Точка зрения математика
А. Ю. Андреев. «Новая хронология» с точки зрения математической статистики
Авторы «Новой хронологии» неоднократно подчеркивают, что все их результаты базируются на мощном фундаменте современных математических методов. Математические результаты авторов, обнаруживающие хронологические сдвиги и параллели, обладают с их точки зрения, абсолютной статистической достоверностью. Такого рода заявления вызывают у читателей, привыкших уважать математику, невольное и глубокое доверие. И даже если исторические выводы «Новой хронологии» им могут показаться чересчур смелыми, математическая основа работы укрепляет читателей во мнении, что «в этом что-то есть».
Все эти утверждения авторского коллектива, возглавляемого академиком А. Т. Фоменко, весьма ответственны. Они подразумевают у авторов высокую культуру владения статистическими методами, т.е. во-первых, умение получить с помощью этих методов корректный результат, и, во-вторых, указать на границы его применимости, меру возможной ошибки, дать читателю четкий критерий значимости результата. Все эти требования содержатся в любой методике современной статистики. Они тем более важны, поскольку (как мы подробно расскажем ниже) методы, используемые авторами, являются их собственным изобретением, не похожим ни на одну из стандартных статистических процедур.
Между тем, намеренно или случайно, но собственно математическая сторона трудов по «Новой хронологии» мало доступна широкому читателю. С одной стороны, большинство книг А. Т. Фоменко и его соавторов, вышедших в последнее время, содержит в названии или предисловии упоминание о «новых математических методах», однако их научное, подробное описание полностью отсутствует, и авторы сразу сосредотачиваются на результатах, точнее на своей исторической интерпретации того, что, как они уверяют, неопровержимо доказано математикой – но в других работах.
В поисках этих работ, мы обратились к одной из первых монографий А. Т. Фоменко,247 которая, действительно, содержит изложение статистической методики, обосновывающей его результаты. Нельзя не отметить, что и в этой книге, посвященной, как указано в аннотации, «новому научному направлению в современной прикладной статистике», вместо подробных и точных формул, которые бы явно показали как получены результаты, мы находим лишь многословные качественные описания способов расчета (за точными же формулами автор отсылает к практически недоступным широкому читателю специальным сборникам). Поэтому даже критически настроенные читатели должны удовлетворяться лишь внешним правдоподобием рассуждений и принимать предлагаемые им числа на веру.
Мы хотели бы вывести читателей Фоменко из такого положения, и с формулами в руках проанализировать предложенную им статистическую методику и достоверность результатов. Тем самым, мы берем на себя математическую работу, которую должен был бы предъявить читателю сам автор, если он действительно ставит целью обосновать свое «новое научное направление» в статистике.
Метод локальных максимумов
В данной статье мы сосредоточимся на анализе одной из «новых статистических методик», предложенных А. Т. Фоменко для распознавания «дубликатов» и хронологических сдвигов в истории – принципа корреляции локальных максимумов.248 Изложим вначале общую схему метода, для того чтобы уяснить, какую именно статистическую задачу решает автор.
Пусть имеются две «хроники» – т.е. два текста с погодным изложением событий, описывающие промежутки времени равной протяженности. Целью метода является определить, могут ли эти хроники описывать одни и те же события. В случае положительного ответа, даже если данные хроники относятся к разным историческим эпохам, события в них объявляются тождественными, а эпохи – совпадающими с некоторым хронологическим сдвигом. Важнейшим результатом применения этого метода является утверждение о том, что средневековая история Рима (изложенная по книге Ф. Грегоровиуса «История города Рима в средние века») и его античная история, (содержащаяся в труде Тита Ливия «От основания города») говорят об одних и тех же событиях, сдвиг между которым составляет 1053 года.
Следующая схема дает представление о последовательности шагов метода:
хроника → числовая последовательность («информация») → набор максимумов
На первом шаге текст с погодным изложением преобразуется в последовательность чисел, каждое из которых является функцией информации, содержащейся в хронике под данным годом. В качестве такой функции, по мнению автора, можно выбирать количество страниц, соответствующих каждой погодной записи, либо количество строк в записи, либо количество знаков, либо количество собственных имен в записи и т.д. Критический анализ этих способов измерения информации у автора полностью отсутствует, хотя очевидно, что они зависят от языка хроники, характера излагаемых событий, а число строк или страниц – даже от формата издания, что особенно сказывается в коротких записях. В нашей работе мы, стараясь сосредоточиться на математической критике метода, будем опускать подобные «мелочи». Тем не менее, встречи с ними в работах Фоменко происходят многократно и существенно снижают культуру изложения его методик.
Второй шаг метода состоит в определении «локальных максимумов» для указанной выше последовательности чисел. Именно наборы максимумов хроник и будут сравниваться в последующих процедурах. Тем самым постулируется принцип – если наборы максимумов информации в хрониках совпадают, то эти хроники описывают один и тот же период времени. Опять-таки заметим, хотя этот принцип, мягко говоря, спорен с исторической точки зрения. Ведь история – это не просто набор замечательных дат, а такой принцип полностью отвергает сравнение содержательной стороны событий. Однако, здесь мы не будем углубляться в его критику, а примем предположения Фоменко «как есть».
Таким образом, на третьем шаге из двух исходных сравнивавшихся хроник получают две последовательности дат – локальных максимумов этих хроник. Интересно, что автор не дает никакого определения, какую дату можно считать максимумом, т.е. насколько сильно информация, ей соответствующая, должна отличаться от информации за смежные годы. Вместо этого он предлагает проводить «сглаживание» исходной числовой последовательности, т.е. в каждой точке заменять исходное значение на среднее арифметическое для значений некоторого набора соседних с ней точек.249 В результате сглаживания, по мнению автора, выявятся основные максимумы, причем каждый из них будет достигаться только в одном конкретном году.

Рис. 1.
Указанная математическая процедура вызывает следующие законные возражения: 1) преобразование информации путем «сглаживания» искажает информацию, содержащуюся в исходной хронике, и лишено всякого исторического смысла. Например, если в летописи после двух кратких погодных записей, дано, скажем, под 1152 годом описание похода некоего князя на половцев, в 1153 г. написано, что «бысть тишина», а в 1154 г. представлен, скажем, подробный рассказ о кончине князя, после чего опять записи краткие, то 1154 г. и является локальным максимумом информации (см. рис.). Но «сглаживание» изменит картину: здесь покажется, что после краткого описания похода 1152 г. следует некое более подробное сообщение, которое превосходит в объеме даже подробную повесть 1154 г., т.е. информация 1153 г. (в летописи – просто отсутствующая) вдруг окажется локальным максимумом; 2) совершенно необязательно максимум информации достигается только в одном конкретном году. Разве нельзя себе представить, например, двух или трехлетний поход, описанный равномерно, с одинаковой степенью подробности? К какому году тогда отнести «локальный» максимум?
Вместе с тем мы готовы согласиться с автором – все эти искажения не слишком сильно нарушают общую картину распределения информации и выбор максимумов. Однако, они предоставляют значительный простор для привязки максимума к той или иной дате, т.е. допускают ошибку в его определении на несколько лет, что малозначительно само по себе, но играет большую роль при вычислении последующих «коэффициентов связи» хроник, которые чрезвычайно чувствительны к этим ошибкам. Как мы вскоре убедимся, достаточно несколько подвинуть максимумы в благоприятную сторону, чтобы на несколько порядков изменить «достоверность» совпадения хроник.
Стандартные статистические коэффициенты
Мы, наконец, можем обратиться к центральной математической процедуре метода – сравнению наборов локальных максимумов. Обратим внимание, что с этого момента автор переходит от сравнения абсолютных дат локальных максимумов к сравнению относительных промежутков между ними. Максимумы делят полный отрезок времени, охватываемый хроникой, на несколько частей, и набор длин этих промежутков между максимумами автор обозначает Xi для первой и Yi для второй хроники. Очевидно, что чисел в этом наборе на единицу больше, чем числа максимумов (например, три максимума делят хронологический отрезок на четыре части). Но самое главное: хроники, у которых относительное расположение наборов максимумов полностью совпадает, обладают одинаковыми последовательностями Xi и Yi, т.е.

Ясно, однако, что в действительности корреляция максимумов у разных хроник, даже описывающих одни и те же события, не может быть полной. Поэтому статистическая задача автора – оценить выполнение соотношения (1) для рядов Xi и Yi (т.е. найти «степень близости» хроник) с помощью некоторой математической процедуры.
Отметим, что искомая связь (1) имеет предельно простой вид, она линейна, следовательно для ее оценки годится практически любой из существующих в статистике коэффициентов взаимосвязи. Приведем только два из них: коэффициент линейной корреляции (это самый известный и распространенный из статистических коэффициентов) и коэффициент регрессии, который находят по методу наименьших квадратов.
Коэффициент линейной корреляции рядов Xi и Yi вычисляется по формуле:
В случае существования линейной связи r по модулю близко к единице, в обратном случае – к нулю. Важно, что коэффициент имеет уровень значимости, т.е. такое значение, начиная с которого можно уверенно говорить о существовании корреляции:

где n – число членов рядов Xi и Yi, а число t определяется вероятностью, с которой мы хотим быть уверены в значимости корреляции (например, для 50% уверенности в существовании связи t = 0.6, для 99% – t = 3).
Коэффициент регрессии по своему смыслу – это угловой коэффициент прямой, которая наиболее близко проходит через точки с координатами (Xi, Yi). Когда все n точек не лежат на одной прямой, ее проводят так, чтобы сумма квадратов расстояний от этих точек до прямой была минимальной. Формула для коэффициента регрессии более сложна, чем для линейной корреляции, поэтому мы ее не приводим, подчеркнем только, что и здесь важна мера ошибки коэффициента регрессии, т.е. насколько хорошо указанные точки «ложатся» на прямую линию. Значения коэффициентов регрессии и линейной корреляции хорошо согласуются между собой – если коэффициент корреляции показывает наличие линейной связи переменных, то и ошибка коэффициента регрессии мала и наоборот.
Почему же автор не использует эти или иные статистические коэффициенты для оценки связи (1)? Мы не найдем в его книге ответа на этот вопрос. Вместо известных коэффициентов А. Т. Фоменко вводит свою собственную меру близости для рядов максимумов Л(X, Y). С его точки зрения, эта мера носит вероятностный характер, т.е. определяет «вероятность случайного совпадения лет» в сравниваемых рядах (мы чуть ниже проанализируем это утверждение). Впрочем, чем бы она ни была, если эта мера вводится корректно, то ее результаты должны согласовываться с приведенными выше коэффициентами.
Коэффициент Л(X, Y) и его свойства
Чтобы это проверить, опишем, как вычисляется Л(X, Y). Идея получения этого коэффициента состоит в сравнении некоторых объемов в n-мерном пространстве, где размерность пространства n совпадает с наибольшей из длин рядов Xi и Yi. Данным рядам сопоставляются соответственно две точки n-мерного пространства X (X1, X2, … , Xn) и Y (Y1, Y2, … , Yn). Между этими точками (как и в обычном двух и трехмерном пространстве) определяется декартово расстояние

Сразу же обращает на себя внимание вопрос – как быть в случае, если число максимумов в анализируемых хрониках различно? Корректная статистическая процедура требовала бы, чтобы сравнивались ряды с наименьшей из двух длин, т.е. из большего ряда выбирались бы последовательности чисел с длиной равной длине меньшего ряда, затем для каждой пары вычислялся бы коэффициент корреляции и делались бы соответствующие выводы о возможности линейной связи. Однако, автор идет по совершенно иному пути (ничем это не мотивируя) – выбирает наибольшую длину и предлагает считать в меньшем из рядов некоторые максимумы кратными, т.е. слившимися в одну точку, а соответствующие недостающие координаты Xi – равными 0. Ясно, что никакого исторического смысла такой кратный максимум не имеет, что же касается математической стороны, то очевидна неоднозначность процедуры выбора кратных максимумов, которая существенно влияет на подсчет Л(X, Y), о чем мы еще скажем ниже.
Таким образом, координаты точек X и Y являются целыми положительными числами или нулями, и при этом удовлетворяют условию

где А – полная длина хронологического отрезка, который описывают хроники. Напомним, что по условию, обе хроники описывают одинаковые по продолжительности промежутки времени. Поскольку числа Xi являются расстояниями между соседними максимумами хроники, их полная сумма и должна равняться полной временной протяженности хроники, т.е. А. То же справедливо и для второй хроники Yi.
Множество точек с целочисленными неотрицательными координатами, удовлетворяющими условию (4), автор обозначает Ш и придает ему смысл полного набора всех возможных хроник, которые описывают хронологический промежуток длины A. Каждой точке множества Ш соответствует некоторый набор максимумов, а ему, в свою очередь, некоторая «виртуальная» хроника, что и позволяет автору придать вводимому ниже коэффициенту вероятностную интерпретацию.
Коэффициент Л(X, Y) равен отношению количества точек из множества Ш, которые лежат к точке X ближе чем точка Y (в смысле декартового расстояния (3)), к полному числу точек множества Ш. Последнее число, как только что говорилось, по мысли автора – это полное число возможных хроник на данном отрезке длиной A. Величина Л(X, Y) называется «вероятностью случайного совпадения лет» (ВССЛ). Таким образом, если, например, Л(X, Y) = 10−6, то это должно означать, что из миллиона наугад взятых хроник, описывающих промежуток времени данной длины, только одна находится к хронике X также «близко», как и хроника Y. Отсюда легко сделать вывод – раз чрезвычайно мала вероятность того, что столь близкое совпадение хроник X и Y случайно, то они обязаны описывать одни и те же события, что и требуется доказать автору.
Неправда ли, все это звучит весьма убедительно? И, конечно, нельзя упрекнуть читателей, которые, не проникая глубже в методику Фоменко, остаются здесь вполне убежденными в достоверности оценок, получаемых с помощью Л(X, Y). И, однако, это не так.
Начнем, сперва, с возражений чисто теоретического характера. Замечательным свойством меры Л(X, Y) является ее некоммутативность, поскольку в общем случае
Л(X, Y) ≠ Л(Y, X)
Чтобы в этом убедиться, достаточно простейшего примера: А=2, n=2, X(2, 0), Y(1, 1), тогда Л(X, Y)=2/3, а Л(X, Y)=1. Некоммутативность ставит под сомнение саму возможность сделать из этого коэффициента какой-нибудь вывод, ведь если хроника X близка к Y по мере Л(X, Y), то вовсе необязательно, что Y также близка к X по мере Л(X, Y). Очевидно, что автору необходимо как минимум каждый раз, сравнивая хроники, определять обе меры и предъявлять их читателю, а если они совпадают, специально оговаривать этот случай. К сожалению, мы не найдем этого в цитируемой книге. Только в 3-ем ее издании (1999 г.) мы видим, что автор заменяет Л(X, Y) на среднее значение Л(X, Y) и Л(Y, X), с помощью этого добиваясь коммутации. Однако, замечательно, что при этом автором не исправлено ни одно из посчитанных еще в 1-м издании книги конкретных значений коэффициента, что вызывает у читателя законные вопросы.
Вторым важным замечанием является отсутствие связи между выводами, получаемыми с помощью Л(X, Y), и выводами, которые дают стандартные коэффициенты линейной корреляции и регрессии. Убедимся в этом на конкретном примере. Здесь и далее в примерах мы будем полагать значения А=450 лет, и n=15 – эти числа, с одной стороны, удобны для вычислений, а с другой, почти не отличаются от параметров ключевой «совпадающей» пары «Новой хронологии»: Тит Ливий – Грегоровиус (см. ниже). Рассмотрим следующие два ряда по 15 чисел с суммой 450 (они были получены, да поверит нам читатель, не подбором, а наугад, с использованием датчика случайных чисел250)
X (25, 24, 24, 22, 28, 23, 32, 33, 37, 25, 32, 39, 32, 33, 41)
Y (36, 28, 23, 38, 20, 35, 31, 26, 28, 31, 30, 27, 39, 22, 36)
Даже при тщательном взгляде на ряды, увидеть в них какую-либо корреляцию, напоминающую связь (1), сложно. Об этом же свидетельствует и коэффициент линейной корреляции, дающий малое значение, равное
r = −0.101
При этом, чтобы сделать вывод о существовании связи хотя бы с 50% вероятностью (см. (2')), требовалось бы значение r по модулю превосходящее 0.6/ √ 15 = 0.185, достоверная же оценка существования корреляции (на уровне 99%), требует значений коэффициента |r| > 3 / √ 15 = 0.77.

