто не вправе, по родству, требовать от него какой бы то ни было доли наличного имущества в свою собственность, даже и родные дети (ст. 995).
2. Понятие о выделе свойственно только прямому отношению родителя к одному из своих нисходящих, к сыну, к дочери, к внуку и т.п., между коими существует наследственное право в прямой линии. К отношению в боковой линии понятие о выделе не применяется (Касс. реш. 1880 г., N 150). Если бы дядя, хотя и бездетный, захотел при жизни своей передать своему племяннику, хотя бы и единственному наследнику своему, часть своего имущества, акт передачи был бы дарственной записью, но не выделом, в строгом юридическом значении сего слова.
3. Выдел есть предварение наследства, с одной стороны, с другой стороны, имеет сходство с даром78. Это безвозмездное или дарственное отчуждение имущества в пользу лица, коему по крови принадлежит ожидаемое наследство в сем имуществе, и с прямой целью не только одарить, но и осуществить ожидаемое наследственное право. Посему выдел, хотя и зависит от свободной воли вотчинника, подлежит необходимо тем же ограничениям, коим подвергается всякое безвозмездное отчуждение имущества в пользу законных наследников. Итак, мера выдела совершенно свободна для вотчинника в приобретенном его имуществе, но ограничена в родовом. Из родового имения вотчинник может выделить своему потомку не более наследственной части, следующей ему по закону, т.е. не более той части, которую выделяемый получил бы по праву наследства по смерти выделяющегося вотчинника (996 ст.). Однако при жизни вотчинника невозможно определить с точностью, кто именно даже из нисходящих будет после него действительно наследником в минуту его смерти и в какой доле. При жизни своей вотчинник видит около себя детей и детских детей, внуков и правнуков живыми. Но когда он умрет, может оказаться, что некоторых детей его нет уже в живых, и в их место наследуют внуки, а иные дети его будут живы и устранять собой наследственное право детей своих, внуков умершего вотчинника. По буквальному смыслу 994 ст. вотчинник может, однако, при жизни своей, произвести выдел и в пользу внука, при живом отце его, а своем сыне, и такому выделу живой отец не вправе воспрепятствовать, ибо сам он в минуту смерти не имеет действительного права на наследство после отца своего, стало быть, и права на иск о сем наследстве, даже в родовом имуществе. Но произведенный выдел, оставаясь в полной силе при жизни владеющего вотчинника, по смерти его может оказаться незаконным и быть признан недействительным, если внуку назначено было родовое имущество, а при смерти вотчинника окажется тот внук, при живом отце своем, неимеющим наследственного права в имении деда. За всем тем, однако, до уничтожения такого выдела, выделенному лицу принадлежит полное вотчинное право в имении, с законным владением, стало быть, иск за сие владение с него невозможен и, отчуждение сего имения, если бы совершилось от лица владельца прежде смерти первого (выделившего имение) вотчинника, получит безвозвратную силу, не оставляя места и иску о вознаграждении.
4. Выделом безвозвратно переводится право собственности на имение так же, как и даром. Но выдел существенно отличается от дара основной своей идеей – не только одарить, облагодетельствовать, но еще отдать имение при жизни тому родичу потомку, кто предполагается наследником к сему имению. Что именно было на мысли у вотчинника при передаче имения – одна ли дарственная цель, или цель выдела, это определяется видом и названием акта.
Во всяком случае дарственное свойство всякого выдела неоспоримо и дает акту основное значение: какое бы имущество ни было предметом выдела – родовое или благоприобретенное, оно передается даром, причем выделяющий жертвует, во-1-х, свое владение и пользование сим имуществом, которое принадлежало бы ему до смерти; во-2-х, вместе с вотчинным правом своим поступается и законной возможностью отчуждения сего имущества, которое принадлежит ему как собственнику. поскольку же выдел относится к роду дарственных актов (как один из видов сего рода), то несомнительно кажется, что и к выделу применяется общее право (974 ст.) требовать возвращения дара за неблагодарность. Ничто не препятствует совершать выдел на условии, подобно как и дар (975, 976, 977 ст. Зак. Гр.).
5. Выделом предваряется наследование, вполне или частью, но не устраняется безусловно возможность наследования в прочем имении вотчинника, когда по смерти его действительно откроется наследство. Тогда наследство откроется и для выделенного лица, поколику он еще не вполне удовлетворен своей наследственной частью, в той мере, в какой она следует ему в минуту смерти вотчинника (997 ст.). Кто сполна выделен в родовом имуществе, тот считается окончательно отделенным; но кто получил не сполна свою наследственную долю, тому она дополняется при разделе наследства, когда оно откроется. Иное дело относительно благоприобретенного. Какую бы часть ни получил выделяемый, по случаю отдела, т.е. больше или меньше наследственной, он почитается окончательно отделенным в благоприобретенном имуществе и, по открытии в оном наследства, не может требовать уравнения в разделе с прочими наследниками. (Что 997 ст. надлежит разуметь в сем смысле, то подтверждается толкованием, принятым в мнении Государственного Совета 9 ноября 1842 г. П. С. З. N 16187, приведенном под 192 ст. Зак. Гр.) Однако передача благоприобретенного имущества потомку при жизни вотчинника сопровождается сим ограничением только тогда, когда совершена посредством отдельной записи. Притом, разумеется, право выделенного лица, как в родовом, так и в благоприобретенном имуществе, не преграждает наследственных прав его на имение вотчинника, когда это лицо является единственным после него наследником и ему не приходится делить имение с другими лицами, имеющими такое же наследственное право.
Кто выделен в благоприобретенном, тот не устраняется от наследования в родовом, разве при самом выделе он признал себя вполне удовлетворенным и отказался от участия в наследовании, когда оно откроется (997, 998).
Этим отказом от дальнейшего участия в наследстве выделенный принимает на себя обязательство: не входить в состязание с прочими наследниками при разделе родового имения. 998 ст. Зак. Гражд. буквально говорит об устранении от наследства в родовом имуществе выделенного в благоприобретенном; но из употребленного выражения: «буде при выделе не отказались от участия в наследстве» следует, кажется, заключить (в связи со смыслом 1002 ст. о приданом), что вообще по поводу выдела из какого бы то ни было имущества – из родового или благоприобретенного – можно отказаться от дальнейшей претензии на наследство, и что сей отказ сохраняет обязательную силу.
По смыслу 998 ст. обязательство выделенного потомка предполагается односторонним. Можно ли признать по поводу выдела действительность взаимного соглашения между выделенными наследниками вотчинника в таком смысле, что выделенный обязуется не искать ничего более того, что ему выделено, и прочие наследники обязуются не спорить по открытии наследства, против выделяемой ему части? Не думаю. Отказаться можно от того только, на что имеешь право; а наследники, при жизни вотчинника, не имеют никакого права на его имущество и, по силе 710 ст. Зак. Гр., всякие записи об уступке ожидаемого наследства недействительны. Закон наш не признает договоров о наследстве. Выделяемому наследнику прямой закон предоставляет в особом случае возможность отказываться от участия в наследстве, и этот отказ можно понять, ибо здесь наследственное право лица осуществляется при жизни вотчинника, по воле его, и это лицо может признать себя, по количеству и качеству получаемого имения, вполне удовлетворенным всей следующей ему частью, признать, т.е. все сполна наследственное право свое, по количеству, существенным. За этим признанием своей доли полной ему уже нечего и искать при открытии наследства, ибо до открытия все его право уже исчерпано. Напротив того, наследнику, невыделенному, не на чем утвердить юридическое значение своего отказа, ибо как ему отказаться от права на иск, когда он еще не возник? Что уступать, когда предмет уступки не во власти? О чем соглашаться с выделяемым наследником, когда предметом соглашения служит имущество, в коем одна сторона получила право, а другая никакого права не имеет?