Вычисление регрессионной связи рядов X и Y иллюстрирует следующий рисунок. На нем отсутствует какое-либо выделенное направление в распределении точек, соответствовавшее бы их линейной связи, что и доказывают следующие статистические показатели. Прямая, подобранная по методу наименьших квадратов (см. рис.), обладает коэффициентом регрессии
k = −0,098.
(в случае связи (1) этот коэффициент с необходимостью равнялся бы единице). При этом средняя ошибка коэффициента регрессии μ = 0.268, т.е. более чем в два раза превосходит абсолютное значение самого коэффициента, что не позволяет говорить о какой-либо значимости линейной связи.
Итак, и коэффициент линейной корреляции, и коэффициент регрессии отвергают возможность существования связи (1) для данных рядов X и Y. Тем не менее удивительным будет узнать, что коэффициент Л(X, Y) определяет эти ряды как зависимые друг от друга, с вероятностью случайного совпадения не более 2 шансов на миллион (Л(X, Y) <2x10−6).
Происхождение «малых чисел»
Расскажем подробнее, как получается эта оценка. Для n, много больших единицы при вычислении Л(X, Y) автор заменяет подсчет целочисленных точек вычислением объемов соответствующих множеств, т.е.

Здесь Vn−1(Ш') – (n−1)-мерный объем множества Ш', которое состоит уже не только из целочисленных, но из всех n-мерных точек с неотрицательными координатами, удовлетворяющих условию (4), а Vn−1(X, ρ) – (n−1)-мерный объем той части Ш', точки которой лежат ближе к точке X, чем расстояние r до точки Y, вычисленное согласно (3). Из элементарных геометрических формул легко найти, что,

Величина же Vn−1(X, ρ) равна объему некоторой части (n−1)-мерного шара с центром в точке X и радиусом ρ (весь этот шар лежит в (n−1)-мерной гиперплоскости, заданной условием (4), но может содержать точки с отрицательными координатами, поэтому в множество Ш' входит только часть шара). Ясно, что Vn−1(X, ρ) не может превосходить полного объема (n−1)-мерного шара радиуса ρ, который легко вычисляется, и таким образом имеем (для нечетных n, как в нашем примере)251

Подставляя эту оценку в формулу (5) мы получим искомую границу сверху на значение Л(X, Y).

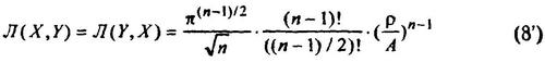
Неравенство (8) переходит в равенство, если шар Vn−1(X, ρ) целиком лежит в множестве Ш. Когда это же выполнено и для Vn−1(Y, ρ), то мера коммутативна и

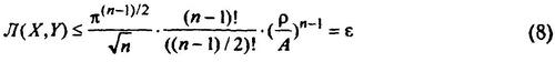
Оценка (8) играет большую роль для понимания смысла и значимости коэффициента Л(X, Y).
1) Она объясняет происхождение «малых чисел», которые постоянно встречаются в работах Фоменко, и якобы, гарантируют его результатам абсолютную достоверность. Дело в том, что в (8) отношение ρ/A, будучи числом меньшим единицы, возводится в большую степень (n−1) и соответственно, по известному математическому свойству, становится очень малым. Так, в нашем примере, ρ=33.3 года, ρ/A= 0,074, но после возведения в 14 степень верхняя граница коэффициента Л(X, Y) оказывается равной ε = 2x10−6.
2) Обнаруживается «сверхчувствительность» коэффициента к изменениям положения максимумов. Например, если расстояние – изменится на один год, то пользуясь формулой (8') для коммутативных коэффициентов, можно оценить относительное изменение коэффициента Л(X, Y)

Полагая в нашем примере Δρ = 1 год, ρ = 33 года, получим, что значение коэффициента изменится на 43%, т.е. почти наполовину. Впечатляют оценки и для больших изменений: если расстояние изменить на 50% (уменьшить вполовину), то ε уменьшится в 214, т.е. более чем в 16 тысяч раз! Эти изменения совершенно не сопоставимы к обычной чувствительностью статистических коэффициентов (например, чувствительность коэффициента корреляции просто линейно связана с изменениями начальных данных).
Значение Л(X, Y) имеет высокую чувствительность и к числу n (т.е. к изменениям числа максимумов и соответствующего количества членов ряда Xi или Yi), Для обычных статистических коэффициентов (см. (2')) значимость обратно пропорциональна √n, и, если n много больше единицы, то при небольшом его изменении оценки значимости коэффициентов корреляции или регрессии практически не изменятся. В то же время, скажем, если в нашем примере мы произвольно выделим еще по 2 новых максимума в каждой из «хроник» X и Y (т.е. изменим n с 15 до 17), то расстояние ρ при этом изменится не слишком значительно, зато уровень коэффициента Л(X, Y) упадет в 2 раза. Из (8') для коммутативных коэффициентов следует:

Таким образом, падение будет тем больше, чем меньше «расстояние» между X и Y, так, например, для ρ = 15 лет при том же изменении n уровень коэффициента Л(X, Y) упадет уже в 10 раз. Следовательно, при сопоставлении разных пар хроник с разным числом локальных максимумов значения коэффициентов Л(X, Y) несопоставимы друг с другом, поскольку каждый раз уровень значимости коэффициента должен определяться отдельно, в зависимости от числа n. В указанной книге А. Т. Фоменко такой анализ отсутствует.
Итак, чувствительность коэффициента Л(X, Y) служит существенной проблемой и обостряет проблему интерпретации результата, в то же время обычные статистические коэффициенты полностью лишены этого недостатка.
3) Разберем теперь некоторые конкретные значения коэффициента. Предположим, что в двух хрониках соответствующие промежутки между максимумами отличаются не более чем на Δ лет, т.е. для любого номера i

Если считать, что хроники описывают одинаковые события, то величина Δ имеет смысл наибольшей ошибки хрониста при определении промежутка между последовательными событиями (максимумами). Подставляя неравенства (9) в расстояние (3), получаем, что ρ ≤ √n, что в свою очередь позволяет подставить это расстояние в неравенство (8). Окончательно, мы получаем зависимость ε(Δ), график которой в логарифмическом масштабе изображен на рисунке (здесь по-прежнему, A=450, n=15; по вертикальной оси отложен десятичный логарифм от ε).

Из графика видно, что Л(X, Y) не превосходит 1% при Δ = 16 лет. Иными словами, все хроники на данном отрезке, в которых максимумы различаются не более, чем на 16 лет, можно считать совпадающими, с вероятностью случайного совпадения 1 шанс из 100. Не будем обсуждать с исторической точки зрения, могут ли хроники, описывающие одинаковые события, различаться во датировках на 16 лет (ответ, конечно, зависит от древности хроник), но обратим внимание, что эта ошибка превосходит половину среднего временного промежутка между последовательными событиями Xср = Yср = A/n = 30 лет. Итак, располагая события по хронологической оси, создатель хроники может допускать ошибки более 50% в определении каждого промежутка, и тем не менее хроники будут трактованы как совпадающие с вероятностью в 99%. Очевидно, что коэффициент Л(X, Y), с одной стороны, для действительно зависимых хроник, позволяет хронисту делать огромные ошибки, с другой стороны в пределы этих ошибок могут попасть и совершенно независимые хроники, которые придется интерпретировать как совпадающие с вероятностью 99%.
К чести автора, надо заметить, что вероятность 99% он еще не считает абсолютной для определения тождественности хроник, а существенно опускает границы значимости своего коэффициента. Это делается им на основании «вычислительного эксперимента». В частности, он замечает, что «для независимых текстов число Л(X, Y) колеблется от 1 до ? при количестве локальных максимумов от 10 до 15» (заметим, что в последнем случае, когда независимые тексты имеют ВССЛ равной 1/100, как раз и должно реализоваться одно «случайное совпадение» из 100!). Эти значения «разительно отличаются от типичных значений 10−12 – 10−6 для заведомо зависимых текстов (с аналогичным количеством максимумов)».252 Из слов автора следует, что рассмотренный нами выше пример с Л(X, Y) <2x10−6 (выбранный, как говорилось, наугад), на самом деле соответствует заведомо зависимым текстам! При этом, и в нашем примере максимальная ошибка D = 16 лет (хотя и достигается не по всем координатам) превосходит половину среднего расстояния между максимумами.
Приведенный нами пример, в котором пара хроник с отсутствующей по стандартным статистическим критериям корреляцией, тем не менее, соответствует зависимым текстам, не только говорит о завышенных автором уровнях значимости, но и вообще ставит под сомнение корректность оценок его «вычислительного эксперимента». Правда, чуть ниже автор еще раз оговаривается, что зависимыми можно считать тексты с коэффициентом меньше 10−8. На нашем графике этому значению Л(X, Y) соответствует Δ = 6 лет, т.е. определяя промежутки между узловыми событиями, наш хронист может ошибаться всего лишь на 20% от среднего расстояния между ними. И эта оценка также представляется нам завышенной: с точки зрения статистики разумно допустить не более чем 5% ошибку хрониста, которой на графике соответствует уровень значимости коэффициента, при данном числе максимумов равный 10−16.
Обобщая вышесказанное, мы делаем вывод: «малые значения» коэффициента вытекают из самой его структуры (в частности сверхчувствительности к отклонениям), и еще не обеспечивают достоверности результата.
4) Наконец, мера близости оказывается не транзитивной, т.е. если точка X близка к точке Y, а точка Y – к точке Z, но в общем случае не всегда точка X близка к Z. Покажем это для коммутативных коэффициентов. Рассмотрим три «хроники» X, Y и Z, которые а) лежат на одной прямой в n-мерном пространстве, б) достаточно близко друг к другу и «глубоко» внутри множества Ш, чтобы их коэффициенты коммутировали, и в) так, что расстояния между X и Y и расстояния между Y и Z одинаковы и равны ρ. Поскольку точки лежат на одной прямой, то тогда расстояние между X и Z будет равно 2ρ.
Для коммутативных коэффициентов имеем Л(X, Y) = Л(Y, Z) = ε, где ε вычислено по формуле (8'). Мы можем положить, например, ε = 10−8, и тогда хроники X, Y и Y, Z интерпретируются как «заведомо зависимые» (при числе максимумов от 10 до 15). Но, подставляя в (8') расстояние между точками X и Z, равное 2ρ, получаем

что дает, скажем, в нашем модельном примере при 14 максимумах (n=15):

Итак, мера между X и Z отличается от меры точек-соседей более чем в 10 тысяч раз! Хотя пары X, Y и Y, Z считаются «заведомо зависимы», оценка связи X и Z находится далеко выше границы зависимых хроник, и приближается к значениям независимых. Отметим, что сам автор не только не оговаривает эти проблемы, но даже в своей книге неявно пользуется транзитивностью коэффициента, например, рассуждая о возможности продолжить книгу Тита Ливия учебником В. С. Сергеева (см. ниже).253
Вероятностная интерпретация
Мы неоднократно упоминали «вероятность» случайного совпадения максимумов в хрониках, которую автор получает, вычисляя коэффициент Л(X, Y). Но очередное возражение, которые мы сейчас сделаем, состоит в том, что такая интерпретация Л(X, Y) является крайне неточной, и величина ее ошибки опять-таки сильно зависит от параметров A и n.
В самом деле, если эта интерпретация верна, необходимо, чтобы анализируя случайно выбранную хронику методом локальных максимумов, можно было с равной вероятностью получить любую точку из множества Ш, иначе говоря распределение «виртуальных» хроник (длины А лет) по множеству Ш было бы равномерно. Вот доводы автора: «Равномерность распределения случайного вектора C на множестве Ш может быть обоснована тем, что вектор С изображает точки максимумов функции объема »глав« текстов, описывающих заданный период (A, B), а поскольку наша модель воспроизводит механизм потери и утраты информации, то равновероятна утрата любого документа, описывающего какие-то события из (A, B). При гибели, например, архива, равновероятно уничтожение любого текста».254
Из этого рассуждения можно уяснить – автор предполагает, что каждой точке множества Ш соответствует некоторая своя «виртуальная» хроника, и поскольку вероятность сохранения или утраты любой хроники одинакова, то и вероятность встречаемости каждой точки из Ш одинакова. Это было бы верно, но, к сожалению для автора, целые группы точек из множества Ш соответствуют всего одной «виртуальной» хронике.
Это напрямую связано с ничем не мотивированным предположением автора о существовании кратных максимумов и, соответственно, наличием наборов Xi с нулевыми координатами. Если «виртуальная» хроника имеет m различных максимумов (m <n−1), то она допускает (с учетом того, что первое и последнее значения ряда – т.е. соответственно, расстояния от начала (конца) отрезка до первого (последнего) максимума – фиксированы) Сm−1n−2 = (n−2)!/(m−1)! (n−m−1)! способов расстановки кратных максимумов, и следовательно, ровно столько точек из множества Ш, содержащих на месте кратных максимумов нулевые координаты, и соответствует этой хронике. Утрата этой «виртуальной» хроники (равновероятная среди других) немедленно влечет за собой утрату не одной, а всех Сm−1n−2 точек из множества Ш. Поэтому равномерность распределения случайного вектора по множеству Ш нарушается, а точки с нулевыми координатами имеют меньший статистический вес, чем остальные.
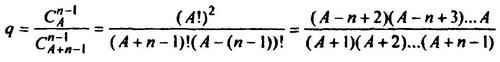
Легко оценить общее количество точек, в которых нарушена равномерность распределения. С помощью элементарной комбинаторики можно найти, что полное число точек в множестве Ш равно Cn−1A+n−1, а число точек в Ш, имеющих все координаты ненулевыми, – Cn−1A. Их отношение равно

Для наших модельных параметров A=450, n=15 получаем q=65%, а это значит, что для прочих (1−q) = 35% точек множества Ш, имеющих одну или несколько нулевых координат, равномерность распределения не выполняется.
Однако, и оставшиеся ненулевые точки отнюдь не все встречаются с равной вероятностью. Дело в том, что, поскольку автор требует существования локального максимума лишь в одной точке, то в числовых последовательностях не может встречаться расположение максимумов в двух идущих подряд датах, промежуток между которыми – 1 год. Это значит, что точки множества Ш, у которых одна из координат (кроме первой и последней) равна 1, вообще не соответствуют никакой «виртуальной» хронике.
Наконец, не можем не отметить, еще одну особенность применения кратных максимумов. Автор пишет, что перебрав все варианты их расстановки и вычислив для каждого соответствующие коэффициенты, «в качестве Л(X, Y) возьмем наименьшее из всех получившихся таким образом чисел».255 Однако, почему наименьшее, когда статистическая корректность требует из всех оценок выбирать наиболее осторожную, которая соответствует наибольшему из коэффициентов, или, в крайнем случае, усреднять оценки, но уж никак не брать из них наилучшую.
Проведенный анализ, на наш взгляд, убедительно доказывает статистическую некорректность применения методики локальных максимумов для анализа «совпадения» хроник и получения соответствующих «хронологических сдвигов». Разобранные выше основные возражения – несоответствие результатов методики стандартным статистическим коэффициентам, сверхчувствительность и внутренняя природа появления «малых чисел», некорректность вероятностной интерпретации, а также множество более мелких замечаний отвергают возможность использования Л(X, Y) для получения значимых статистических результатов (по крайней мере, без дополнительного и тщательного анализа). Тем не менее, мы не ограничимся этими возражениями, и последнюю часть работы посвятим разбору сопоставления по методике Фоменко хроник Тита Ливия и Ф. Грегоровиуса, чтобы на конкретном материале доказать недостоверность полученного им «базового хронологического сдвига».
Мера близости «хроник» Тита Ливия и Грегоровиуса
Активно используемый в книгах по «Новой хронологии» результат состоит в следующем: хроника средневековой истории Рима, изложенная Ф. Грегоровиусом (начиная с 300 г. н.э.), совпадает с хроникой Тита Ливия с ВССЛ 6x10−10 (на отрезке с 1 до 461 г. от основания Рима, т.е. с 753 по 293 г. до н.э.), а также совпадает с объединением книги Тита Ливия и «Очерков по истории древнего Рима» В. С. Сергеева (еще на более широком отрезке с 1 до 519 г. от основания Рима) с ВССЛ 6x10−11. Тем самым с почти «абсолютной» достоверностью события средневековой и античной истории Рима совпадают, являясь историческими «дубликатами» со сдвигом в 1053 г. Проверим этот результат.
Уже при первом взгляде на анализируемые автором тексты, видны их особенности, не укладывающиеся в стандартную схему методики.
Сочинение Тита Ливия, действительно, можно считать примером погодного изложения событий, но с определенного момента, а именно, с 245 г. – первого года римской республики, когда был установлен ее государственный строй, и в частности, ежегодная смена консулов. Именно с избрания консулов на следующий год и начинает любую свою «погодную» запись Ливий. По этому избранию можно всегда определить начало следующего года и сопоставить каждой записи соответствующий год от основания Рима.
Такая хронологическая сетка и была проставлена в использованном автором издании, и сделана это было не Ливием, как ошибочно пишет Фоменко, а редактором перевода.256 В некоторых местах эта сетка имеет пробелы (что является недостатком не Ливия, а данного издания, причем кое-где даты редактора на полях пропущены просто по ошибке, что видно в сравнении с 1-м изданием того же перевода, вышедшим в 1894 г.), и тогда Фоменко ошибочно считает, что Ливий объединяет несколько погодных записей в одну. На самом же деле все отдельные записи соответствующих лет легко восстанавливаются по тексту, из упоминаний консулов на новый год, иные же единичные исключения (как, например, 378–383 годы, когда выборы не проводились) специально оговорены Ливием. Мы сразу указываем на это, как на источник большого количества ошибок Фоменко: при проверке оказывается, что почти все трактовки им записей как «слитных» за несколько лет – неправильны.
Но самое интересное, что весь царский период в истории Ливия (отрезок от 1 до 244 года от основания города) погодной сетки не имеет. Историком вычислены лишь продолжительности царствований семи римских царей. Поэтому все события этого периода, который составляет большую половину всего хронологического промежутка анализируемых книг Тита Ливия (с 1 по 461 г. от основания Рима), датируются весьма приближенно, лишь «с точностью до царствования», не говоря о возможных неточностях в определении самих длин царствований.
Книга Ф. Грегоровиуса также, в строгом смысле, не является трудом с погодным записями, и никакой погодной сетки в ней нет. Однако, она находится даже ближе к погодному изложению, чем Тит Ливий, поскольку на всем рассматриваемом временном промежутке представляет последовательный пересказ событий с указанием их дат.
Но зато третья из использованных Фоменко книг – пособие В. С. Сергеева,257 вообще ни в каком смысле не является погодным изложением событий, да и не может таковым являться, поскольку предназначено для учебных целей. Сведения с 753 по 235 г. до н.э. (1 по 519 г. от основания Рима, период, который интересует Фоменко) изложены здесь в гл.1–3 всего на 66 страницах (с. 28–94) в кратких очерках, что совершенно несопоставимо с многотомным изложением Ливия и Грегоровиуса. Главы состоят из общих параграфов типа «Социальная организация древнеримской общины», «Демократизация социально-политического строя римской республики», «Италийская федерация», и меньшего числа последовательных очерков событий типа «Объединение Италии под гегемонией Рима», «Первая пуническая война». Одни и те же события, даты и имена упоминаются в разных главах, например, царскому периоду посвящена глава «Семь римских царей», но в отдельной главе разобраны «Реформы Сервия Туллия», и события царствования Тарквиния Гордого упоминается в обеих главах. Даты событий приводятся не в хронологическом порядке (например, о деятельности Аппия Клавдия как цензора 312 года рассказывается после того как дан очерк самнитских войн с 343 по 290 гг. и т.д.). Добавим, что объемы очерков не превышают нескольких страниц, охватывая периоды по 100–200 лет.
В таких условиях не только обычным методом подсчета страниц, но и каким-либо другим методом построить «погодную» шкалу объема информации от каждого отдельного года невозможно. Можно, например, считать строки, посвященные тому или иному году в тексте, но как это сделать, если в одном предложении могут упоминаться события даже не одного, а нескольких десятилетий! Даже в последовательных очерках многие фразы носят характер вроде: «В 327 г. началась вторая самнитская война (327–304), и как ее продолжение третья самнитская война (298–290)».258 С другой стороны, большинство сведений, описывающих устройство и должности римской республики, отношения Рима с италийскими городами и др. вообще не датированы, потому что являются обобщением сведением, взятых из самых разных мест Ливия. Однозначный вывод отсюда – датировать максимумы с точностью до года (и даже десятилетия) в книге Сергеева невозможно.
Таким образом, мы не рассматриваем за явной некорректностью продолжение истории Тита Ливия кратким учебником Сергеева, и будем проверять только первый результат Фоменко: совпадение хроник Ливия и Грегоровиуса с ВССЛ, равной 6x10−10.
Здесь приходится отметить: в первом (1990 г.) и втором (1996 г.) издании Фоменко (на которые опирались многочисленные последующие интерпретации) автор не сделал ничего, чтобы утвердить свой результат как научно значимый. Все графики «информационных» функций объема данных хроник приводятся им, нарисованные от руки (!), без отметок по осям, т.е., фактически, не как графики, а просто картинки. По ним определить с точностью до года положение максимумов, а потом проверить прямым вычислением ВССЛ невозможно.
Поэтому автор данной статьи потратил немало времени на то, чтобы самостоятельно получить функцию объема для истории Тита Ливия. Однако, познакомившись с 3-им изданием книги А. Т. Фоменко (1999 г.), я к немалой радости обнаружил в приложениях подробные функции объема Ливия и Грегоровиуса, которыми пользовался сам автор.259 Такой шаг нельзя не приветствовать, потому что именно с этого момента его результат становился научно значимым, а проверка – возможной, чем мы сейчас и займемся.
К сожалению, приведя функции объема, Фоменко все равно не опубликовал конкретные значения максимумов, которыми он использовал при вычислении ВССЛ. Поэтому, за этим неизбежно приходится обратиться к «усредненной» функции из первых изданий (см. рис. 2). На ней мы ясно видим 13 локальных максимумов, а сопоставление с Приложением 4.2 3-го издания260 позволяет их точно датировать. Т.о. зафиксируем, что они падают на 38, 105–109, 139, 220, 244, 259–260, 305, 351, 364, 373, 411, 429 и 458–461 гг. от основания Рима. Такое же сопоставление для книги Ф. Грегоровиуса датирует его максимумы (которых то же 13) в 331–337, 410, 455, 527–529, 537, 547, 600–604, 630, 663, 689, 707, 726–731, 755 гг. н.э. Эти два набора максимумов действительно близки, и их ВССЛ мала.

Рис. 2. Функция объема из 1-го издания монографии А.Т. Фоменко.