Сам отказ выделяемого от участия в наследстве имеет, как выше замечено, условное значение. Он сохраняет силу относительно тех лиц, кои в минуту выдела представляются, на одном праве с выделяемым, наследниками живого вотчинника, т.е. относительно его нисходящих, которые могли бы быть отделены в имуществе на одинаковом основании с лицом, на имя коего делается выдел. Так, напр., когда выделяется сын, имея в виду своего брата и племянника, братнина сына, – отказ выделяемого сохраняет свою силу, хотя бы при открытии наследства одно из сих двух лиц оказалось умершим (напр., племянник) и оставалось в живых другое (брат), которому, стало быть, в силу наследственного приращения, достанется все остальное имущество умершего вотчинника. Но когда, при смерти вотчинника, вовсе не оказывается налицо тех наследников (в нисходящей линии), которые в минуту выдела относились к наследству на одинаковом основании с выделяемым, и нет у них представительного потомства, тогда уже несправедливо было бы распространять силу отказа и на права наследников в боковой линии, т.е. за силой отказа, сделанного выделяемым сыном в виду своих братьев и родных племянников, предоставлять отцовское наследство, помимо живого сына, родственникам умершего в боковой линии.
Итак, по общему закону, выдел, сам по себе, одним юридическим значением не исчерпывает наследственной доли: он исчерпывает ее только своим количеством, буде оно вполне приходится в меру наследственной доли. Если оно ниже сей доли, то можно еще требовать дополнения, при разделе наследства. Напротив того, по Литовскому статуту (правило 999 ст., сохраняющее силу для Черниговской и Полтавской губерний), выдел всегда предполагается полным осуществлением наследственного права, и кто выделен, тот уже почитается совсем отделенным в наличном имении отца или восходящего родственника и устраняется от участия в остающемся после него наследстве, но не лишается права на то, что может дойти к нему по праву представления. Но зато отделенный сын не лишается ни малейшей части того, что ему выделено, хотя бы при открытии наследства прочие наследники не получили себе, по соразмерности, надлежащих частей. Предоставленное отцом, при жизни его, сыну, в виде дара, а не выдела, не полагается в зачет и не лишает одаренного права участвовать в разделе отцовского наследства (Зак. Гр. 999, 1133).
Актом выдела служит отдельная запись, совершаемая по правилам Нотариального Положения, а где оно не введено – являемая у крепостных дел (1000 ст. Зак. Гр.; Нотар. Полож. ст. 65, 158).
С имуществ, переходящих по отдельным записям, взимается пошлина на тех же основаниях, как и с наследств (т. V изд. 1893 г., Уст. о пошлин., ст. 152 и след.).
Выдел может быть совершен в пользу дочери или внука, равно как и в пользу сына или внука, но когда он делается по особому случаю замужества, тогда получает особливое значение приданого и рядной записи. Понятие о выделе относится, как выше замечено, к уступке в пользу детей и нисходящих, а приданое, по смыслу 1001 ст., может быть назначаемо в пользу дочерей и родственниц.
Закон приданого подобен закону выдела: из замужних дочерей те только почитаются отделенными, которые в подписанных ими записях за себя и наследников своих добровольно отреклись от дальнейшего участия в наследстве. Если такого отречения не сделано ни в записи, ни с ином письменном акте, то дочь не лишается права на дополнительное удовлетворение в меру своей наследственной доли, по открытии наследства после родителей (1002, 1003 ст.). Но когда дочь, по случаю назначения приданого, отреклась от дальнейшего участия в наследстве, то, по открытии оного, не лишается ни малейшей доли из того, что ей выделено, хотя бы прочие наследники не получили всего по соразмерности частей (1104).
Акт приданого – рядная запись – должна быть совершаема крепостным порядком, если приданое вполне или частью состоит из недвижимого имущества: записи на одно движимое имущество пишутся дома, но с явкой у крепостных дел в тех местностях, где не введено Нотариальное Положение. Все, входящие в состав приданого капиталы деньгами, векселями и билетами должны быть обозначаемы в записи с точностью. Рядная запись должна быть совершаема и являема или прежде брака, или не позднее 6 месяцев по совершении оного (1006–1008 ст.). Последнее правило имеет важное значение на случай несостоятельности лица, от имени коего выдана рядная запись (ср. Уст. Суд. Торг., изд. 1893 г., ст. 554–556).
С имуществ, переходящих по рядным записям, берется пошлина по тем же основаниям, как с наследства (т. V, Уст. о пошлин. изд. 1893 г., ст. 152 и след.).
О юридическом значении приданого, как имущества жены, см. на стр. 126.
Рядная запись выдается обыкновенно или на имя дочери, или на имя зятя, или на имя родителей его. Во всяком случае, когда акт выдается не прямо на имя невесты, он, по существу приданого, означает предоставление права собственности на имущество не тому, кому выдается акт или поручается имущество, хотя бы в распоряжение, но тому, к кому назначение приданого относится, т.е. дочери или родственнице, получающей приданое (см. Общ. Собр. Сен. 1870 г., по д. Борисовой, 1871 г. по д. Лукьянова).
Рядная запись, как и акт о приданом, служит актом на имущество, составляющее собственность жены, или обязательством, предоставляющим жене право требования. А как по нашему закону имущество жены не соединяется с имуществом мужа и не переходит в его собственность, то и следует, что по рядной право иска принадлежит вообще жене, а не мужу, который без полномочия от жены не распоряжается ее имуществом. С рядной не следует смешивать обязательства, выдаваемые родителями или родственниками по случаю замужества, в видах не частного, а служебного интереса, как-то так назыв. реверсы, даваемые родителями невесты (см. § 4) по случаю офицерских браков, с обязательством обеспечить семейную жизнь супругов на определенную сумму из наличного имущества. См. по сему предмету д. Оплачко в Общ. Собр. Сен. 25 мая 1873 г.
Наше законодательство о приданом, в нынешнем его состоянии, справедливо признают недостаточным. Закон наш разумеет приданое с точки зрения выдела и раздельности супружеских имуществ, но при этом совершенно оставлено без внимания особливое экономическое значение приданого в браке (как оно выражается в народном обычае и в общем представлении среди семейного быта); оставлено без внимания и то юридическое значение приданого, которое выразилось в римском и церковном праве, служившем в прежнее время у нас руководством для судебной практики (см. выше § 14). При действии нынешнего закона юридическое значение приданого, хотя бы принятого мужем при вступлении в брак, остается в совершенной неопределенности, вследствие чего и иски о приданом и о последствиях, из него возникающих, не могут получить основательного и справедливого решения. Их приходится решать на основании общих правил о праве собственности, о раздельности имуществ и об ответственности за распоряжение чужим имуществом, но этих общих начал, очевидно, недостаточно, ибо отношения супругов по поводу приданого, которое служит капиталом общего хозяйства, имеют совершенно особое свойство.
Желающих ближе вникнуть в этот предмет отсылаем к любопытной статье Оршанского О приданом (Журн. Гражд и Торг. Пр. 1872 г., N 6). Автор справедливо указывает на противоречия между нашим законом, не упоминающим вовсе о праве мужа на приданое жены, и обычаем, признающим некоторое право мужа на приданое, равно как и практикой, в силу коей рядные записи пишутся на имя мужа. Автор указывает и в законе нашем некоторые статьи, в коих косвенно выражается возможность приобретения для мужа, в получении приданого, напр., ст. 1009 (изд. 1857 г.), 1153, 66. Итак, хотя власть мужа над приданым существует в браке, права мужа на приданое жены вовсе не определены по Своду Законов.