Рис. 3. Исправленная функция объема Тита Ливия.
Однако, сравнение функции из Приложения 4.2. с первоисточником приводит к любопытному результату. Оказывается, что А. Т. Фоменко допустил 14 ошибок, влияющих на определение положения максимумов, не говоря уже о других, менее значимых неточностях. Описание всех его ошибок привело бы к чрезмерному увеличению этой статьи, и мы посвятим этому отдельную публикацию, здесь же остановимся только на наиболее характерных их типах.
1) Пропуск локального максимума. Так, например, Фоменко объединяет погодные записи 432–437 г. в одну, которая находится на с. 161–198, т.2 указанного издания истории Ливия. На самом деле, запись 432 г. заканчивается в конце 8-ой книги на с. 165. 9-ая книга Ливия начинается со слов «в следующем затем году» и новыми именами консулов Т. Ветурия Кальвина и Сп. Постумия на 433 г., затем о новом избрании консулов Кв. Публилия Филона и Л. Папирия Курсора говорится на 176 с. (434 г.) и последовательное изложение событий этого года идет до начала 189 с. Там упомянуто избрание новых консулов на ближайших комициях (Л. Папирий и Кв. Авлий Церретан на 435 г.). Консулы заканчивают описываемую войну, а с начала с. 191 Тит Ливий начинает специально оговоренное им отступление, посвященное Александру Македонскому и возможным последствиям его столкновения с Римом. Оно идет до с. 197, где опять говорится о новом избрании консулов (М. Фолий Флакцион и Л. Плавтий Венокс на 436 г.) Наконец на с. 198 речь о новых консулах Г. Юнии Бубульке и Кв. Эмилии Барбуле (437 г.), а в конце 198 г. начинается новый 438 год с диктатором Л. Эмилием.
Т.о. в разобранном тексте пропущен максимум 433–444 г., поскольку 433 году посвящено 11 cтр. (и соответствующая функция, введенная Фоменко – 12f = 132), а 434 году – 12.2 стр., (12f = 146). Оба этих значения функции сравнимы с ее значениями в ближайших максимумах 429 и 458–461 гг. Причиной ошибки была опущенная здесь на полях хронологическая сетка. Отметим, также, что не разбивая запись, Фоменко здесь (и в нескольких других местах) проигнорировал очевидный факт, что каждая новая книга Ливия в данном отрезке начинается с новой погодной записи.
Из-за схожих ошибок пропущены оказались максимумы 245–247, 294, 414, 444 г.
2) Появление «ложного» максимума. А вот пример обратной природы: записи 373 и 374 г. у Фоменко объединены в одну за 373 г. (с. 27–36, т.2), и указано, что 374 г. у Ливия не описан. На самом же деле, запись 373 г. заканчивается на с. 32 внизу, и начинается запись 374 г., с упоминанием о новых выборах (чему соответствует и незамеченная Фоменко отметка редактора на полях). Т.о. вместо максимума 373 г. (объем 8.8 стр., 12f = 106) получаются две записи 373 (объем 5.4 с., 12f = 65) и 374 (объем 3.4 12f = 41), и максимум оказывается ложным.
3) Исчезновение максимума при «усреднении». Максимум 358 г. (обширный рассказ Ливия о диктаторстве Камилла и взятие Вей) – объем 10.3 стр., 10f = 103, хотя и правильно отмечен Фоменко в его функции объема, но на «усредненном» графике из первого издания оказывается размытым и как бы присоединяется к соседнему максимуму 364 г. Что именно за усреднение здесь применялось – неясно, поскольку на построенных нами графиках 3-х точечного усреднения максимум 358 г. виден очень отчетливо. По своему значению функции он совсем немного уступает, например, ближайшему из выделенных Фоменко максимумов – 351 г. (10f = 128).
Таким же образом при «усреднении» были потеряны максимумы 308–309 и 369 г.
4) Максимумы «царского» периода. В приведенном списке обращает внимание, что 5 из 13 максимумов относится к «царскому» периоду, о проблемах с хронологической сеткой которого мы уже говорили. Для точного датирования этих максимумов Фоменко прибегает, на наш взгляд, к весьма некорректным приемам. Разберем один из них на примере максимума 105–109 гг.
Речь идет о царствовании Тулла Гостилия (83–114 г. от основания Рима), продолжительность которого 32 года. Фоменко делит текст Ливия на 7 разных сюжетов, и получает, что на каждый из них приходится по 4.5 года. Далее объем каждого сюжета делится на 4.5 и получается искомое значение функции. При этом максимум приходится на 6-й сюжет (война с сабинянами), который соответственно, и помещается под 105–109 гг.
Однако, «сюжеты», выделенные Фоменко, совершенно не равнозначны:
1. «Смерть Нумы» (упоминание в начале 22 главы, на с. 36, т.1);
2. «Общая характеристика Тулла Гостилия» (всего лишь одна фраза на с. 36: «Этот не только не походил на своего предшественника, но был еще воинственнее Ромула. Побуждали его к тому столько же его возраст и силы, сколько слава деда»);
3. «Государство слабеет от мира. Поиски поводов к войне» – также одно предложение на с. 36, которому Фоменко почему-то приписывает объем в 1 стр.
4. «Угон скота. Переговоры и их разрыв. Подготовка к войне» – занимает, действительно, 1 стр., до конца 22 главы, и неразрывно связан со следующим сюжетом.
5. «Война с альбанцами» – у Фоменко он имеет 10f = 3, но на самом деле включает главы 23–26, (всего 8,5 с.), из которых большая часть (гл. 24–26, 7 стр.) посвящена битве Горациев с Куриациями (т.е. событиям в течение одного года). После этого, в гл.27–29 идет пропущенная в сюжетах Фоменко вторая война с Альбой и разрушение города (объем 4,8 стр.) Таким образом, полный объем «альбанского» сюжета – 13.3 стр., и даже после деления на 4.5 это дает 10f = 30, в то время как Фоменко приписывает этому сюжету значение функции в 10 раз меньшее.
6. «Война с сабинянами» – у Фоменко здесь локальный максимум с 10f = 5, на самом деле сюжет занимает одну главу 30 (1,6 стр.) и 10f = 16/4.5 = 3.5, что существенно меньше, чем в предыдущем сюжете и никакого максимума здесь нет.
7. Наконец, последний сюжет «извержение вулкана, моровая язва, смерть Тулла» относится к гл.31 (объем 1.2 стр., 10f = 3)
Итак, на самом деле, в рассмотренном отрывке имеется не более 4 равноценных сюжетов (две войны с Альбой, война с сабинянами и «моровая язва и смерть Тулла». Следуя методике самого Фоменко мы делим отрезок на 4 равные части, и получаем максимум на первом отрезке (приготовления и первая война с Альбой) т.е. 83–90 гг. с 10f = 95/8 = 12.
Нам трудно судить, что послужило причиной столь сильно искажения первоисточника – невнимательность или сознательный обман читателей.
Той же природы искажения мы встречаем в максимуме 38 г., связанном со смертью Ромула (на самом деле, его объем существенно уступает предшествующему рассказу о «похищении сабинянок», события которого длились, очевидно, не более года, но точно датировать их нельзя, а на основании того, что, как пишет Ливий, «Рим уже достиг определенной степени могущества», их можно поместить, скажем, в пределах 10–30 гг.). Максимум 139 г. – просто ложный, поскольку к этому году Фоменко присоединяет все известия о Тарквинии Старом, которые у Ливия не относятся к определенному году (гл.34), а наоборот, подчеркивается, что описан некий промежуток жизни Тарквиния в Риме. Таким же ложным оказывается и максимум 220 г. Единственный максимум, выделенный Фоменко в Приложении 4.2., с которым можно согласиться – это события 176 г. (смерть Тарквиния), объем которых действительно превосходит смежные сюжеты. Но, поразительно – именно этого максимума мы не найдем на «усредненной» функции из 1-го издания книги Фоменко.
Наконец, приведем последнюю трогательную деталь, говорящую о «точности» подсчетов А. Т. Фоменко. Он сравнивает число типографских знаков в двух томах имевшейся у него книги (которые, действительно, разного формата), и благодаря этому вводит разные коэффициенты 10f для функций объема 1-го тома и 12f – для 2-го тома. Но ведь оба тома содержат большое количество примечаний, набранных мелким шрифтом и меняющих число знаков на странице (причем иногда объем примечаний на странице сопоставим с объемом собственного текста Ливия)!
Ниже приведен график исправленной функции объема с выполненным по методике Фоменко 3-х точечным сглаживанием. На ней видны правильные максимумы Ливия, которые имеют вид (см. рисунок):261
10–30, 83–90, 176, 244–247, 259–260, 294, 305, 308–309, 351, 358, 364, 369, 411–414, 429, 433–434, 444, 458–461.
Их оказывается 17, и коэффициент ВССЛ с максимумами Грегоровиуса не падает ниже 10−2. Даже если мы, проводя очень «широкое» сглаживание, и в соответствии с картинкой Фоменко, объединим 358, 364, 369 в один широкий максимум «галльской войны» 358–369, максимумы 305 и 308–309 – в широкий максимум «децемвиров» 304–310, а 429, 433–434 – в максимум 429–434 («самнитские войны»), то и тогда окончательный набор 13 максимумов
10–30, 83–90, 176, 244–247, 259–260, 294, 304–310, 351, 358–369, 411–414, 429–434, 444, 458–461
будет отличаться от представленного выше по Фоменко. Для последнего набора ВССЛ «Ливий – Грегоровиус» находится в пределах 10−3 – 10−2, т.е. на границе коэффициента, характерного для независимых текстов.
Итак, наш анализ представленной Фоменко методики локальных максимумов позволяет сделать два вывода: 1) коэффициент Л(X, Y), трактуемый как «вероятность случайного совпадения лет» (ВССЛ), не удовлетворяет требованиям, предъявляемым для стандартных статистических коэффициентов, и интерпретация его результатов сталкивается к серьезными трудностями, требующими тщательного и кропотливого решения в каждом отдельном случае; 2) даже принимая ВССЛ как меру «совпадения» хроник, с учетом исправленных ошибок близость текстов по истории древнего и средневекового Рима не дает оснований утверждать об их зависимости друг от друга.
В данной статье мы провели разбор всего одного из методов Фоменко, и показали, что декларируемая «абсолютная» достоверность результатов здесь отнюдь не соблюдается. Метод локальных максимумов был выбран по причине его ясного геометрического смысла, в то время как другие методики подвержены большей критике уже на самой стадии их построения. Вычислительная же природа появления «малых чисел», например, в коэффициенте совпадения династий ВССД аналогична ВССЛ, и ошибок там допущено не меньше, о чем расскажет следующая статья сборника. Конечно, авторы «Новой хронологии» могут нам возразить, что их результаты держатся на совокупности всех их методов. Однако, показав, какое огромное количество ошибок и некорректных утверждений содержит применение всего одного из основных методов, мы еще раз напоминаем, что каждый из методов необходимо тщательно обосновывать, и что без такой элементарной культуры статистических расчетов, любые полученные результаты, какими бы привлекательными они не казались, теряют всякий смысл.
М. Л. Городецкий. Династические параллелизмы в «новой хронологии»
Одним из основных аргументов «новой хронологии» академика А. Т. Фоменко и его последователей является «метод распознавания дубликатов» [1]. Демонстрируются пары хронологических списков правителей разных стран и эпох с близкими числовыми показателями, и утверждается, что такие совпадения абсолютно невероятны с точки зрения математической статистики. Утверждается также, что таких пар – «параллелизмов» найдено «несколько десятков» с помощью некоей строгой формализованной вычислительной процедуры, и что эта процедура также позволяет вычислить степень близости списков, выражаемую невероятно малыми числами (в дальнейшем для простоты я буду, следуя автору метода, такие списки называть династиями). Такие пары династий, представленные в наглядном графическом виде, производят на неподготовленного читателя сильное впечатление. Этот метод, наряду с другим близким методом – методом «корреляции максимумов», якобы примененным для анализа огромного количества нарративных текстов объявляется математическим основанием новой хронологии с далеко идущими выводами [2]. Попробуем разобраться.
Метод «династических параллелизмов» имеет свою историю. Его, видимо, придумал Н. А. Морозов, который в своем многотомном труде «Христос» [3] привел три пары династий, иллюстрирующие идею неверности традиционной хронологии: наложение ранней Римской империи на позднюю и библейских израильских и иудейских царей на римских императоров западной и восточных частей Римской империи. Кроме того, Н. А. Морозов отождествлял все египетские династии между собой, и все с теми же римскими императорами, переставляемыми в произвольном порядке, а также римских первых царей с римскими императорами, сгруппированными в семь блоков!
В конце 70-х годов забытыми идеями Н. А. Морозова заинтересовалась группа учеников известного математика М. М. Постникова, который прочел им курс лекций с изложением положений семитомника «Христос» [3]. Ревизия истории продолжилась. Основной упор был сделан на развернутой критике существующей хронологии и на разработке формальных методов анализа исторической информации. Для поиска новых династических параллелизмов один из участников группы А. С. Мищенко предложил некоторый коэффициент (КРП) [4]. Этот коэффициент представляет собой среднее арифметическое минимальных относительных уменьшенных на 2 попарных разностей длительностей правлений членов династий, выраженное в процентах, при этом в сумме учитываются лишь те пары, для которых разности длительностей правлений не меньше 2-х лет. Нужно отметить, что в [5] метод вычисления того же коэффициента, который назван уже КРМ – «коэффициент рассогласования Мищенко», как показывает числовая проверка, описан заведомо неверно. Неаккуратность в формулировках и небрежность в ссылках отличает многие статьи А. Т. Фоменко по новой хронологии.
Если этот коэффициент меньше 15% – пара династий объявляется зависимой. Вот на основе какой «статистики» делается этот вывод: «Как показал эксперимент, проведенный в 1975 г. мною совместно с А. С. Мищенко, при произвольном выборе пар династий, КРП (в подавляющем большинстве случаев) не меньше 15%. Было просчитано несколько десятков взятых наугад пар». [4, с. 119]
Построив графики длительностей правления для «нескольких сотен династических потоков», по разному их накладывая, и делая «напрашивающиеся перестановки и объединения» ( [5, c.28]) Мищенко и Фоменко обнаружили 2 новые пары. Впоследствии самый активный участник группы Фоменко, уже один, «существенно расширил границы эксперимента» и «обнаружил еще только семь новых струй с КРМ существенно меньшим 15%». Вот эти 9 новых пар в дополнение к трем парам Морозова:
4. римские папы за периоды 140 г.–314 г. и 314 г.–532 г.;
5. шесть последних афинских царей и шесть последних византийских императоров;
6. семь лакедемонских царей и семь деспотов Мистры, перечисленных в обратном порядке (!);
7. семь первых царей Рима и 7 императоров поздней Римской империи (параллелизм Морозова на новый лад);
8. параллелизм «потока Восточной Римской империи» и «империи Карла Великого»;
9. «начальный отрезок средневековой Римской (Германской) империи» и ранняя Римская империя;
10. «начальный отрезок средневековой Римской (Германской) империи» и «следующий отрезок той же Германской империи»;
11. две струи в поздней Римской империи на Западе и на Востоке;
12. струя в «библейском потоке Иудейского царства» и «некоторая струя Восточной Римской империи, сосредоточенная в ее начале».
Читатели книг по «новой хронологии» без труда узнают здесь старых знакомых. Для лучшего удовлетворения коэффициенту КРМ, Фоменко подверг косметическому ремонту и пары Морозова.
Что понимается под термином «династическая струя»? Династическими струями Анатолий Фоменко предлагает называть подпоследовательности правителей, получающиеся отбрасыванием тех или иных правителей из общего упорядоченного списка «фактических правителей государства». При этом формально на получающиеся подпоследовательности накладываются некоторые ограничения – они не должны содержать лакун больше 1 года и они должны быть монотонными, то есть середины правлений должны монотонно возрастать. Правда сами авторы этим ограничениям не очень-то следуют – в их «параллелизмах» встречаются как многолетние лакуны, так и существенные перестановки.
Обращает на себя внимание следующий факт – если не обращать внимания на совершенно не убедительные пары №№ 5, 6 и 7, в 7 случаях из 9 фигурируют римские императоры. Впрочем и № 7 без них не обходится. В чем причина парадокса? Почему римские императоры оказываются «параллельны» всему остальному миру?
Этот вопрос был подробно проанализирован Е. Я. Клименковым в критической статье [6]. Ответ кроется, естественно, в римской истории. Защищать в непрерывных войнах границы огромной Римской империи было непросто, и поэтому, скорее правилом, чем исключением, здесь был институт соправления. Разными частями империи одновременно управляли несколько «фактических правителей», а начиная с Диоклетиана соправление двух августов и двух цезарей было узаконено. При этом зачастую для любого отдельно взятого императора можно указать несколько вариантов сроков правления в зависимости от выбора точки отсчета: когда стал цезарем, когда августом, когда умер его соправитель, когда стал единовластным правителем на востоке или западе. Такие варианты и соправления можно найти в таблицах в статье [6]. Следует также заметить, что Фоменко не ограничивается только императорами, но причисляет к «фактическим правителям» варварских королей (Одоакр, Теодорих) и просто влиятельных деятелей империи (Аэций, Рецимер). Клименков предложил математическую характеристику вариантности династий («гибкости династического потока») и подсчитал вероятность нахождения любых параллелизмов заданной длины – она оказалась достаточна велика. Он также показал, что можно без труда, оставаясь в рамках Римской империи, построить другие параллелизмы, отличными от представленных Фоменко и с другими временными сдвигами. Таким образом, римская империя открывает богатые возможности для «параллельного творчества».
Чтобы не быть голословным, проиллюстрирую это утверждение картинкой аналогичной, приводимым в трудах по «новой хронологии», где за основу «дубликата» Восточной Римской империи были взяты русские цари. На существенные перестановки императоров пришлось пойти лишь в самом конце «параллелизма», когда вследствие падения Западной Римский империи, династический поток утрачивает гибкость.

Рисунок 1. Пример подбора «династического параллелизма»
Можно при желании легко найти и «событийные параллелизмы» между соответствующими правителями. Скажем, обращает на себя внимание пара Лжедмитрий – Непотиан, объявивший себя императором, пытавшийся с помощью гладиаторов (казаков) захватить власть в Риме, и жестоко убитый заговорщиками или легко находимые параллели событий при Екатерине Великой – Юстиниане Великом. Например: восстание Пугачева – восстание Ника, походы Велисария – Суворова.
Подсчитав КРМ этой династии мы получим 3.7%, еще лучшего результата можно добиться либо исключив Иоанна VI c Маркианом (меньше одного года) – 2.8%, либо объединив правительницу при малолетнем Иоанне Антоновиче – Анну Леопольдовну с Анной Иоанновной – 2.4%. Видимо авторы и сами смогли легко найти подобные абсурдные «параллелизмы», и уже в следующей статье [7] они пишут: «Однако более углубленный эксперимент […] выявил недостаточность КРМ для четкого различения пар зависимых и независимых описаний династий и желательность его замены его другим, теоретически и экспериментально более обоснованным показателем». Как увидим далее, заслуживает внимания и другая интерпретация – КРМ стал мешать подбору новых параллелизмов!
В статье [4] (в настолько общем виде, что ничего понять невозможно) и [1] А. Т. Фоменко предложил новый метод анализа династий. Однако и этот метод не лучше старого. Разбором этого метода мы и займемся. Предлагается рассматривать династии из n правителей как векторы в n-мерном пространстве. При этом координаты векторов соответствуют отдельным длительностям правления. Такая модель сомнительна – она предполагает независимость длительностей правления. Но ведь это не так! Например, проведенный мной статистический анализ длительностей правлений, приведенных в справочнике [8] показал, что после короткого, правления меньшего 3-х лет вероятность такого же короткого правления почти в 3 раза больше чем после длинного (больше 20 лет). Этот факт объясняется достаточно просто – в периоды смут правители часто сменяются, тогда как долго правящий правитель обычно успевает подготовить себе хорошую смену. Уже одного этого факта достаточно, чтобы поставить по сомнение корректность любых дальнейших «вероятностных интерпретаций» нового метода А. Т. Фоменко. Построенные частотные гистограммы в этих двух случаях заметно различаются. Кроме того, надо учитывать и постепенный рост средней длительности правления со временем (связанный в частности и с ростом продолжительности жизни) – этот факт также легко обнаруживается при анализе данных. Приходится констатировать, что статистический анализ длительностей правлений, приводимый А. Т. Фоменко в [4, c.114] сделан весьма поверхностно, а ведь это основа.
Проиллюстрируем сущность метода А. Т. Фоменко на примере пространства двух измерений, также как это делает автор в [2, т.1, с. 414–429], но пойдем для ясности в методе аналогий несколько дальше. Пусть у нас есть не список династий, а список городов с географическими координатами, измеренными с некоторой погрешностью. Мы почему-то решили, что в списке имеются «дубликаты» и нам их хочется обнаружить. Самое простое и естественное решение – рассчитать все расстояния между парами городов и посмотреть внимательно на пары, для которых это расстояние меньше вероятной погрешности измерения. Подобная процедура поиска близких династий в эвклидовой метрике, примененная мной к списку династий [8] не выявляет никаких особенностей, выходящих за рамки статистических распределений. Впрочем, о том же пишет и А. Т. Фоменко [2, т.1, c.420]. Что же предлагается делать в соответствии с «методикой распознавания дубликатов» А. Т. Фоменко? Выберем пару городов из списка. Построим на карте прямоугольник, центр которого совпадает с первым городом, а один из углов со вторым. Теперь учтем то, что координаты измерены с погрешностью и расширим прямоугольник исходя из возможной погрешности. Естественно, наши города распределены на карте неравномерно, скажем, чем больше широта и долгота (чем севернее и восточнее) тем их плотность на карте меньше. А. Т. Фоменко почему-то предлагается считать, что чем реже встречаются города (династии) тем больше их погрешности, и тем, соответственно, больше надо расширять прямоугольник (для обоснования этого факта всегда дается ссылка [4, c.115], но там мы с удивлением обнаруживаем всего лишь гистограмму длительностей правлений, ни о каких погрешностях речи не идет). Теперь нам потребуется определить «виртуальные» города. Оказывается, странный составитель списка мог вместо широты и долготы дважды написать широту или долготу, или записать вместо долготы сумму широты и долготы. Подсчитаем отношение числа получившихся виртуальных городов, попадающих в нарисованный прямоугольник (включая два рассматриваемых города) к полному числу виртуальных городов (в общем виде это число будет выглядеть следующим образом: V=Nx3x4n-2x2, где N – число династий, а n – размерность; для каждого из городов-династий с n=2, получаем следующие 6 вариантов – (l,b); (b,b); (l+b,b); (l,l); (b,l); (l+b,l), где l и b – долгота и широта). Получившееся число А. Т. Фоменко предлагает считать мерой близости λ. При этом сделано еще одно неявное необоснованное допущение о равновероятности всех таких «виртуальных вариаций». Есть еще небольшая тонкость, что виртуальные династии надо строить только от тех реальных, у которых по крайней мере 2/3n+1 координат попадают в границы расширенного n-мерного прямоугольника (еще одно непонятное предположение).
От профессионального математика, академика А. Т. Фоменко вполне можно было бы ожидать аналитического рассмотрения свойств получающейся меры. Однако такого анализа сделано не было. Предлагается просто поверить, что мера работает хорошо, и обеспечивает надежное различения «зависимых» и «независимых» династий. Проверим.
Я воспроизвел метод расчета, предлагаемый автором новой хронологии, по возможности строго следуя описанию способа определения меры удаленности династий – λ. Для расчета использовались таблицы из книги [8]. В книге приведено 230 исторических династий, с древнейших времен до нашего времени, включающих 4563 правителя. Было составлено N=2123 частичных династий, состоящих, как и предлагается в [1] из 15 правителей, и затем, по методу А. Т. Фоменко обработаны все 4505006 возможные пары (мера не коммутативна – об этом ниже, поэтому обрабатывались все Nx(N–1), а не Nx(N–1)/2 пар). Это примерно соответствует заявленному А. Т. Фоменко числу обработанных пар. Правда, странным образом, в [1] называется 1 миллион, а в более ранней работе [7] – 4 миллиона пар, при том же самом числе виртуальном числе династий V=15x1011. Перебрав всевозможные варианты, я могу предположить, что, видимо, речь идет о ~1400 династий, ~1400x700~106 пар и неточной оценке V=1400x415=1.5x1012, не учитывающей особенности крайних правителей династии.
Автор метода утверждает, что введенная им мера имеет вероятностный характер, то есть величина находимых коэффициентов λ, прямо пропорциональна вероятности обнаружения пары династий. Однако, анализ полученных в результате численного расчета коэффициентов удаленности династий показал, что это не так. Эти коэффициенты имеют такое распределение, что их очень малые значения достаточно вероятны. Это можно достаточно легко показать и аналитически. На следующем графике показана получившаяся экспериментально гистограмма частот и ее увеличенная часть для малых значений коэффициентов. На горизонтальной логарифмической (!) оси отложена предложенная мера, а по вертикальной оси число пар, имеющих близкие коэффициенты.