С народным обычным воззрением на приданое можно ознакомиться по любопытной книжке г. Ефименко Приданое по обычному праву крестьян Архангельской губернии. Автор замечает в конце книги: по узаконениям со времени Петра, положившим резкую границу между старыми и новыми взглядами на приданое, это последнее может считаться полным выделом, и дочь называется отделенной только тогда, когда она в приданом наперед получит всю свою указную часть, или в рядной отречется от наследства; если же она не получила своей части сполна, то по смерти родителей может требовать ее из наследства, с зачетом приданого. По народным же обычаям, женщина, получившая приданое, – будь то скрута (одежда) или наделок (всякий прочий хозяйственный и денежный снаряд), – во всяком случае считается отделенной и не имеет никакого права на наследство после родителей. По существующим узаконениям, вследствие строго проведенного начала раздельности имуществ между супругами, приданое считается исключительной собственностью жены, и по отношению к этой собственности муж не имеет никакого права, даже права пользования; жена владеет, пользуется и распоряжается этим имуществом по своему усмотрению, независимо от мужа; она может даже отчуждать его в посторонние руки, или самому мужу. У народа же только платное приданое считается собственностью жены, а наделок составляет общее имущество супругов, которым распоряжается более муж, нежели жена. Наконец, относительно наследования мужа в приданом, народ ограничивает право его гораздо более, нежели закон, предоставляющий мужу 1/4 часть в имуществе жены.
Особые постановления о назначении приданого, взятые из Литовского статута, имеют силу для Черниговской и Полтавской губерний. Отец властен дать приданое дочери, по своему усмотрению, сколько хочет, как из родового, так и из благоприобретенного имения. Более того, что получила при жизни отца в приданое, дочь не может требовать и по смерти его от братьев и их нисходящих, хотя бы она и показывала, что отец ей вовсе приданого не давал при выдаче ее в замужество. Если отец умрет, оставив одну или несколько дочерей незамужних и не назначив им приданого, то всем им, сколько бы их ни было, назначается на приданое четвертая часть всего наследства; буде же при жизни такого отца одна или несколько дочерей вышли замуж, то остальные получают из четвертой части приданое, по общему расчету долей с замужними; когда на уравнение с подлинной долей приданого замужних дочерей братья не имеют средств, то из четвертой доли имения наделяют остальных поровну, а буде из четвертой доли остальным дочерям приходится более, чем дано замужним, то первым дается столько же, сколько было дано последним. Когда сестра, получившая приданое от братьев из четвертой части отцовского имения, умрет, не распорядившись оным при жизни и не оставив детей, или дети ее умрут до совершеннолетия, то приданое ее поступает к той из сестер ее, которая еще не выдана замуж и приданого не получила. Приданое, по общему порядку, обеспечивается на имении мужа посредством веновой или обеспечительной записи или переводится прямо на имя жены (1005 ст. Зак. Гр.).
Дополнением к вышесказанному о выделе и юридическом его значении служат замечания и рассуждения, помещенные в 1-й части сего сочинения, именно – об аналогии выдела с наследством, стр. 67, 88; с приданым – 69, 89, 90; с даром – 67, 68, 73, 75, 90; о дополнении частей – 86; о сделке в выделе – 89; о детях отделенных – 86–89.
Примеры и вопросы из практики
А. Посредством выдела имение, которое надлежало бы выделяемому потомку получить по смерти вотчинника, путем законного наследства, переходит к нему еще при жизни вотчинника. Спрашивается, распространяются ли на сие предваренное наследование все законные последствия наследования обыкновенного, наступающего по смерти вотчинника? Нет, ибо от времени вступления в наследство, в том и другом случае, есть существенная разница. В обыкновенном порядке наследования оно наступает в такую минуту, когда уже окончательно заключились все отношения умершего вотчинника по имуществу, следовательно, все, оставшееся после него наследство, составляет цельную массу прав и обязанностей, и преемник его все то принимает на себя, что лежало на умершем вотчиннике, когда принял наследственное имение. А в случае выдела наследник, вступая во владение выделяемым имуществом, принимает на себя только то, что по день выдела лежало на вотчиннике, как владельце сего имущества, но не принимает на себя за него такую ответственность, которая могла в лице его возникнуть после выдела. Несправедливо было бы, напр., подвергать выделенного наследника ответственности за личный долг прежнего вотчинника, образовавшийся после выдела: долг сей возник на нем уже тогда, когда он перестал быть собственником выделенного имущества, следовательно, сие имущество, как чужое, не может быть и в ответе. Итак, выделенный наследник может отвечать за последующие долги его лишь потолику, поколику, по смерти его, в качестве наследника воспользовался оставшимся после него имуществом (ср. реш. Сен. по д. Обрезкова. Сб. Сен. реш. т. II, N 457). Последующие после выдела, вновь возникшие кредиторы первого вотчинника могут возразить, что если бы выдела при жизни его не было, выделенное имение, войдя в состав открывшегося наследства, подверглось бы ответственности и по их претензиям; но это возражение неосновательно. Личные кредиторы вообще не вправе претендовать ни на что, не бывшее в собственности у должника в ту пору, когда возникло долговое их требование; претензия их может касаться только того, что у него в ту пору есть, а что уже дотоле отчуждено им, до того им дела нет; следовательно, если прежде чем возникла их претензия, должник заблагорассудил передать часть своего имения выделом, они не вправе опровергать сию передачу, разве бы могли доказать, что она совершилась недобросовестно и с злым против них умыслом.
Выдел зачитается в наследство, и потому кредиторы, коих претензии открылись ко взысканию до выдела, могут простирать претензию на выделенное имение, но лишь с минуты смерти вотчинника, от коего идет выдел, ибо лишь с сей минуты выделенное имение становится вполне наследственным у преемника. До тех пор (т.е. с совершения выдела до кончины виновника выдела) пользование и владение преемника сим имением, хотя и на праве собственности, составляет дар, на который кредиторы дарителя во всяком случае не имеют права, ибо дар не обязывает принявшего оный к исполнению каких-либо других обязанностей кроме добровольно принятых по условию дарения, и наследственная ответственность не соединяется с даром, хотя бы одаренный мог быть наследником по смерти дарителя (Сбор. Сен. реш. т. II, N 875).
Б. Наследство не дар, а переход того, что следует по праву. Но выдел есть предварение наследства, и поколику предварение составляет дар: дарится, стало быть, по воле владельца, вступление во владение и пользование, и само владение и пользование за все время с совершения выдела по смерть уступщика. Итак, поколику выдел есть дар, он подчиняется закону дара, – стало быть, может поворотиться к дарителю по силе закона о дарении и, в случае бездетной смерти одаренного сына, возвращается отцу (ср. Сб. Сен. реш. т. I, N 77).
В. Если отдел сына родителем сделан не безусловно, а под условием – сыну платить за отца поименованные долги его или производить выдачу и т.п., следует ли такой отдел признать чисто наследственным и на сем основании, по открытии отцовского наследства, положить отделенному сыну супротив братьев его неотделенных в учет полученное им имение или надлежит признать, что уступка имения за положенный платеж не была в сущности выделом, а особого рода возмездным договором и на сем основании допустить отделенного сына к участию в наследстве неограниченно? По д. Чалеевых (Сб. Сен. реш. т. I, N 619) Сенат решил вопрос в последнем смысле, но едва ли справедливо, ибо запись, о коей возник спор, называлась отдельной. Справедливо в подобном случае допустить при разделе учет выделенного имения совокупно с той ценностью, которую должен заплатить за оное отделенный сын по условиям записи.