Рисунок 2. Гистограмма «меры близости» для 4.5 миллионов династических пар, и ее увеличенный фрагмент.
Дополнительная особенность меры такова, что из-за того, что число династий конечно, все очень малые коэффициенты собираются в одну точку со значением 2/(Nx3x4n-2x2)=2.3x10–12(крайний левый столбик на фрагменте графика на рис. 2). Это и понятно – в пустынной местности часто внутри прямоугольника могут оказаться только два рассматриваемых даже очень далеких одиноких города-династии. Именно поэтому возникает некоторый разрыв между этой точкой и основной массой значений больших 10–9.
А. Т. Фоменко предлагает считать «особыми» те династии, коэффициент удаленности λ которых меньше 10–8. Почему была выбрана такая граница – не ясно. Таких «особых династий» в публикациях новых хронологов встречается около двадцати, причем утверждается, что всего их обнаружено только несколько десятков. Посмотрим, что дает расчет.
Было найдено 7291 (!) «особых пар» династий с коэффициентом близости меньше 10–8, из них 4801 имеют минимально возможный коэффициент 2.3x10–12. Выборочный просмотр показал полную бессмысленность найденных «параллелизмов». Более того, большинство из них на первый взгляд вообще не выглядят похожими (таково свойство введенной меры). Таким образом, все «особые пары» новой хронологии представляют собой просто «хвосты» статистических распределений. Можно сказать, что с точки зрения теории обработки сигналов, метод «распознавания дубликатов» является типичным примером статистической ошибки второго рода. Для поиска отсутствующей черной кошки в темной комнате конструируются все более чувствительные детекторы, срабатывающие на пролеты мух. Далеко идущие выводы, построенные на основе выявляемых артефактов обоснования не имеют.
Предъявлю для доказательства один из таких «абсолютно невероятных» «параллелизмов» между средневековым королевством Наваррским и Швецией нового времени. Для того чтобы его выбрать из тысяч других, пришлось наложить на пары ряд дополнительных ограничений. Можно заметить, что в этом «параллелизме» нет ни одного пропуска, ни одной перестановки, династии взяты именно так как они приведены в справочнике.

Рисунок 3. Графическое изображение найденного «параллелизма»
Интересно, что и годы правления следующих правителей – Тибо I 1234/1253 (19) и Густава VI Адольфа 1950/1973 (23) также близки. Коэффициент близости двух династий 2.3x10–12. Среднее расстояние между двумя династиями 719.5 лет, что почти совпадает с 720-летним, одним из хронологических сдвигов А. Т. Фоменко. Думаю, понятно, что, получив такой «параллелизм», я не бросился искать лингвистическую близость шведского и баскского языков.
Приходится констатировать, что вызывает серьезные сомнение тот факт, что автором [1] был проведен сколько-нибудь полный «вычислительный эксперимент по вычислению λ(a,b)». Расчет на компьютере с процессором Pentium-225 у меня занял 11.5 часов. При уровне вычислительной техники в 1981 году (быстродействие примерно на три порядка ниже), такой расчет вряд ли мог быть выполнен за разумное время. Следует также отметить, что я не использовал никаких «династических струй» и брал династии именно так, как они приводятся в справочнике. Составление «струй», очевидно, увеличило бы на порядки число всех пар, виртуальных династий и «особых пар», но потребовало бы для вычислений применение суперкомпьютера.
Еще одним подтверждением сомнений служит заявление об обнаружении «всего нескольких десятков [особых пар] из 106 обработанных пар» (под несколькими десятками, кажется понимается ровно 20 пар, которые можно найти в разных книгах авторов «новой хронологии»). Автор, похоже, ограничился лишь нахождением коэффициента близости для пар, подобранных им ранее ручной подгонкой [1]:
1. Римская империя от 82 г. до н.э. до 217 г. н.э. и Римская империя 270–526 гг. н.э., λ=1.3x10–12
2. Римско-Германская империя 962–1254 гг. н.э. и империя Габсбургов 1273–1619 гг. н.э., λ=1.2x10–12
3. Две Римские империи 270–553 гг. н.э. и 962–1254 гг. н.э., λ=2.3x10–10
4. Империя Карла Великого (681 – 887 гг. н.э.) и Восточная Римская империя 333 – 527 гг. н.э., λ=8.25x10–9
Откуда берется первое число нам уже понятно – это приблизительно 2 деленное на объявленное в статье число виртуальных династий 15x1011 ( =1.33x10–12), второе же – трудно объяснимо, возможно, число V было несколько больше, и результат деления был, чтобы не смущать читателя одинаковыми числами, лукаво округлен в одном случае в большую, в другом в меньшую сторону. Последняя пара 4) приведена несколько не к месту – ведь она состоит всего из 11 «династов». О ней, как о характерном примере подбора мы поговорим ниже.
Несколько дополнительных замечаний по поводу выявленных мной свойств предложенной А. Фоменко меры близости:
1. Она настолько плоха, что даже если бы реальные параллелизмы, существовали они бы утонули среди моря артефактов.
2. Мера удаленности бессмысленно чувствительна к ошибкам в исходных данных, малые изменения длительности одного правления, а тем более пропуск одного из правителей меняют коэффициент на несколько порядков.
3. Мера не коммутативна (в строгом математическом смысле это означает, что «мера» мерой не является), то есть если династия a близка к b (имеет коэффициент λ меньше 10–8), b может быть далека от a (имеет коэффициент λ больше 10–8). Это легко понять на нашем географическом примере. Понятно, что в прямоугольник построенный с центром в Москве и углом в N-ске попадет гораздо больше «виртуальных городов» чем в прямоугольник, углом, цепляющимся за Москву и центром в N-ске. Так, среди 7291 «особых» пар династий, лишь 1009 близки при любом порядке расположения, а 5273 некоммутативны. Использование такой меры, для каких-либо выводов более чем странно.
4. «Мера» не транзитивна. Из 18757 комбинаций в которых династия a близка к b, а b близка к c, только в 796 случаях династия a близка к c. То есть, даже с формальной математической точки зрения авторы новой хронологии не имеют права сводить якобы найденные ими исторические пласты к одному последнему.
5. «Мера» просто абсурдна. Если рассчитать предложенную меру удаленности для династии по отношению к самой себе, то окажется, что из 2123 династий, 9 династий далеки сами от себя. В нашей географической аналогии прямоугольник с центром и углом в Москве имеет, естественно, нулевой размер, но после предлагаемого расширения, учитывающего погрешности, в него с легкостью сможет попасть множество виртуальных городов.
Можно задаться и таким вопросом: допустим, что А. Т. Фоменко все же прав, и существует несколько пар или десятков пар «династий-дубликатов». Возникает вопрос – что делать с одновременными этим дубликатам сотнями «независимых» династий в соседних и отдаленных странах? Объявить никогда несуществовавшими?
Итак, можно сделать вывод, что и новый предложенный метод, поиска дубликатов не работает. Однако во всех последующих публикациях, авторы «новой хронологии» неизменно ссылаются на [1], утверждая, что именно так были найдены все параллелизмы. Со временем число введенных в оборот «параллельных пар» возросло с 12 до 20. «Параллельность» частей Германской и Римской империи, которые, в свою очередь, «параллельны» библейским царям, навела на мысль поискать библейско-германские связи. Гибкость династических потоков Византии позволила разложить ее на три взаимно параллельные части. Римским императорам оказались «параллельны» и армянские католикосы. Решили авторы «новой хронологии» ревизовать историю Англии – сделали византийско-английский параллелизм. В последние годы сосредоточились на России, и подобрали три новых (самых грубых из всех) «параллелизма». Интересно, что если для многих новых «параллелизмов» рассчитать старый коэффициент КРМ, он оказывается больше 15%, видимо для них велика и новая мера, во всяком случае ни для одного из трех «русских параллелизмов» она не приводится. Впрочем, здесь деятельность академика ушла слишком далеко от научных методов.
Но это общие рассуждения. Спустимся от общего к частному и рассмотрим для примера самый короткий, и, казалось бы, самый лучший из четырех параллелизмов А. Т. Фоменко, указанных в статье [1], который, напомню, исторически был найден вовсе не так, как сообщает его автор. Проверим – мог ли этот «параллелизм» быть в действительности обнаружен заявленным формальным образом. Оказывается, нет! (Расшифровка параллелизма взята из книги [2, c.488]).

Я не буду разбирать историческую абсурдность приводимых параллелей, оставляя это на долю историков, игнорируя такие «пустяки» как основание империи Карла Великого в левой половине таблицы и распад и падение Римской империи в столбце справа. Подойдем к приводимой табличке как к некоторым абстрактным данным из справочника. Оказывается, что этот параллелизм ни при каких обстоятельствах не может быть найден никакими математическими методами. Причина проста – не существуют хронологические таблицы, в которых присутствовали бы рядом, как члены некоей единой династии, представители ряда слева, так и таблицы, в которых стояли бы в одном списке правители ряда справа. Мало того, что из трех разных источников ( [9], [10], [11]) подбирались самые подходящие даты, в обоих списках «смешались в кучу кони, люди».
Действительно:
1а, 2а – Маленькая тонкость: Пипин II и Карл Мартелл, хотя и имели значительную власть, были всего лишь майордомами при дворе сменявшихся королей Меровингов.
3a – Пипин Короткий стал королем франков в 751 году. Лакуна 741–751 относится ко времени, когда он, как и его предшественники, был могущественным майордомом при последних Меровингах.
6a – Людовик I погиб императором в 840-м году. Хотя в 830 и 833 на короткое время сыновья Лотарь и Пипин отнимали у него власть.
7a – Лотарь король Баварии 814–817, Италии 818–843, Лотарингии 843–855. Император «Священной Римской империи» 817–855. В империи Каролингов с 840 года не правил, поскольку потерпел поражение и отступился после Верденского договора.
8a – Вообще-то 840–877
9а – Прыжок в Германию. Людовик II Немецкий, король Баварский 817–843, немецкий 843–876.
10а – Теперь в Италию. Людовик II король Италии 843–875 и Император «Священной Римской империи» 850–875.
11а – Назад во Францию, пропускаем Людовика II Заику 877–879, Людовика III (879–882), и Карломана (879–884).
Теперь посмотрим на колонку справа:
1б – Констанций II – август с 337 г., а с 324 он только цезарь, единовластный правитель только с 353.
2б – После Констанция правили Юлиан, Иовиан, Валентиниан I, Валент, Грациан, Валентиниан II (лакуна в 18 лет).
5б – Константин III (407–411) – соправитель в Западной Римской империи, а в Восточной Империи известен свой Константин III, Ираклид, правивший в 641 г.
6б – Пропускаем Маркиана (450–457), сделав лакуну в 7 лет.
7б – Пропускаем Льва II 474. Зенона в 475 году свергли, в 476 восстановили.
8б – Каким образом в список Византийских императоров попал остготский король Теодорих (к тому же с 471, а 493 – год основания остготского королевства в Италии)?
10б – А Одоакр, Германский правитель Италии, низложивший Ромула Августула и разбитый своим предшественником (!?) в списке Теодорихом? Заметим, что даже описанный математический метод, позволяющий многое, такого изощренного жонглирования не разрешает.
Вывод. Подбор данных осуществлен некорректно, и нарушает все заявляемые самими авторами, принципы:
1. Перемешаны правители разных государств.
Последовательность чисел, выражающих длительности правлений всех правителей на протяжении всей истории данного государства […] будем называть династическим потоком. [2, с. 426]
2, 3. Нарушена «монотонность» и «полнота»
Подпоследовательности, получающиеся отбрасыванием тех или иных соправителей назовем династическими струями. От каждой такой струи требуется, чтобы она была монотонной, то есть середины периодов правлений монотонно возрастали. Требуется также, чтобы династическая струя была полной, то есть чтобы она без пропусков и разрывов покрывала весь исторический период, охваченный данным потоком. Перекрытия годов правлений при этом допускаются. В реальных ситуациях по понятным причинам перечисленные выше требование могут быть несколько нарушены. Например, из рассказа летописца может быть год, или несколько лет междуцарствия. Поэтому приходится разрешать незначительные пробелы. Мы допускали лишь такие пробелы, длительность которых не превышает одного года. [2, с. 426] В «струе» справа 2 «пробела» в 18 и 7 лет. В «струе» слева (это тоже струя, в соответствии с определением Фоменко) – три «пробела» 7, 13 и 7 лет. Три объявленных в [1] возможных типа ошибок и «монотонность» не позволяют такую тройную перестановку как Теодорих, Анастасий, Одоакр (которые, к тому же из разных государств – см. пункт 1).
4. В статье [1], где в качестве примера приведен этот параллелизм, утверждается что обрабатывались лишь 15-звенные струи, а предъявляется 11-звенная.
Еще нескольких сопутствующих замечаний.
Этот параллелизм авторы «новой хронологии» называют вторичным, поскольку до 10 века, по их мнению, письменной истории вообще не существовало. Однако, посетив собор Сен-Дени на окраине Парижа, где захоронено большинство французских королей вместе с родственниками, можно обнаружить гробницы многих правителей из ряда (a), начиная с Карла Мартелла.
Авторы «новой хронологии» любят ссылаться на астрономию. Эта тема выходит за рамки статьи, но один сопутствующий астрономический контрпример привести стоит. В анналах франкских королей содержится 18 описаний солнечных и лунных затмений с 787 по 828 год. Все записи в хрониках снабжены указанием года, даты, а зачастую и времени наблюдения. Вот для примера отрывок записи за 807 год [12]:
В предыдущий год [806] в IV день сентябрьских нон [2.09] было затмение луны; тогда стояло солнце в XVI части Девы, луна при этом находилась в XVI части Рыб; И снова в этом году [807] за день до февральских календ [31.01] луна была на 18 дне, когда увидели, что Юпитер как бы прошел сквозь нее, и на 3 иды февраля [11.02] было солнечное затмение в середине дня, и оба небесных тела пребывали в 25 части Водолея.
Все три события полностью подтверждаются астрономическими расчетами. Достаточно сказать, что единственное, наблюдавшееся в Европе с начала нашей эры 11 февраля солнечное затмение, было только в 807 году, а рассчитать с целью подделки покрытие юпитера луной нельзя было бы даже и в прошлом веке. Этот же временной интервал перекрывают и другие многочисленные хроники. Например, солнечное затмение 5 мая 840 года отмечено 12 раз, а затмение 29 октября 878 года – 13 [12, c. 414]. Вольные интерпретации Фоменко работ Р. Ньютона с использованием астрономических ошибок Н. А. Морозова не имеют никакого отношения к реальным проблемам динамики системы Земля–Луна.
В процессе анализа метода параллелизмов я просмотрел все публикации А. Т. Фоменко на эту тему. При этом неоднократно приходилось сталкиваться с необъективными и вводящими в заблуждение описаниями. Я не могу удержаться от иллюстрации, приведя в хронологическом порядке подборку цитат, рассказывающих об одном и том же – о якобы использованных исходных данных для поиска параллелизмов.
Для проверки модели п.3 были использованы хронологические таблицы Ж. Блера и Гинцеля, содержащие все сохранившиеся данные о реальных исторических династиях. Мною был составлен полный список всех династий длины 15 из истории Европы, Средиземноморья, Ближнего Востока, Египта за период от 4000 г. до н.э. до 1800 г. н.э. Эти данные были дополнены сведениями из 14 других таблиц. [1]
В 1977–1979 гг. мною были обработаны таблицы Блера, содержащие все основные хронологические данные из истории Европы, Средиземноморья, Ближнего Востока, Египта за период от 4000 г. до н.э. до 1800 г. н.э. Эти данные были продублированы и дополнены сведениями из 14 более современных таблиц. Для всех эпох всех этих регионов был составлен полный список всех 15-членных династий, т.е. составлены списки всех групп, состоящих из 15 последовательных царей. [14]
Исторические и хронологические данные обширных таблиц Ж. Блера и 14 других аналогичных таблиц были дополнены информацией из 228 текстов (хроник, летописей и т.д.), содержащих в сумме описание практически всех основных событий, имевших место в указанных регионах на интервале от 4000 г. до н.э. в традиционных датировках. [15]
В 1977–1979 гг. мною были обработаны таблицы Ж. Блера, содержащие все основные хронологические данные из истории Европы, Средиземноморья, Ближнего Востока, Египта за период от 4000 г. до н.э. до 1800 г. н.э. Эти данные были продублированы и дополнены сведениями из 14 более современных хронологических таблиц и исследований. Для всех эпох всех этих регионов был составлен полный список всех пятнадцатичленных династий, т.е. составлены списки всех групп, состоящих из 15 последовательных царей. [16]
В результате обработки около 300 исторических хроник, летописей, первоисточников, таблиц и т.п. автор составил список всех дошедших до нашего времени числовых династий от 4000 г. до н.э. из истории Европы, Средиземноморья, Ближнего Востока, Египта. Затем был составлен полный список всех 15-членных династий, т.е. таблицы всех групп из 15 последовательных царей [ссылка на 1,12]. [17]
First, from approximately 300 historical chronicles, annals, tables, and other primary sources, we compliled a data file of all 15-member numerical dynasties in Europe, the Mediterranean, the Middle East and Egypt between 4000 bc and the 19th century AD. [18]
Для проверки были использованы хронологические таблицы Ж. Блера, содержащие практически все основные хронологические данные из истории Европы, Средиземноморья, Ближнего Востока, Египта от 4000 г. до н.э. до 1800 г. н.э. Эти данные были затем дополнены списками правителей из других таблиц и монографий, а именно: [список из 9 пунктов]. [19]
Для проверки были использованы хронологические таблицы Ж. Блера, содержащие практически все основные хронологические данные (в скалигеровской версии) из истории Европы, Средиземноморья, Ближнего Востока, Египта, Азии от якобы 4000 года до н.э. до 1800 года н.э. Эти данные были затем дополнены списками правителей и их правлений, взятых нами из других таблиц и монографий, как средневековых, так и современных. Упомянем здесь, например, следующие книги… [следует перечень, состоящий из 21 книги]. [2, т.1, с. 426]
Нанесем на график, по горизонтальной оси которого отложен год издания, сообщаемое количество использованных источников.