Г. Боженков завещал свое имение, после пожизненного владения жены, в собственность детям, в том числе дочери Надежде; но после составления завещания отделил этой дочери, от имени своего и жены своей, 15 душ крестьян с землей, завещания же не изменил до смерти. По смерти его, при открытии наследства, надлежит ли зачесть его дочери полученное ей на выдел имение в ту долю, которая следует ей по завещанию отца? Не надлежит (реш. Моск. Общ. Собр. 1858 г.), ибо завещание не отменено, а запись, по коей отделено отцом при жизни имение дочери, есть особый акт воли вотчинника, не зависящий от завещания, которое есть особый акт той же воли. Выдел подлежит учету лишь в законное наследство, с коим соизмеримо право выдела, а не в наследство завещательное.
Д. Если дочь, получив приданое, не отреклась от участия в наследстве, то не устраняется от наследства. Она может получить остальное, что следует в указную часть. Не устраняется она и от того, что могло быть ей завещано из благоприобретенного имения, хотя завещание составлено было ранее рядной записи, разве бы оказалось, что в рядную запись вошло то же самое имение, которое назначено и по завещанию. Ср. Касс. реш. 1886 г., N 60 и реш. Сен. по д. Вейс. Журн. Мин. Юст. 1862 г., N 1.
1890 апр. 11 N 40. – В деле Языковой Гр. Касс. Деп. разрешил вопрос: имеет ли право на участие в наследстве после родителей дочь, отрекшаяся при выходе в замужество (или ее потомство), в случае, если при открытии наследства осталась в живых только замужняя сестра, вышедшая замуж при жизни умершего вотчинника, – в утвердительном смысле, ввиду того, что указанное в ст. 1002 Зак. Гражд. отречение относится лишь к правам поименованных в ст. 1004 лиц, т.е. из числа сестер – к незамужним.
1890 мая 23 N 55. – Екатерина Шевлягина, в рядной записи, отреклась от наследства, которое могло бы открыться не только после отца, но и от прав на открывшееся уже наследство после матери, а затем предъявила иск о признании этого последнего отречения недействительным. Московская судебная палата признала, что отречение Шевлягиной от наследства после матери не может почитаться для нее обязательным, и Гражд. Касс. Департ. такое заключение признал правильным, ибо, по точному смыслу 1002 и 1003 ст. Х т. I ч., отречение от наследства, допускаемое в рядных записях, может иметь место лишь при жизни родителей и потому применимо только к будущему наследству, а не к тому, которое уже открылось ранее составления рядной записи.
Глава пятая. Право выкупа
§ 52. Понятие о выкупе. – История выкупа в русском законодательстве. – Имущества, подлежащие и не подлежащие выкупу. – Кто допускается к выкупу и в какой срок? – Вознаграждение и платежи. – Порядок производства дел о выкупе. – Обратный иск владельца. – Выкуп в прибалтийских губерниях
Выкуп, по определению нашего закона (З. Гр. 1346), есть право родственников на обращение к себе родовых имуществ, отчужденных по продажам во владение чужеродцам. Право это установилось в древности, для охранения интересов, соединенных с наследственным поземельным владением. Интересы эти, имевшие в прежнее время особое общественное и политическое значение, представлялись столь важными, что им должна была уступить хозяйственная выгода стороннего приобретателя, как скоро род в лице одного из своих членов требовал имение обратно. Сторонний приобретатель обязывался отступиться от имения. К ограждению его интересов в приобретении служили:
1. Срок, вначале весьма продолжительный, по истечении коего право на выкуп утрачивалось; 2. Обязанность выкупающего возвратить покупщику заплаченные за имение деньги и удовлетворить его за все, что прибыло в имении в течение его владения, усиливая эту обязанность и затрудняя тем выкуп, закон усиливал и ограждение покупщика в его интересах; 3. Запрещение выкупа самому продавцу, равно детям его и внукам.
Право выкупа, судя по дошедшим до нас судебным актам старого времени, существовало и было признаваемо и ранее XVI столетия, но первые определения положительного закона о сем праве встречаются в Судебнике 1550 года, откуда оно перешло, с некоторыми изменениями, и в Уложение. Старый срок выкупа был 40-летний. Выкупу подлежали только вотчины родовые, выслуженные и купленные от казны из поместья в вотчину, а не купленные; у посторонних могли быть выкупаемы вотчины не только проданные и заложенные, но и промененные в чужой род (в Уложении уже не упоминается о выкупе промененных вотчин), а с 1679 г. и подаренные в чужой род. Кто выкупил вотчину, тот уже не мог продать ее в чужой род (и это правило не принято в Уложении). Выкупная сумма определялась первоначально не по цене продажи, а по определенной цене четвертей сообразно роду и качеству земли, но с 1646 года велено выкупать вотчины за ту цену, за которую они проданы. За прибылое строение положено было платить сначала по суду, т.е. по оценке, но Уложением велено производить за сие плату по показанию владельца, у кого выкупается имение.
Право выкупа, тесно связанное с законом наследования, изменилось с изданием Указа 1714 года о единонаследии; но вслед за уничтожением этого порядка издан был в 1737 году новый закон о выкупе, составляющий основание нового права. Срок выкупа сокращен до 3 лет, с одной стороны, к устранению для покупщиков продолжительной неизвестности, с другой стороны, для охранения, в пользу рода, целости имения, о которой не заботились приобретатели в виду 40-летнего срока на выкуп. За прибылое строение велено, согласно указу Петра I, платить по оценке. В 1744 году последовали новые изменения в определении права родственников на выкуп. Оно предоставлено детям и внукам продавца, после его смерти. Ограничено право выкупа для дальних родственников, – во-1-х, необходимостью испрашивать дозволение от ближайших к продавцу членов рода; во-2-х, назначением (вскоре, впрочем, отмененным) линии родства, за пределом коей право выкупа прекращается. Наконец, в 1766 году состоялось, по возникшим недоумениям, окончательное определение порядка, в коем допускаются к выкупу родственники.
Действующие законы. Выкуп существенно отличается от купли-продажи. Последняя есть договор между сторонами, из коих одна добровольно соглашается продать за условленную цену, а другая покупает, так что без взаимного соглашения сторон покупка и продажа невозможны. Напротив того, сторона, имеющая право выкупа, без всякого соглашения требует отдачи имения от владельца, который, безусловно, понуждается уступить сему требованию. Посему с выкупом соединяется понудительное отчуждение собственности, подобное тому, которое бывает при экспроприации; только в последнем случае нарушение собственности, законно приобретенной, оправдывается или объясняется государственной необходимостью или пользой. Для подобного же нарушения в праве выкупа можно указать на интерес родового владения, покровительствуемый законом, для достижения, может быть, тоже общей государственной цели. Но позволительно предложить вопрос: в настоящем состоянии общественной экономии, и при нынешнем значении поземельного владения, следует ли еще признавать этот интерес родового владения настолько важным, чтобы возможно было для него нарушать твердость законно приобретенной собственности?
Выкупу подлежат исключительно родовые имения, проданные по частному соглашению чужеродцу, – вследствие именно этой продажи. Посему от выкупа устраняется: имение, проданное члену того же рода, хотя бы и другой фамилии; – имение, проданное не по частному соглашению, а по распоряжению правительства с публичного торга, или по безуспешности торгов утвержденное за кредитором; – имение, после продажи добровольно возвращенное покупщиком или его наследниками продавцу или его наследникам79; – имение, по продаже вновь возвратившееся покупкой, а не выкупом, в тот род, из коего было вначале продано, ибо в сем случае оно становится уже по закону благоприобретенным (ст. 1347, 1348, 1351). Указная часть супружеская, хотя бы выделена была из родового имения, становится, по выделе, благоприобретенным имуществом; но если эта часть, не быв выделена, вместе с частями, следовавшими прочим наследникам, была в совокупном составе родового имения продана чужеродцу, то право выкупа простирается на все имение, без исключения сей части (1352 ст. Правило это установлено не ранее 1849 года и не имеет обратного действия).
В каком смысле следует разуметь употребленное в 1347 ст. выражение: добровольно возвращено будет? Иные толкуют, что закон сей имеет применение буквально только к двум случаям, кои указаны в цитатах, подведенных под ст.: 1. К случаю, приведенному в указе 1677 года и ныне уже невозможному – когда покупщик имения возвратит оное продавцу, после челобитья о записке, но прежде чем имение записано за покупщиком в приказе, т.е. прежде совершения перехода; 2. К случаю, указанному во 2-й части Банкротского Устава 1800 г., ст. 50, когда заимодавец добровольно возвратит закладчику просроченное имение, прежде или после получения с аукциона данной. Таково тесное толкование 1347 ст., но на практике превозмогло обширнейшее толкование, которое лучше соответствует общему смыслу и духу закона о выкупе. В указе 20 авг. 1677 г., из коего извлечена 1347 ст., указано основание содержащегося в ней правила: «потому, всякой вотчинник в своей вотчине волен». Стало быть, право вотчинника продавца, когда к нему поворачивается обратно имение, превозмогает, и ему должно уступить право выкупа, доколе не успело еще осуществиться. Итак, когда одновременно с просьбой о выкупе, заявлено и намерение покупщика возвратить имение продавцу, право выкупа устраняется. В сем смысле состоялось решение 7 Деп. Сен. 4 февр. 1869 г., в деле Масалитиновых. Общ. Собр. Сен. в решении по делу Кербедзя 1857 г. (Журн. Мин. Юст. 1865 г., N 6) истолковано, что поворот имения к продавцу должен совершаться в виде новой продажи, если прошел 7-дневный срок на отмену купчей. Общее Собрание Сената, по делу Кожина (см. Журн. Мин. Юст. 1863 г., N 4), причисляет к добровольному возвращению всякую обратную передачу имения в род по акту укрепления, какого бы ни было рода, т.е. по добровольному соглашению сторон, хотя бы сей возврат имущества учинен был по заявлении родственниками иска о выкупе. Так, еще в другом деле, уже по заявлении иска о выкупе, владелица имения, жена продавца, объявила, что предоставляет то имение малолетним его детям, и тем устранила выкуп, что подтверждено Сенатом, признавшим, что срока на таковую добровольную передачу имения в законах не определено и формальностей не предписано (Сб. Сен. реш. т. I, N 168. Ср. там же т. II, N 938).
Право выкупа по происхождению своему было правом служилого сословия, которое одно только в старину могло владеть вотчинами (ср. сей книги часть первую, § 16). Хотя впоследствии право землевладения стало достоянием и других сословий, и с распространением на все свободные сословия понятия о родовом имуществе стало общим же достоянием и право выкупа, но выкуп из одного сословия в другое ограничен Указом 1807 года. Признано, что земля, проданная помещиком государственным крестьянам, обратясь из дворянского имения в крестьянское, утратила существенное свое свойство. По сему соображению положено: земли, казенными крестьянами, купцами и прочего звания людьми от дворян в собственность приобретенные, равно и земли, дворянами от тех сословий купленные, на выкуп не отдавать; а посему право выкупа должно существовать единственно между людьми одинакового состояния, так чтобы ни которые из них не имели права на выкуп имения, перешедшего из одного состояния в другое. Впоследствии объяснено, что это ограничение относится только к землям ненаселенным, и в Своде Законов помещена статья (1350 Гр. Зак.): ненаселенные земли, проданные от лиц одного состояния лицам другого, выкупу не подлежат. Правило это сохраняет свою силу и доныне, поколику остаются еще в законе отличия дворянского имения от недворянских; но с совершенным уничтожением сего отличия это правило должно будет утратить силу (ср. сей книги I ч. § 13).
Что должно разуметь под словом: ненаселенные земли, употребленным в 1350 ст.? Иные думают, ссылаясь на 385–387 ст. Зак. Гр., что ненаселенная земля есть только пустая земля, а когда есть на земле жилое строение, то ее следует считать населенной. Но судебная практика склоняется у другому мнению, что земля населенная разумеется в законе та, которая населена крестьянами и составляет дворянское владение, земли же без крестьян считаются ненаселенными. Это толкование соответствует и историческому смыслу закона, содержащегося в 1350 ст. И с отменой крепостного права этот признак отличия не утратился, ибо то же деление осталось в законе. На сем основании сенатскими решениями отказываемо было в выкупе дворового места, проданного помещиком крестьянину (см. Кассац. реш. 1869 г., N 138). К тому же разряду ненаселенных земель должны быть отнесены земли и угодья, оставшиеся в полном распоряжении владельцев за прекращением крестьянских обязательных отношений посредством выкупа, или обращения крестьян в государственные в мелкопоместных имениях (ср. Выс. утв. Полож. 26 апр. 1862 г., о евреях П. С. З. N 38214 и ст. 959 IX т.).
О выкупе родственниками залогодателя заложенных имений нет постановлений в статьях Зак. Гражд., относящихся к праву выкупа. Лишь в Зак. Судопр. Гражд, в правилах о порядке бесспорных взысканий по закладным, упоминается о праве родственников выкупать заложенное имение, если сам владелец не выкупил его в течение предоставляемого ему на сей конец годового срока и если нет на нем других взысканий кроме закладной. Родственникам же особого срока на сие не предоставлено (ст. 625, 510, п. 4). Эти правила действуют там, где сохранили свою силу правила Зак. Судопр. Гражд., но где они заменены новым судебным уставом, там, надобно полгать, это право выкупа по закладным должно почитаться отмененным, ибо в новом Уставе Гражд. Суд. о нем уже не упоминается, а в Законах Гражданских оно не помещено. Можно еще указать на следующее недоумение о праве выкупа, возникающее вследствие судебных уставов. В 1369 ст. Зак. Гражд. сказано, что если проданное имущество укреплено потом в другие руки продажей или закладом, то желающий выкупить должен заплатить цену, означенную в последнем крепостном акте. Закладная причисляется по закону к крепостным актам (Зак. Гражд., ст. 708, прил. I, ст. 18), и вследствие того требование выкупа по цене, означенной, после продажи, в закладной, имело основание. После издания Суд. Уставов явилось возражение – едва ли основательное, – что Судебными Уставами, мимо 1369 ст. Зак. Гражд., указан выкуп только по цене, означенной в последнем крепостном акте, каковым может быть только купчая, утверждающая право собственности на имущество. Ср. Кассац. реш. 1868 г., N 185.
Требование выкупа имеет силу против всякого лица, у кого бы ни оказалось во владении проданное из рода имение: не только против самого покупщика и наследников его, но и против тех, к кому от покупщика могло дойти имение по передаче.