Рисунок 4. График размножения источников в работах А. Т. Фоменко
Прокомментировать этот график можно словами Р. Ньютона, использованными А. Т. Фоменко при изложении своей «новой теории движения Луны» (см. например [2, т.1, с. 220]), сохраняя авторский выборочный способ цитирования и заменяя годы и D" на слово «количество источников»: «Наиболее ПОРАЗИТЕЛЬНЫМ событием… является стремительное падение [количества источников] от [1980] года (н.э. А.Ф.) до приблизительно [1999] года. Это падение означает, что существует квадратичная волна в значении [количества источников]. Такие изменения в поведении [количества источников], и на такие величины невозможно объяснить на основании современных… теорий… [количество источников] подвергалось большим и внезапным изменениям на протяжении последних 20 лет».
В заключение можно сказать, что «метод распознавания дубликатов» дает четкое представление об основаниях «новой хронологии»: манипуляция исходными данными, использование сомнительных и неподтверждающихся методов анализа и весьма далекий от научных норм способ представления и интерпретации результатов.
Литература
1. Фоменко А. Т. Методика распознавания дубликатов и некоторые приложения // Доклады Академии Наук. 1981. Т. 258. С. 1326.
2. ФоменкоА. Т. Методы статистического анализа исторических текстов. Приложения к хронологии. М.: Крафт+Леан, 1999.
3. Морозов А. Н. Христос. Т. 1–7. М.-Л.: ГИЗ, 1924–1932; Крафт+Леан, 1998.
4. Фоменко А. Т. Некоторые статистические закономерности распределения плотности информации в текстах со шкалой // Семиотика и информатика. – М.: ВИНИТИ, 1980. Вып. 15. С.99.
5. Постников М. М., Фоменко А. Т. Новые методики статистического анализа нарративно-цифрового материала древней истории (препринт). АН СССР. Научный Совет по комплексной проблеме «Кибернетика». М., 1980. С.1–36.
6. Клименков Е. Я. Об истолковании так называемого династического параллелизма // Математические методы и ЭВМ в исторических исследованиях: cб. ст. / под ред. И. Д. Ковальченко. М.: Наука, 1985.
7. Постников М. М., Фоменко А. Т. Новые методики статистического анализа нарративно-цифрового материала древней истории // Уч. зап. Тартуского ун-та. Труды по знаковым системам. XV. Типология культуры, взаимное воздействие культур. – Тарту, 1982. Вып. 576. С. 24.
8. Morby John E. The Wordsworth Handbook of Kings Queens. Wordsworth Reference, 1994.
9. Блер Джон. Таблицы хронологические, объемлющие все части всемирной истории из года в год от сотворения мира до XIX столетия. – Т. I, II. – М., 1808.
10. Бемон Ш., Моно Г. История Европы в средние века. Пг., 1915.
11. Newton R. R. The moon's acceleration and its physical origins. V.1. John Hoppkins University press, 1979.
12. Annales Regni Francorum, SS rer, Germ. 6., a. 807, p. 122.
13. Cagnat R. Cours d'epigraphie latine». 4 ed. Paris, 1914.
14. Фоменко А. Т. Новые экспериментально-статистические методики датирования древних событий и приложения к глобальной хронологии древнего и средневекового мира. М.,1981. Препринт Гостелерадио, №Б07201.
15. Фоменко А. Т. Техника и наука. № 11. 1982. С. 26.
16. Фоменко А. Т. Методика статистической обработки параллелей в хронографических текстах и глобальная хронологическая карта // Исследование операций и АСУ. Вып. 22. Киев: Изд-во Киевского ун-та, 1983.
17. Фоменко А. Т. Новая эмпирико-статистическая методика обнаружения параллелизмов и датирования дубликатов // Проблемы устойчивости стохастических моделей: труды семинара. М., ВНИИСИ, 1984. С. 154.
18. Fomenko A. T. Mathematical statistics and problems of ancient chronology. Acta Applicandae Mathematicae. 17, 231. 1989.
19. Фоменко А. Т. Методы статистического анализа нарративных текстов и приложения к хронологии. М.: МГУ, 1990. С. 117.
Ю. Д. Красильников. Затмения, хронология и «новая хронология»
Солнечные и лунные затмения – наиболее впечатляющие из всех небесных явлений. С древних времен до нас дошли многочисленные упоминания о затмениях. Российскому читателю, например, наверняка известно затмение 1 мая 1185 года, упомянутое в «Слове о полку Игоревом» и описанное в ряде летописей. Самые ранние достоверные описания затмений, известные историкам, сделаны более двух с половиной тысяч лет назад.
Астрономия позволяет достаточно точно рассчитать даты и характеристики затмений, происходивших в античную и средневековую эпоху. Многие поколения историков и астрономов занимались такими расчетами и сравнением их результатов с описаниями в исторических источниках. Часто это позволяло подтвердить или уточнить хронологию исторических документов. В этой связи нельзя не упомянуть немецкого математика XIX века Гинцеля, который выполнил огромный объем расчетов и составил канон затмений (т.е. их перечень с указанием дат и характеристик) с 600 г. до н.э. по 900 г. н.э., а также проанализировал ряд исторических сообщений о затмениях.
В настоящее время, когда персональные компьютеры получили самое широкое распространение, расчет затмений стал доступен практически каждому. Методика расчета не слишком сложна и подробно описана, например, в книге Ж. Мееса «Астрономические формулы для калькуляторов». Кроме того, существует ряд программ, специально предназначенных для расчета затмений. Некоторые астрономические программы общего назначения (такие, например, как Red Shift фирмы «Марис Мультимедиа»), также позволяют выполнять расчеты затмений. Наконец, в сети Интернет имеются сайты, посвященные затмениям и содержащие таблицы с данными о них. Пользуясь этими данными, каждый любитель истории и астрономии может сам убедиться, что, например, 1 мая 1185 года князь Игорь в походе действительно увидел «солнце, стоящее яко месяц», а в Новгороде это же затмение было полным (Новгородская летопись говорит, что во время его были видны звезды).
Разумеется, не все дошедшие до нас сообщения о затмениях достоверны. В некоторых случаях в этом повинны ошибки хронистов – неверно указанные даты или годы. Не следует забывать и о том, что ранее затмения считались предзнаменованиями свыше, вследствие чего сообщения о них включались, например, в рассказы о смерти великих людей. Так, ряд авторов сообщает о солнечном затмении, сопровождавшем смерть Юлия Цезаря, хотя более-менее заметных затмений в Италии в то время не было на протяжении нескольких лет. Тем не менее большинство сообщений о затмениях уверенно подтверждается расчетами.
Некоторые исследователи, однако, полагают, что вся хронология мировой истории неверна. Речь здесь идет о Н. А. Морозове и создателях «новой хронологии» А. Т. Фоменко с соавторами. В качестве одного из аргументов, подтверждающих их взгляды, они используют именно затмения. Настоящая статья посвящена рассмотрению таких попыток с целью показать, что используемая в них аргументация несостоятельна и, более того, при добросовестном анализе используемые этими исследователями примеры лишь подтверждают общепринятую хронологию.
1.1. Морозов о древних затмениях
Первым из пытавшихся использовать сообщения о древних затмениях для опровержения традиционной хронологии был, видимо, Н. А. Морозов. Рассмотрению сообщений о затмениях посвящена солидная часть 4-го тома его семитомного труда «Христос». Морозов стремится показать, что сообщения о затмениях становятся достоверными, начиная с VI века. Более ранние сообщения, согласно Морозову, «сбивчивы и недостоверны», а сообщения о затмениях до нашей эры «полностью легендарны».
Прежде чем приступить к разбору морозовской критики, поясним часто встречающийся в описаниях затмений термин «фаза». В случае солнечных затмений он означает, какая часть диаметра Солнца перекрыта Луной, а в случае лунных – какая часть диаметра Луны покрыта земной тенью. В настоящее время фаза, как правило, задается дробным числом, однако ранее для указания фазы использовались «дюймы» или «пальцы» – двенадцатые доли диаметра. Таким образом, фаза солнечного затмения 6 означает, что Луна закрыла ровно половину поперечника Солнца. Фаза 12 соответствует полному затмению.
Необходимо также сделать некоторые пояснения к системам летоисчисления, применявшимся в древности. Наиболее часто использовалась датировка по Олимпиадам и эра «от основания города» (Рима). Датировка по Олимпиадам – это счет времени четырехлетними циклами (Олимпиады проводились через 4 года). Первая Олимпиада состоялась в 776 г. до н.э. Далее для удобства вычислений мы будем использовать «астрономический счет» лет. В нем 1-му году н.э. предшествует нулевой год, ему – минус первый и т.д. При таком счете лет нулевому году соответствует 1-й год до н.э., минус первому – 2-й год до н.э. и т.д. Таким образом, год первой Олимпиады – минус 775.
Перевести год по Олимпиадам в наше летоисчисление достаточно просто. Пусть, например, некое событие датировано 4-м годом 48-й Олимпиады. Очевидно, что с начала счета прошло 47 полных 4-летних циклов. Значит, идет 47x4+4=192-й год с начала счета годов по Олимпиадам. Полных же лет прошло на единицу меньше, т.е. 191. Т.к. первая Олимпиада была в 775 г., то (−775)+191=−584 или 585 г. до н.э. В общем виде, если имеется дата «К-й год М-ой Олимпиады» (часто записывается как Ol М,К), то идет ((М−1)*4+К)-й год со времени начала счета, а перевод в наше летоисчисление надо выполнять по формуле (М−1)*4+(К−1)−775.
Чтобы перевести в наше летоисчисление год «от основания Рима» (часто записывается «AUC»), нужно из номера года вычесть 753. Если результат отрицателен – его надо опять-таки понимать как номер года по «астрономическому счету». Более подробно о различных системах летоисчисления и переходе от одной системы к другой можно узнать из замечательной книги И. А. Климишина «Календарь и хронология».
При внимательном чтении морозовского разбора сообщений о затмениях обнаруживается забавный факт – Морозов не силен в… элементарной арифметике. Как мы только что видели, при переводе года по Олимпиадам в наше летоисчисление надо умножить на 4 номер олимпиады, уменьшенный на единицу. Морозов же умножает на 4 непосредственно номер олимпиады, т.е. он считает год от начала Олимпиад как М*4+К, а переводит год по Олимпиадам в юлианский по формуле М*4+К−775, регулярно ошибаясь, таким образом, на 4 года в расчете года по эре Олимпиад и на 5 лет – при переводе его в год по нашему исчислению. И эта ошибка у Морозова – почти всюду, где событие датировано по Олимпиадам. Оказывается, доказательства новой хронологии в заметной части основываются на «новой арифметике».
Теперь перейдем непосредственно к разбору морозовской критики хронологии античных затмений. Вообще говоря, Морозов рассматривает также и затмения I–VI веков нашей эры, но мы ради экономии места ограничимся лишь кратким прочтением его исследования античных затмений до н.э. (Морозов настаивает на «полной легендарности» всех таких затмений.)
1) Затмение Геродота-Фалеса.
Об этом затмении сообщает Геродот, говоря, что оно было заранее предсказано философом Фалесом. Оно отмечено и у Плиния и датируется либо как Ol 48, 4 (4-й год 48-й Олимпиады), либо как AUC 170 (или 180, или 120).
Из 1-й даты получаем 47x4+3–775=−584 год, из второй – 3 варианта: −583, −573 и −633 годы. (Морозов получает для даты по Олимпиадам −582 год, а для трех вариантов AUC −582, −572 и −632 годы.) Ошибка при переводе года по Олимпиадам в юлианский здесь у Морозова – 2 года, в то время как везде далее – 5 лет. Видимо, в этом случае Морозов не вычислял год сам, а воспользовался каким-то другим (впрочем, тоже неверным) результатом.
Морозов отвергает это описание затмения на том основании, что: а) Геродот сообщает, что это затмение было заранее предсказано Фалесом а в предсказания затмений в те времена он не верит (и, видимо, справедливо); б) прежние хронологи дают более десятка вариантов для даты этого затмения, и «уже одна эта многочисленность решений показывает, что с астрономической точки зрения дело здесь обстоит очень плохо, несмотря на самоуверенную датировку Плиния и по Олимпиадам и от „Основания города Рима”».
В обоих этих доводах явно и сильно хромает логика. Во-первых, пусть Фалес действительно не умел предсказывать затмения – это еще не повод отрицать существование как Фалеса, так и затмения. Во-вторых, если есть дюжина решений – это еще не значит, что все они ошибочны. Столь большое количество предложенных астрономами вариантов объясняется лишь тем, что более-менее точный расчет затмений, происходивших более двух тысячелетий назад, стал возможен лишь в конце прошлого века.
Действительно, из 12 перечисленных Морозовым вариантов есть один, вполне соответствующий сообщениям Геродота и Плиния: затмение 28 мая −584 г., полное в Малой Азии (а именно там и находился город Милет, где жил Фалес). Его год совпадает с датировкой по Олимпиадам и почти (разница в 1 год) совпадает с одной из трех дат AUC.
Морозов же, отвергая все решения скопом, естественно, предлагает свое. Он предполагает, что эра «от основания города» у Плиния подразумевает «от основания Константинополя» (325 год) и предлагает затмение 14 января 484 года – в этом случае для эры AUC он получает начальный год либо 304, либо 314, либо 364-й. Начало же олимпиадного летоисчисления ему в данном случае приходится отнести к 288 году. (Потом будет видно, что это у него – не единственное и не окончательное решение вопроса о начале олимпиадного счета лет.)
Заметим, что затмение Геродота-Фалеса очень популярно в хронологии – см., например, его подробное обсуждение в книге Климишина «Календарь и хронология».
Итог – затмение Геродота-Фалеса вполне согласуется с традиционной хронологией. Морозов совершенно напрасно отвергает его на основе множественности решений, предложенных разными авторами, и собственных арифметических ошибок.
2) Полное солнечное затмение Ксенофонта около города Лариссы (на р. Тигре?) при Кире.
Ксенофонт пишет: «…Тогда облако закрыло солнце, остававшееся невидимым так долго, что люди покинули город, и он был взят». Астроном Эри дал для этого затмения дату 19 мая −556 года. Морозов говорит, что фаза затмения была для «Лариссы на Тигре» около 11. «Однако, эта фаза не подходит совершенно к описанию, где затмение указано не только полным, но и глубоким».
Затмение 19 мая −556 года действительно было полным и проходило по Греции и по Междуречью. К данной Эри оценке фазы надо относиться осторожно по двум причинам. Во-первых, точное местонахождение Лариссы на Тигре, как можно понять из Морозова, неизвестно. Во-вторых, в расчетах величины затмений, происходивших 2,5 тысяч лет назад, есть некоторая неопределенность, обусловленная неточным знанием для столь отдаленных времени так называемой «эфемеридной поправки». Поэтому это затмение в Лариссе на Тигре вполне могло быть и полным. Следует также сказать, что в описании упоминается «облако, закрывшее солнце». Сочетание сильной облачности с полным или почти полным затмением вполне подходит под описание Ксенофонта.