К выкупу допускаются кровные родственники продавца, в том порядке, в каком призывались бы к наследству после него, причем ближайшим по линии и степени дается преимущество перед дальнейшими. Без сомнения, право выкупа должно определяться по праву наследства, сообразно тому, в каком виде представлялось бы сие последнее право в то время, когда заявлено требование о выкупе, если бы в эту минуту открылось после продавца наследство. Родственники допускаются к выкупу без различия возраста и фамилии, которую носят. Равно близким по линии и степени наследникам право выкупа принадлежит совокупно: каждый из них в отдельности может выкупить имение без согласия прочих, но прочие могут от него выкупать следующие им части. Кто не имеет непосредственного права на выкуп, состоя в дальней степени родства с продавцом при других ближайших его родственниках, тот может приступить к выкупу не иначе как с письменного дозволения сих последних, заключающего в себе уступку права. В сем случае выкуп дается через линию, и тогда право выкупа для дальнейших родственников основывается не на степени их родства с продавцом, но на пересказе от ближайших его наследников (см. реш. Общ. Собр. Сен. по делу Стабровского, Журн. Мин. Юст. 1864 г., N 9).
Но при жизни продавца не допускаются к выкупу дети его и, по смерти неотделенных детей его, внуки; допускаются они лишь по смерти продавца, буде срок еще не истек и имение между тем другими не выкуплено. При жизни продавца не могут они и другим родственникам уступить право, ибо сами его не имеют (ст. 1355–1361). Не допускаются к выкупу и те родственники, которые, вместо продавцов, к купчим или при записке в крепостных книгах руки приложили, либо в свидетельстве расписались (ст. 1362).
Общий срок для выкупа трехлетний со времени окончательного совершения купчей, т.е. со времени выдачи ее покупщику, за окончанием всего обряда. Срок этот не восстанавливается тому, кто, оспаривая сам акт, по коему имение перешло в чужой род, пропустил срок выкупа (ст. 1363, 1366). поскольку в этот срок право выкупа предоставляется родственникам без различия возраста, то на практике признавалось невозможным продолжать сей срок для малолетних или приостанавливать течение оного до их совершеннолетия (реш. Моск. Общ. Собр. 1860 г., по делу кн. Хилковой; Касс. реш. 1882 г., N 48).
Выкуп допускается только под условием подлежащего вознаграждения, ибо в законе сказано: желающий выкупить имение обязан уплатить следующие за выкупом деньги. Итак, невозможно требовать имение на выкуп, не предложив вместе с тем следующей за него цены, и выкуп между частными лицами нельзя подводить под правило обязательного отчуждения, по смыслу коего имущество отчуждается в силу признанной указом государственной необходимости, а следующее за него вознаграждение определяется и выдается после. Посему на практике признавалось, что требование выкупа, без представления следующих на выкуп денег, недействительно и что эти деньги надлежит представлять при самой просьбе о выкупе (Касс. реш. 20 ноябр. 1873 г., по д. Григорова).
Но не все следующие при выкупе платежи представляются одинаково ясными и бесспорными и не все могут быть исчислены при самом начале дела, по усмотрению одной стороны, требующей выкупа. Выкупщик имения должен уплатить: во-1-х, цену проданного имения, в том количестве, какое означено в крепости, по которой имение перешло в чужой род; а если имущество от первого покупщика перешло уже в другие руки, и до совершения последующего акта не было требования о выкупе, то должна быть уплачена цена, означенная в последнем акте; во-2-х, должен уплатить крепостные пошлины, следующие за новый переход имения обратно в род (1367, 1369 ст.; что в законе разумеются именно эти пошлины, в том удостоверяют приведенные под статьей указы 1800 и 1806 годов). Эти платежи бесспорные, которые во всяком случае следуют владельцу имения и в казну. Без них никакой выкуп не может быть совершен, и они могут быть усчитаны заранее самим выкупщиком. Посему эти суммы должны быть непременно представлены при самой просьбе о выкупе, и по представлении отсылаются, до окончания дела, на хранение и приращение, в Банк (1370 ст.).
Закон упоминает еще о других платежах, которые, по обстоятельствам дела, могут следовать, но могут и не следовать владельцу имения от выкупщика. Это, во-1-х, издержки, которые могли быть употреблены владельцем на поддержание и улучшение имения, и, во-2-х, пошлины, которые владелец, при покупке имения, мог заплатить за совершение акта, по коему он вступил во владение имением. Эти платежи не могут быть заранее предвидены и исчислены просителем о выкупе, ибо, во-1-х, в имении могло быть вовсе не сделано никаких улучшений, а могло еще последовать разорение и уменьшение ценности, за которое владелец обязан ответствовать по силе 1372 ст.; во-2-х, если есть улучшения, то проситель не обязан знать об них, и учет их ценности зависит прежде всего от показания самого владельца и затем от оценки; в-3-х, покупщик имения не обязывается непременно платить пошлины с акта; кому платить сии пошлины, это зависит от соглашения сторон при совершении купчей (1428 ст. Зак. Гражд.), и могло случиться, что пошлины были уплачены продавцом. Итак, по условному свойству сих платежей невозможно требовать, чтобы сам выкупщик на них вызвался и определил их количество: эти платежи определяются лишь обратным требованием владельца к выкупщику и, в случае спора, процессуальным развитием дела и судебным решением; следовательно, по всей справедливости, невозможно ставить окончание дела о выкупе в зависимость от сих платежей: они могут быть определены и внесены при самом выкупе, но могут и составить предмет особого дела, а по окончании его взыскиваются с обвиненного. Но затем возникает еще вопрос: как взыскиваются? Издержки на поддержание и улучшение имения составляют повинность, по существу своему нераздельно связанную с выкупом (хотя по условиям процесса учет их может составлять предмет особого производства); это следует из текста 1367 ст.; посему необходимо признать: 1. Что взыскание сих издержек может быть, по требованию взыскателя, обращено на само выкупленное имение; 2. Что в обеспечение иска о сих издержках может быть на сие имение наложено запрещение по требованию взыскателя. Но этого преимущества нельзя предоставить взысканию пошлин, особо определяемому 1371 ст. и не вошедшему в состав платежей, кои включены в общую формулу ст. 1367.
Право выкупа, хотя и передается по наследству, не составляет, однако, наследственного преемства и не составляет безвозмездного приобретения. Посему от выкупа не зависит личная ответственность за долги продавца, по роду коего дан выкуп (ср. Сб. Сен. реш. т. I, N 323. См. в § 47 другое решение, в коем рассуждено иначе).
Где должны быть начинаемы и каким порядком производимы дела о выкупе, составляют ли они иск, или бесспорное требование, – эти вопросы постоянно возбуждали недоумения в прежней судебной практике, особливо при неясном сознании различия между бесспорным и спорным, или исковым производством. Сама подсудность сих дел определялась различно – то по месту совершения купчей, то по месту положения имения, а производство дел обращалось то к частному порядку (к чему подавали повод выражения, употребленные в указе 19 декабря 1778 г. и в 4049 ст. II тома Св. Об. Губ. Учр., изд. 1857 г.), то, в случае спора, к апелляционному. Недоумения эти должны, по-видимому, прекратиться с изданием нового Судебного Устава и дополнительных к нему правил охранительного судопроизводства. По силе сих правил (1438–1450 ст. Уст. Гражд. Суд.) просьба о выкупе подается Окружному Суду, по месту положения выкупаемого имения. При просьбе непременно представляются: доказательства о праве просителя на выкуп, копия купчей, продажная сумма, в ней означенная, и двойное количество крепостных пошлин, внесенных при совершении купчей. Эта безусловная обязанность вносить двойные пошлины не состоит в противоречии с условным положением 1371 ст., ибо она относится лишь к формальностям производства, но не решает вопроса о праве владельца на взыскание пошлин. Просьба о выкупе сообщается владельцу, который обязан представить свое объяснение, и буде желает вместе с тем заявить иск об издержках на имение, должен доставить сведения о сих издержках. Буде в месячный срок это объяснение не доставлено, суд по доказательствам просителя составляет постановление о выкупе, которое не считается заочным, но может быть обжаловано в частном порядке. Если объяснение доставлено после состязания между явившимися сторонами, суд определяет, буде допущен выкуп, и количество издержек, следующих владельцу. Такое определение считается также частным и допускает как частную жалобу, так впоследствии и просьбу об отмене. Но буде владелец при охранительном производстве не заявил иска об издержках, то не лишается права предъявить оный, по силе 899 ст. Уст. Гражд. Судопр., в 3-месячный срок, в порядке исполнительного судопроизводства.