Итог – затмение 19 мая −556 года очень хорошо соответствует Ксенофонту, отвергнуто Морозовым с недостаточными основаниями.
3) Солнечное затмение Клеомброта у Геродота.
«Клеомброт вывел войска с [Коринфского] перешейка на том основании, что когда он приносил богам жертву, солнце затмилось на небе».
Петавиус, Кальвизиус и Гофман предлагают затмение 2 октября −479 года с фазой для Коринфского перешейка 7.32 в 13ч. 24м. местного времени, «но Гинцель справедливо сомневается, что при полуденном положении Солнца можно было заметить это затмение без предварительного ожидания и без закопченного стекла». При ясном небе – пожалуй. А при дымке (дело происходит в начале октября) такое затмение вполне заметно.
Итог – здесь трудно сказать что-то определенное. Подтвержденным это затмение считать нельзя, но и отвергать данное сообщение, пожалуй, тоже не следует.
4) Затмение в Сардах (Малая Азия) в начале весны по Геродоту.
Геродот пишет: «Перед началом весны пошло войско из малоазийских Сард в Абидос. Когда оно двинулось, солнце оставило место на небе и стало невидимым, несмотря на безоблачное небо, и наступила ночь». Затмение было спустя 2 года после предыдущего.
Цех предложил кольцеобразное затмение 17 февраля −477 года с фазой в Сардах 11.3. Морозов отвергает это затмение на том основании, что оно не полное, а кольцевое, да и «начало весны в 5-м веке было позже». Насчет второго довода следует сказать, что в тексте ясно сказано «перед началом весны». Насчет первого – в полосу видимости этого кольцевого затмения попадает практически вся Малая Азия, и фаза его – достаточно значительная для сильного потемнения. Так что вполне подходит, если допустить некоторое преувеличение в описании затмения у Геродота (возможно, подробности в этом описании позаимствованы с какого-то другого затмения, действительно полного).
5), 7) и 8) Фукидидова триада.
Про эти затмения следует сказать подробнее, т.к. они активно обсуждаются и в трудах Фоменко с соавторами. Они упоминаются Фукидидом в его описании Пелопонесской войны. Из текста Фукидида следует, что во время этой войны случились три затмения: 2 солнечных и лунное, с интервалами 7 и 11 лет. Первое затмение происходило летом и было полным или близким к нему (у Фукидида сказано: «…после полудня солнце затмилось, превратившись в полумесяц, и снова стало полным, причем появились кое-какие звезды»). Второе происходило в начале лета, третье – в конце.
Классическая последовательность затмений известна с 17 века – 3 августа 431 г. до н.э., 21 марта 424 г. до н.э. и 27 августа 413 г. до н.э.
Единственное несоответствие состоит в том, что первое затмение, согласно современным расчетам, было в Афинах достаточно сильным (было закрыто примерно 80% площади солнечного диска), но все-таки не полным. (Вообще говоря, затмение 3 августа 431 г. до н.э. было кольцевым, т.е. оно не могло быть полным нигде на Земле, т.к. при кольцевом затмении видимый диаметр Солнца больше, чем видимый диаметр Луны, и Луна не может полностью закрыть Солнце.) Однако отбрасывать сообщение о появлении звезд как полностью невероятное, видимо, не следует: во время этого затмения на небе была Венера с яркостью, близкой к максимальной.
Как известно, при благоприятных условиях Венеру можно наблюдать даже днем, и тем более она могла быть заметна во время частного затмения, когда яркость солнечного света упала в пять раз.
Морозов, однако, настаивает на том, что упоминание звезд означает, что первое затмение было непременно полным. Лишь на этом основании он отвергает классическую датировку всех трех затмений и подбирает пять(!) вариантов триад затмений, которые, по его мнению, могли бы соответствовать тексту Фукидида, первая из которых была в 9–37 гг., а последняя – в 1133–1151 гг. н.э.
6) Затмение у Аристофана.
Фрагмент комедии Аристофана «Облака» можно понять как упоминание лунного и солнечного затмений. Морозов пытается передатировать эти затмения более поздним временем, хотя, наверно, тут нечего особенно обсуждать: литературное произведение – это не исторический источник. Тем не менее за два года до написания этой комедии (423 г. до н.э.) действительно произошло лунное затмение, а за год – солнечное, и оба были видны в Греции.
9) Лунное затмение Ксенофонта при пожаре храма Афины за год до солнечного.
Ксенофонт сообщает о лунном затмении при пожаре храма Афины, причем, согласно ему же, на следующий год состоялось солнечное затмение.
Петавиус предложил для лунного затмения из этого сообщения полное затмение 15 апреля −405 года в 20ч. 45м. местного времени. Морозов отвергает дату Петавиуса из-за того, что затмение состоялось не за год, а за 2.5 года до солнечного (солнечное затмение будет разобрано в п.10 – см. ниже) и предлагает свою пару – в 375 и 377 гг. н.э., хотя между его затмениями также 2,5 года – забавный образец «новой логики» Морозова, по которой для чужого результата такое расхождение недопустимо, а для полученного им – вполне приемлемо.
Следует, кстати, отметить, что полное вечернее лунное затмение было также 23 февраля −403 года – хоть и не за год, а за полгода до солнечного, но (учитывая, что при летосчислении по Олимпиадам начало года приходилось где-то на летнее солнцестояние) – в предыдущем году.
10) Первое солнечное затмение Ксенофонта.
Рассуждения Морозова по поводу этого затмения достойны того, чтобы привести их практически полностью.
Петавиус, пренебрегая разницей в несколько лет, конечно, сейчас же и нашел для него дату 3 сентября −403 года. А мы, приняв во внимание, что историки относят это к 1-му году 94-й Олимпиады, т.е. к 377 г. олимпийской эры, и принимая здесь Олимпиады за наш юлианский счет, имеем значительное затмение 378/9/8… А за 2.5 года перед ним было, как уже показано выше, Ксенофонтово лунное затмение. Здесь астрономия только отвергает точность старой хронологии, но не устанавливает новой благодаря множеству решений.
Начнем с «новой арифметики». 1-й год 94-й Олимпиады – это не 377-й год олимпийской эры, а 373-й. И он соответствует −403 году – как раз точное совпадение с датой Петавиуса, а «разница в несколько лет» появилась только вследствие арифметических ошибок Морозова. Что забавно – Морозов, отождествляя на этот раз эру Олимпиад с эрой «от рождества Христова» (хотя ранее он полагал ее начало в 288 г. н.э. – см. п.1), ищет около 377 года (хотя правильно было бы – около 373) солнечное затмение – и, конечно, сейчас же и находит.
Так что здесь астрономия не только не «отвергает точность старой хронологии», а, напротив, убедительно ее подтверждает.
11) Полное солнечное затмение Цицерона при Эннии.
По Морозову, Цицерон сообщает, что затмение было в «350-й год AUC в ноны квинтилиса» т.е. июньские (7 июня), хотя в тексте Цицерона сказано «около 350». Гинцель дает для него дату 21 июня −399 года. (Расхождение в 4 года: 350 AUC – это −403 год.) Затмение достигло в Риме полной фазы сразу после заката. Доводы Морозова против этой даты: «Однако, при чем тут июньские ноны (т.е. 7 июня), указываемые Цицероном? Да, кроме того, в то время даже и самого юлианского года не было». (Опять образец «новой логики»: юлианского года действительно не было, но месяцы-то были.) Известно, что до календарной реформы Цезаря в Риме был по существу лунный календарь, в который для согласования с тропическим годом время от времени вставлялся 13-й месяц. Также известно, что жрецы, регулирующие эти вставки, пользовались этим в политических целях – укорачивали время правления неугодных им консулов, а другим, напротив, удлинняли его. С последствиями этого мы еще встретимся ниже. Современные хронологи не сомневаются в дате Гинцеля, делая из нее вывод, что в том году июнь начался на полмесяца позже, чем это было после юлианской реформы.
12) Второе солнечное затмение Ксенофонта.
Ксенофонт сообщает, что «Солнце приняло вид серпа» – частное затмение. Год – Ol 96, 2 – т.е. 381-й год олимпийской эры и −394-й по нашему летоисчислению. (По Морозову получается 386-й и −389-й соответственно.)
Петавиус предложил затмение 14 августа −393 года – кольцеобразное, центр тени прошел по Испании, средней Италии, северной Греции, Малой Азии и по Персидскому заливу. Если считать, что дата указана с ошибкой в год – вполне подходит.
Морозов, опять отождествляя олимпийскую эру с нашей, ищет солнечное затмение около 386 года (вместо 381) – и, конечно, опять находит: 15 апреля 386 года.
13) Солнечное затмение Диодора и Плутарха.
Затмение было полным или близким к полному – у Плутарха сказано: «Тьма объяла город днем». Дата – Ol 104,1, т.е. 413-й год олимпийской эры или −363-й по нашему летоисчислению.
13 июля −363 года состоялось полное затмение в северной Италии. К сожалению, из цитат Морозова непонятно, где наблюдалось затмение, описанное Диодором и Плутархом. Морозов, опять-таки с ошибкой переведя год в наше летоисчисление и получив −357-й (или 417-й год олимпиадной эры), заявляет (справедливо), что в этом году не было солнечных затмений, видимых в Европе. Он опять-таки ищет затмение около 417 года н.э. (вместо 413) – и… опять находит: 19 июля 418 года.
14) Солнечное затмение Плутарха при Дионе.
Дата затмения из приводимых Морозовым цитат неясна. Гофман дает для этого затмения дату 12 мая −360 года – кольцеобразное, с фазой в Сицилии 11.2. Гинцель дает также варианты – 6 октября −349 года и 5 ноября −379 года. Учитывая неясность исходного сообщения – это ничего не опровергает и ничему не противоречит.
15) Летнее лунное затмение Плутарха при Дионе.
Год по Диодору, который также пишет об этом затмении – Ol 105,4 – т.е. 420-й олимпийской эры или −356-й. Классическая датировка – лунное затмение 9 августа −356 года с фазой 2.3 на восходе Луны. Морозов утверждает, что это затмение закончилось до восхода Луны – но здесь он не вполне прав. В Греции нельзя было наблюдать только начало затмения, а середина и конец были видимы.
Морозов, опять-таки неверно определив год как 424-й олимпийской эры (вместо 420-го), снова отождествляет олимпийскую эру с нашей. Как и следовало ожидать, затмение находится – 21 марта 423 года.
16) Полное солнечное затмение Тита Ливия и Орозия в консульство Марция Рутилия и Т. Манлия Орозия.
Сообщение столь неопределенно («каменный дождь и ночь посреди дня»), что неясно, имеется ли в виду затмение или что-то иное.
17) Лунное затмение при Александре Македонском.
О нем много сообщений у ряда авторов: Плутарха, Арриана, Плиния, Курциуса.
Классическая датировка известна со времени Скалигера – 20 сентября −330 года. Затмение было полным, максимум – около 18:10 по Гринвичу. Морозова, естественно, это затмение не устраивает, и он предлагает свое – в 224 году н.э.
18) Полное солнечное затмение Агафокла на западе Средиземного моря.
Одно из самых известных античных затмений. Классическая дата, данная еще Скалигером и Петавиусом – 15 августа −309 года. Это – полное затмение в районе Сицилии, где и находились, по Диодору, корабли Агафокла. Морозов отвергает его вообще без всяких объяснений – естественно, предлагая взамен парочку своих вариантов.
19) Объяснение чудес Тита Ливия солнечным затмением.
Сообщение совсем неопределенно: «многие чудесные явления». Впрочем, Морозов его и не считает за описание затмения.
20) Галатское лунное затмение Полибия.
Непонятно, указан ли в сообщении год. Во всяком случае, Скалигер давал для этого затмения дату 1 сентября −217 года, а Петавиус – 20 марта −218 года. Как справедливо замечает Морозов, «здесь астрономия неприложима. Затмения Луны ежегодны». Т.е. это тоже нельзя считать ни подтверждением, ни опровержением чего-либо.
21) Частное солнечное затмение в Сардинии у Тита Ливия.
Дата Ливия неясна. Классическая дата (по Петавиусу) – 11 февраля −216 года. Морозов же утверждает (никак этого не обосновывая, но обещая показать в 5-й своей книге), что это могло быть лишь затмением 17 марта 443 г. н.э.
22) и 23) Частное солнечное затмение близ Турина у Тита Ливия.
Дата Ливия опять-таки неясна. Классическая дата по Петавиусу – 6 мая −202 года.
24) Солнечное затмения при Ганнибале.
Зонарас, автор 12 века, сообщает, что перед битвой при Заме (−201 год) состоялось солнечное затмение. Из Морозова: «То же самое написано у Иосифа Флавия… откуда видно, что он пользовался уже Зонарасом, как первоисточником». (Интересно – почему такая уверенность в том, что не наоборот?)
Единственное солнечное затмение в −201 году, видимое в северной Африке – это затмение 19 октября −201 года, с незначительной фазой в Тунисе (заметно менее 6). Если такое затмение и было замечено, то только при дымке – при ясном небе затмение со столь малой фазой заметить трудно. Так что это сообщение о затмении сомнительно.
25) и 26) Частное затмение Тита Ливия в 564-м году AUC и другое солнечное затмение года через два.
Это – давно изученная хронологами пара затмений. Ливий пишет, что первое из них состоялось 11 июля, а второе – года через два в конце весны.
По дате 564 AUC получаем −189 год. Действительно, в Риме наблюдались солнечные затмения 14 марта −189 года и 17 июля −187 года. Оба они были в начале дня, первое было полным в районе Крита, а в Риме имело фазу примерно 10 или более. Второе в Риме было полным или близким к полному. По указанной Ливием дате 1-го затмения хронологи делают вывод, что в то время римский календарь почти на 4 месяца отличался от нынешнего.
Морозов же, не обращая внимания на данный у Ливия год, даже не приводит классических датировок и начинает искать затмение именно 10 июля (считая, что «по смыслу» у Ливия получается вечер 10 июля), начиная с 800 г. до н.э., очевидно, полагая, что юлианский календарь действовал на протяжении всей человеческой истории. Это уже сильно напоминает пресловутый «поиск черной кошки в темной комнате». Пара кошек все-таки находится: пары затмений в 530 и 534 годах или же в 967 и 970. То, что между этими затмениями прошло не два года, а четыре и три – Морозова не смущает.
27) Лунное затмение по Титу Ливию и Полибию.