В решении 1880 г., N 126 Сенат разъяснил, что при просьбе о выкупе должна быть представлена продажная сумма тогда только, когда она подлежит выдаче владельцу возвращаемого имения, или залогодержателю; если же выкупаемое имение заложено в кредитном установлении и выданная ссуда не менее той цены, за которую имение приобретено, и если по уставу того кредитного установления долг по залогу переводится на нового приобретателя, то предстоящий перевод долга исключает обязанность представлять деньги на погашение означенного долга.
Выкупивший имущество может требовать, чтобы оно было отдано ему в целости (ст. 1372 Гражд. Зак.). Отсюда возникает для выкупщика право иска на владельца, за уменьшение в составе и в экономической целости имения, от произвольных распоряжений. Этот иск, по свойству своему, требуя особых доказательств со стороны истца, не имеет неразрывной связи с требованием выкупа, и потому, если бы по поводу сего требования проситель, предъявляя иск о вознаграждении, домогался вместе с тем вычета из выкупной суммы, которую обязан представить, владелец имения вправе требовать, чтобы иск о вознаграждении был производим особо от дела о предоставлении выкупа, и выкупная сумма была представлена сполна. Мера ответственности владельца за уменьшение целости имения должна быть определяема на основании правил 609 и следующих статей Зак. Гражд. о вознаграждении частном, причем существенно отличие владения добросовестного от недобросовестного.
1891 март. 27 N 40. По вопросу об обязательности прежних договоров, заключенных по выкупленному, на основании 1346 и сл. ст. т. Х ч. 1, родовому имению, Гражд. Касс. Деп. рассуждал, что постановления о выкупе не только ни в чем не ограничивают прав чужеродца по 420 ст. I ч. Х т. в распоряжении подлежащим выкупу имением, но, напротив того, из ст. 1369 видно, что цена выкупленного имения определяется не по акту приобретения первого чужеродца, а на основании крепостных актов последующих приобретателей. Таким образом, в период времени, указанного в 1363 ст., чужеродцу принадлежит право залога и продажи подлежащего выкупу имения, и согласно с сим и прочие договоры по сему имению, совершенные в тот же период времени, должны почитаться исходящими от лица, действующего в пределах принадлежащего ему права, и как таковые служат для другого контрагента источником права, законно приобретенного и потому ограждаемого законом. Ввиду сего Департ. находит, что арендные договоры, заключенные покупщиком родового имения, обязательны и для выкупающего.
Право выкупа не распространяется на губернии Черниговскую и Полтавскую (ст. 1354 Гражд. Зак.).
Родственное право выкупа существует по законам прибалтийских губерний, простираясь, вообще, только на недвижимые имения наследственные, а по особым статутам некоторых местностей, и на благоприобретенные, и даже проданные с публичного торга. К выкупу допускаются родственники в порядке призвания к наследству; мужчины исключают женщин лишь в случае состязания. Отречение или устранение от наследства не лишает права на выкуп (Остз. Гражд. Законы ст. 1654–1673).
В 1874 г. постановлено, что право выкупа не распространяется на отчуждаемые от наследственных имений участки крестьянской повинностной земли (в Лифлянд.) и крестьянской арендной земли (в Эстл.).
Право выкупа, тесно связанное с началами семейного быта, развито в особенности в законе Черногории. Таким оно представляется в Законнике 1855 г. и особливо в новом Кодексе 1888 года. Всякая продажа поземельного участка в чужое племя почитается законной лишь в таком случае, когда свои не пожелали купить его. Своими же признаются в последовательном порядке близости: кровные родственники (по степени родства в 6 родах) или члены братства, затем смежные соседи, затем сельчане одного поселка и наконец члены одного племени. Всем им в последовательном порядке должно быть сначала предложено право покупки, с назначением срока. При публичной продаже производится вызов желающих из целого племени, и продажа совершается по истечении месяца со времени вызова, а закрепляется через 6 часов по совершении торга, если не явились желающие из своих; а затем уже погашается всякое право выкупа. Выкуп не имеет места при мене и при дарении.
В среде комиссии о мерах к поддержанию дворянского землевладения возникло, между прочим, предположение об отмене 1350 ст. Зак. Гражд, не дозволяющей выкупа ненаселенных земель, проданных от лица одного состояния лицам другого. Меру эту комиссия считает полезной для ограждения прочности дворянского землевладения ввиду того, что за освобождением крестьян и выкупом ими усадеб и полевой земли помещичьи имения потеряли свойство населенных, и вследствие сего круг применения постановлений о выкупе сузился: имения сии, проданные в другое сословие, как ненаселенные перестали подлежать выкупу. Вместе с тем комиссия полагает выдавать дворянам ссуды на выкуп из дворянского поземельного банка.
* * *
Примечания
Надлежит, впрочем, заметить, что понятие о так называемом германском начале наследования не совершенно еще утвердилось в науке. Оно считалось бесспорным, но в последнее время подверглось критике, сначала в сочинениях Зигеля (Deutsches Erbrecht nach den Quellen des Mittelalters. Giessen. 1853) и Вассершлебена (Das Princip der Successions-Ordnung. Gotha. 1860). Еще продолжается оживленная полемика по сему предмету. Желающие могут с ней познакомиться по статьям: Блунчли, Zur Lehre von dem deutschen Erbrecht, в Krit. Ueb. 1853, Левиса, Zur Lehre von der Successions- Ordnung – в Krit. Viert. 1867. См. еще у Гербера – System des deutschen Privatrechts, 8. Aufl. стр. 652.
Из этого основного правила о первородстве допущено издревле исключение для некоторых имений в графстве Кент, имеющих особое свойство Gavelkind (Gave all kinde), т.е. свойство распределения между всеми детьми.
В 1870 г. предполагалось внести в парламент билль об уравнении того и другого порядка.
В силу этого начала юридическое римское понятие о праздном наследстве (hereditas jacens) чуждо германскому праву (ср. ст. Виндшейда – Die ruhende Erbschaft в Kritische Ueberschau. 1853): но в древнем германском обычном праве придавалось особое юридическое значение тридцатидневному периоду со времени смерти вотчинника. В основании этого обычая была та мысль, что в первое время по смерти человека должен почивать мир на жилище и на всех делах его, и скорбь об усопшем не должна быть нарушаема. Вследствие того, вдова умершего могла жить спокойно в доме – наследники ее не тревожат; если она беременна, то остается в доме до разрешения. Прислуга тоже остается на своих местах и на содержании до тридцати дней. До того же срока не вскрывается завещание. О праве тридцатого дня есть монография Гомейера (Berl. 1864. Der Dreissiqste).
О сущности и принадлежностях сего иска смотри любопытную статью Циммермана: Die Theilung unter mehreren Kommunions Interessenten в Arch. Civ. Pr. 1851 г.
Надлежит заметить, что и мнение о различии особых порядков наследования, по пространной Русской Правде, не установилось еще в науке окончательно (ср. у Никольского и Цитовича).
По местному праву в Грузии, Имеретии и Гурии, братья (и их потомки) выкупают указную часть у сестры порядком, означенным в приложении к примечанию к 1130 ст. Зак. Гр.
Наследственное родительское право встречается у народов лишь в позднейшие времена их истории. По замечанию Неволина (Истр. Гр. Зак. т. 3, стр. 353), у народов, ведущих простую жизнь, при крепости союза семейственного, дети обыкновенно живут не в разделе с родителями. Если в этом состоянии умерли дети, то обыкновенно у них не остается отдельного имущества; если же умерли в отделе от родителей, то уже этим отделом родители как бы отказываются от всякого участия в имении отделенных детей.
Для Грузии, Имеретии и Гурии оставлено в силе местное право выкупа вдовьей указной части наследниками. См. Зак. Гражд. 11481 и 11531.
Ср. Ук. 1770 г. марта 15 (№ 13248), где сказано, что наследство вообще утверждается не по челобитьям или получениям дач наследниками, но причиной смерти, и цитаты под 1152 ст. Гражд. Зак., из коих видно, что выдел вдовьей части должен производиться не иначе как по челобитью.
Это правило 1170 ст. не распространяется на католическое духовенство; см. Ж. М. Ю. 1865 г., № 12.
В ст. 1177 и 1180 означены еще два случая, которые относятся по существу не к выморочности, но скорее к конфискации.
Правила по сему предмету входили в состав Свода Законов в виде приложения к ст. 1097 т. IX, изд. 1857 г.; но в издание сего тома 1876 г. не внесены по всей вероятности по той причине, что они значительно изменены положением 1870 года о поземельном устройстве поселян, водворенных на землях лиц высшего мусульманского сословия: членов бывших ханских фамилий, беков, агаларов и меликов из армян. Тем не менее многие из этих правил и ныне составляют действующий закон, ничем не отмененный, а потому исключение их из Свода едва ли правильно.
По распоряжении министерства государственных имуществ собраны были и изданы в 1862 г. сведения о существующих у государственных крестьян обычаях наследования в 47 губерниях. В книге г. Ефименко «Сборник народных юридических обычаев Архангельской губернии» и в статье г. Чублинского «Очерк юридических обычаев в Малороссии» указаны обычаи, относящиеся к наследованию. Изданные в 6 томах «Труды Комиссии по преобразованию волостных судов» (спб. 1874 г.) содержат в себе множество указаний на наследственные обычаи у крестьян.
Наследник, прежде открытия наследства, пользуется особливым правом наследника по дворянским выборам см. т. IX, ст. 114. О продаже имущества, имевшего достаться по наследству, см. статью в Юрид. Вестн. 1869 г., № 1.
Обязанности полиции по охранению наследства см. II т. изд. 1892 г. Общ. Губ. Учр., ст. 681 п. 16. Об охранении имущества по смерти бессемейного консула в Персии, Уст. Консульск. изд. 1893 г., ст. 125. Об охранении и отсылке вещей после умерших в военных госпиталях см. 1869 г. июля 15 (47310) § 283, 305. В 1894 г. изданы особые правила о порядке вызова наследников после умерших иностранцев из турецких и персидских подданных и вообще азиатцев.
Оставляю эти слова по-прежнему, несмотря на возражение, сделанное против них г. Герардом в любопытной статье его: Об охранении наследства (Журн. Гр. и Уг. Пр. 1873 г.). Возражение происходит, кажется, от недоразумения. Автор напрасно видит в выводе моем противоречие с соображениями, высказанными в журналах Госуд. Совета при издании Уставов 1864 г. Там говорится о законе, не требовавшем обязательного вступления в наследство; у меня говорится о судебной практике, действительно предполагавшей всегда утверждение в насл. правах. А это утверждение совершалось в ту пору и без принятия охранительных мер, в порядке бесспорного производства.
Признаком торговой несостоятельности почитается, когда наследники, не вступая в наследство по несоразмерности оного с долгами, от принятия оного отрекутся и о том в суде объявят, или они по публикации в срок не явятся, или же кредиторы им не поверят. Уст. Суд. Торг. изд. 1893 г., ст. 368, п. 3.
По делу Мясникова решением Сената (Ж. М. Ю. 1862 г., № 6) признано, что Коммерческим Судам следует принимать меры к охранению только торговых заведений, и то когда хозяин оставит торговые книги; во всех же прочих случаях охранение имуществ, оставшихся после умершего, хотя бы торговца, принадлежит полиции.
Нет ни одной статьи, которая устанавливала бы обязательность и определяла юридическое значение подобных публикаций, хотя в общем мнении существует смутное понятие о том, что подобные публикации нужны и имеют какую-то силу. Вероятно, это смутное мнение отразилось и в некоторых статьях Свода, в коих делается ссылка на подобные публикации. См., напр., ст. 6 прил. к прим. 2 к ст. 420 Зак. Гражд.; мн. Государ. Сов. 1869 г. о сохр. расписках (2113 ст. Зак. Гражд.) тоже предполагает существующую обрядность вызова наследников и кредиторов.
Таково правило французского законодательства; напротив, прусский закон допускает в этом случае наследование вместо отрекшегося.
Ср. у Пухты Vorlesungen, § 457.
Однако о выдаче заслуженного жалованья после умершего наследники его могут просить лишь в течение двух лет после его смерти (III Т. Уст. служ. прав. 575). Вот еще некоторые права, предоставляемые наследникам по службе умершего. В некоторых случаях вдова и наследники умершего чиновника имеют право на получение денег, коих умерший не только не получил, но еще и не выслужил, но кои были ему назначены в виде пособия на будущую службу. Т. III. Уст. пенс., ст. 114; прил. к ст. 261 (прим.). Вдова и семейство умершего чиновника имеют право в течение 6 недель по смерти его оставаться в казенной его квартире. Т. III. Уст. служ. прав., ст. 554.
В губ. Черниговской и Полтавской ответственность в платеже неустойки по частным обязательствам переходит на наследников лишь в таком случае, когда иск о неустойке начат при жизни умершего, или в самом обязательстве и платеж неустойки распространен на наследников. Зак. Гражд. 1586.
Об условиях и последствиях ответственности см. еще в предыдущих §§ 46 и 47.
Раздел наследства следует отличать от раздела владения к одним местам (специальное размежевание, полюбовная сказка). Существенное в разделе наследства, чтобы отдельная доля каждого была определена количественно; сущность раздела межевого состоит в том, чтобы каждому назначено было владение в отдельной местности, вместо смешанного чересполосия. Если сами наследники не пожелают, закон не понуждает их при разделе наследства в недвижимом имении делиться к одним местам (Зак. Гражд. 1323); но если дача раздробляется наследственным разделом, закон требует, чтобы не позже 3 лет после сего владение отделяемо было составлением полюбовной сказки.
В ст. 217 Пол. Взыск. Гражд. приведен еще случай понудительного судебного раздела при взыскании с общего имущества долга одного из владельцев. Если между соучастниками общего владения произойдет по сему случаю спор о количестве части, причитающейся на долю должника, то спорящие отсылаются к суду для раздела. Сравн. 1190 ст. Уст. Гражд. Судопр.
О выделе и об аналогии его с приданым см. еще выводы и объяснения в I томе сего курса. Против изложенного здесь понятия о выделе и приданом возражает г. Оршанский в Журн. Гр и Уг. Пр. 1873 г., № 2, стр. 49.
Так, по д. Пономаревой (Сб. Сен. реш. I № 168) отказано сестре продавца в выкупе имения, которое им было продано жене своей, а сей последней, уже по предъявлении выкупного требования, добровольно предоставлено малолетним ее и продавца детям.