Сразу вызывает подозрение упоминание у Ливия «француза Сюльписа, военного трибуна второго легиона». Недоумение рассеивается, когда после знакомства с другим переводом становится ясно, что Морозов перевел собственное имя «Сульпиций Галл» как «француз Сюльпис». Об этом же затмении сообщает и Полибий. По Ливию, затмение состоялось через 22 года после предшествовавшего солнечного (очевидно, первого из описанной выше пары: см. п.25). Ливий также пишет, что «было время года после поворота к солнцестоянию», а дата затмения – канун сентябрьских нон (5 сентября). Классическая дата – 21 июня −167 года, как раз через 22 года после затмения 14 марта −189 года и вблизи летнего солнцестояния. Римский календарь в этом году был, очевидно, сдвинут относительно юлианского примерно на 2.5 месяца.
Морозов же разыскивает лунное затмение 5 сентября через 22 года после найденных им решений и – удивительно, но не находит искомого: кажется, единственный случай, когда ему не удается подтвердить свои «передатировки». Поэтому в данном случае он просто утверждает, что «у Ливия тут несомненный сдвиг хронологии» и предлагает на выбор несколько лунных затмений 5-го сентября по юлианскому календарю.
28) Вечернее лунное затмение Плутарха при Эмилии Павле.
Сообщение не слишком определенное, но Гинцель предположил, что речь идет о том же затмении, что и предыдущее. Здесь тоже ничего нельзя ни доказать, ни опровергнуть.
29) Лунное затмение у Диогена Лаэрция.
По сообщению Диогена Лаэрция, перед смертью философа Карнеада состоялось лунное затмение. По разным источникам, смерть Карнеада относят либо к Ol 162,4, либо к Ol 130,4, либо же к Ol 184,1. Соответственно получаем годы −128, −256 или −43.
Для этого затмения Петавиус дал дату 2 мая −127 года (в Афинах видно только начало), а Кальвизиус и Струйк – 5 ноября −128 года. Обе даты, очевидно, основаны на каких-то дополнительных источниках, которые подтверждают правильность именно первого из трех вариантов года.
Поскольку здесь есть целых три варианта олимпиадной датировки – то тут полное раздолье для приложения «новой арифметики». Неутомимый Морозов получает три варианта для года от начала Олимпиад – 524, 652 и 737 (правильно 520, 648 и 733 – на 4 года меньше), снова полагает, что эра по Олимпиадам – это то же самое, что наша эра, и ищет лунные затмения для каждого из вариантов. И нужные ему затмения послушно находятся в каждом из вычисленных им годов.
30) – 32) Три солнечных затмения у Юлия Обсеквенса.
У Юлия Обсеквенса описывается три солнечных затмения. Первое – в третьем часу дня, второе – кажется, через 10 лет, третье – в 11-м часу дня, через 34 года после второго и через 44 года после первого.
Риччиоли считал, что первое затмение было 19 июля −103 года около 5 часов дня с максимальной фазой в Риме около 9. «Но остальных двух не было за этот период, т.е. для −93 и −59 гг. до нашей эры. Астрономия не оправдала мнение о древности Обсеквенса».
Морозов явно ошибается в одном случае из двух – 29 июля −93 года было кольцевое солнечное затмение, имевшее в Риме фазу около 9 (центр тени шел севернее). В −59 году затмений действительно не было, но были 27 марта −60 года – кольцеобразное, в Риме наблюдалось на закате; 1 октября −61 года – полное в Испании и северной Африке, фаза в Риме – около 9; и 7 марта −50 года – кольцеобразное, центр тени прошел по северной Италии, фаза в Риме была весьма значительна. Надо, однако, сказать, что третье затмение описано как полное – «около 11 часа простерлась ночь, затем восстановился день», так что все варианты подходят плохо – если не предположить, что описание сделано в северных провинциях Римской империи (место из цитат Морозова неясно) и имеется большая ошибка в указании года. Морозов предлагает три варианта триад затмений с соответствующими временными интервалами (в 10 и 34 года).
33) Солнечное затмение в Одиссее.
Вряд ли стоит серьезно относиться к попыткам Морозова датировать то, что он принимает за описание солнечного затмения в Одиссее – не так-то просто в поэме отделить реальность от поэтического вымысла. Морозов ссылается и на описания расположения планет из Одиссеи – но ниоткуда не следует, что эти описания относятся ко времени затмения, а не ко времени на несколько лет позже или раньше (если они вообще «списаны с натуры»).
Итак, значительная часть древних сообщений о затмениях (если отбросить неопределенные сообщения, литературные произведения и т.п.) вполне подтверждается расчетами и соответствует традиционной хронологии. Во всяком случае, декларируемой Морозовым «легендарности всех затмений до начала нашей эры» при подробном разборе сообщений явно не обнаруживается. Во-вторых, Морозов в своем анализе предстает крайне предвзятым исследователем, идущим на поводу у своей идеи: отбрасывает вполне пригодные датировки по надуманным причинам или вовсе без причин, предлагает вместо классических дат свои, которые иной раз заметно хуже соответствуют описаниям, непоследователен в своем определении эпох. Наконец, судя по тому, с какой легкостью находится нужное ему затмение, несмотря на ошибки в расчетах – его «методика непредвзятого астрономического датирования» при некотором навыке может дать почти любой желаемый результат.
1.2. Затмения в «новой хронологии»
Создатель «новой хронологии» академик А. Т. Фоменко и его соавторы также привлекают затмения для обоснования своих построений. Правда, в основном они апеллируют к авторитету Морозова. Так, например, в одном из их трудов говорится следующее:
Проведя ревизию датировок затмений, считающихся античными, Морозов обнаружил, что сообщения о затмениях разбиваются на две категории:
1. краткие, туманные сообщения без подробностей: здесь астрономическая датировка либо бессмысленна, либо дает настолько много возможных решений, что они попадают практически в любую эпоху;
2. подробные, детальные сообщения: здесь астрономическое решение часто однозначно (или 2–3 решения). Оказалось далее, что все затмения 2-й категории получают (при формальном датировании) не традиционные датировки, а значительно более поздние (иногда на много столетий). Причем все эти новые решения попадают в интервал: 500–1600 годы н.э.
Считая тем не менее, что традиционная хронология на интервале 300–1800 гг. н.э. в основном верна, Морозов не проанализировал средневековые затмения 500–1600 гг. н.э., предполагая, что здесь противоречий не обнаружится.
Сразу отметим, что в последнем предложении из процитированного фрагмента содержится обман читателя: Морозов проанализировал сообщения о затмениях VI века и пришел к выводу об их достоверности. Что же касается «передатировок» Морозовым более ранних затмений, то, полагаю, приведенный выше разбор достаточно убедительно показывает их поверхностность.
Фоменко утверждает:
Продолжая исследования, начатые в [43], автор настоящей работы проанализировал затмения, традиционно датируемые 400–1600 гг. н.э.
Оказалось, что эффект «подъема вверх», обнаруженный в [43] [т.е. трудах Морозова] для древних затмений, распространяется и на интервал 400–900 гг. н.э. Это означает, что здесь либо имеется много равноправных астрономических решений (и тогда астрономическая датировка бессмысленна), либо решений мало (одно, два) и все они попадают в интервал 900–1700 гг. н.э.
Однако искать какие-то конкретные примеры передатированных затмений в трудах «новых хронологов» напрасно – за исключением одного-единственного, кочующего из одной их книги в другую. Речь идет о рассмотренных выше затмениях Фукидида. В основном Фоменко и соавторы следуют изложению Морозова и отвергают классическую датировку этих затмений, требуя, чтобы первое из них было бы непременно полным. Они утверждают, что на интервале от 900 г. до н.э. по 1700 г. н.э. существует лишь две тройки затмений, удовлетворяющих всем поставленным условиям, одну из которых нашел Морозов, а другую – лично Фоменко. Об этих двух передатировках Фоменко пишет: «Кроме того, первое затмение – полное!». Первое затмение в тройке, найденной Фоменко, произошло 22 августа 1039 года н.э. Ирония здесь состоит в том, что затмение 22 августа 1039 года было кольцеобразным, т.е. полным оно не могло быть в принципе, а в Афинах оно было еще более слабым, чем затмение 3 августа 431 г. до н.э.: если при этом затмении было закрыто Луной около 80% площади Солнца, то при предлагаемом Фоменко затмении – лишь около 70%.
Итак, доводы «новых хронологов» в защиту своей теории, использующие затмения, по существу ограничиваются ссылками на авторитет Морозова (при этом от читателя утаивается то, что Морозов показал достоверность описаний затмений в VI веке), их же собственный вклад состоит в единственном примере «передатировки» – к тому же крайне некорректном.
2. Лунные затмения «Альмагеста»
Важное место в трудах «новых хронологов» и их предтечи Морозова занимает величайшее из астрономических сочинений древности «Альмагест» К. Птолемея. Причины этого понятны: одной лишь даты его написания (начало II века н.э.) достаточно, чтобы не оставить от «хронологических сдвигов» камня на камне. Поэтому «ревизионисты» хронологии не жалели сил и бумаги, пытаясь доказать, что «Альмагест» – вовсе не такой древний труд, как считается. Задача не из легких: в «Альмагесте» содержится громадное число наблюдений положений Луны и планет, причем все эти наблюдения достаточно хорошо соответствуют астрономическим расчетам. По этой причине ни один астроном-профессионал не сомневался ни во времени написания «Альмагеста», ни в правильности датировки собранных в нем наблюдений.
Атака на «Альмагест» велась «новыми хронологами» с нескольких направлений. Они, в частности, рассматривали звездный каталог «Альмагеста». Морозов утверждал, что в этом каталоге содержатся звезды, которые невозможно было наблюдать в Александрии во II веке н.э.: конкретно он называл звезду Ахернар в созвездии Эридана. Однако, сравнивая описание созвездия Эридана в каталоге Птолемея с современной звездной картой, легко видеть, что Птолемей, переходя от северных звезд Эридана к южным, заканчивает описание созвездия звездой Акамар – самой южной из звезд Эридана, которую можно было наблюдать в Александрии в начале нашей эры.
Академик Фоменко с соавторами посвятил целую книгу датировке звездного каталога «Альмагеста», в которой доказывает, что этот каталог был создан между 600 и 1300 гг. н.э. Анализ ошибок и неточностей, которые привели академика к такому результату, можно найти в других работах, включенных в данный сборник. Мы же ограничимся в основном лунными затмениями, описанными в «Альмагесте» и тем, как их трактовали Морозов и Фоменко. Сначала мы ознакомимся с описаниями лунных затмений у Птолемея.
2.1. Описания лунных затмений в «Альмагесте» Птолемея
Всего в «Альмагесте» упоминается 21 лунное затмение. Однако лишь 19 из них описаны подробно и с указанием точных дат. Как правило, описание включает время затмения и его фазу. Фаза указывается либо как часть диаметра Луны, покрытая тенью, либо в двенадцатых долях ее диаметра («пальцах»). Часто указывается расположение земной тени на лунном диске – с севера или с юга.
Перед рассмотрением описаний затмений следует сказать несколько слов об используемом в «Альмагесте» календаре. Птолемей считает время «египетскими годами», каждый из которых содержит 365 дней. Такой календарь несколько неудобен для гражданского использования, т.к. начало года в нем достаточно быстро перемещается по различным временам года. Он, однако, очень упрощает вычисления количества дней, прошедших между двумя датами – именно из-за того, что високосных годов в этом календаре нет и любой год в нем состоит ровно из 365 суток. Год в этом календаре разделен на 12 месяцев, каждый их которых состоит из 30 дней. Чтобы довести число дней в году до 365, в конце года делалась вставка 5 дополнительных дней (так называемых «эпагомен»). Такая простая структура календарного года еще более упрощает задачу вычисления интервалов между календарными датами. Месяцы египетского календаря имеют следующие названия: 1 – Тот, 2 – Фаофи, 3 – Атир, 4 – Хойяк, 5 – Тиби, 6 – Мехир, 7 – Фаменот, 8 – Фармути, 9 – Пахон, 10 – Пайни, 11 – Эпифи, 12 – Месори.
В качестве начала отсчета времени Птолемей использует первый год правления вавилонского царя Набонассара (более распространенная транскрипция – Навуходоносор). Этой начальной дате (первому дню первого года Набонассара) соответствует 26 февраля −746 года. (Здесь и далее мы опять будем пользоваться астрономической системой счета лет, в которой 1-му году н.э. предшествует нулевой, ему, в свою очередь, минус первый и т.д. Таким образом, нулевой год при таком счете соответствует 1-му году до н.э., минус первый – 2-му году до н.э. и т.д.)
Для читателей, знакомых с понятием юлианских дней (т.е. непрерывного подсчета порядковых номеров дней), укажем, что соответствующий дате календаря «Альмагеста» юлианский день вычисляется крайне просто. Если N – год эры Набонассара, M – месяц египетского календаря и D – день месяца, то соответствующий этой дате юлианский день JD можно найти по формуле
JD = (N − 1)x365 + (M − 1)x30 + (D − 1) + 1448638
Для перевода юлианского дня в дату юлианского календаря существует большое количество таблиц и алгоритмов. Приведем один из них (с тем, чтобы любознательный читатель мог проверить правильность перевода дат «Альмагеста» в наш календарь):
JD = JD + 1931383;
Y = ((4xJD1 − 1) ÷ 1461);
D = (4xJD1 + 3 − Yx1461) ÷ 4;
M = (5xD − 3) ÷ 153;
D = (5xD + 2 − 153xM) ÷ 5;
if (M > 9) 262 else M = M + 3;
Y = Y − 10000;
JD – входная переменная алгоритма. По его завершении переменные Y, M и D получают значения года, месяца и дня юлианского календаря, соответствующего заданному юлианскому дню. Все операции деления – целочисленные (дающие в результате целую часть частного).
Птолемей часто указывает год непосредственно по эре Набонассара. В других случаях он указывает год правления одного из вавилонских, персидских, македонских или римских царей. Однако для каждого из упоминаемых им царей известно, сколько лет отделяет начало правления этого царя от первого года эры Набонассара. Эти данные собраны в так называемом «Каноне царей» – таблице с указанием годов правления каждого из царей. «Канон царей» не входит в «Альмагест», но присутствует в другом труде Птолемея – «Подручных таблицах».
Таким образом, указанные Птолемеем даты однозначно переводятся в даты юлианского календаря.
Необходимо также сказать несколько слов о принятом в древности способе счета времени. День и ночь древние делили на 12 часов, причем отсчет дневного времени начинался от восхода Солнца, а ночного – от его захода. Таким образом, дневные часы не были равны ночным (не считая суток вблизи равноденствий, когда день равен ночи). Такие часы Птолемей называет «обычными» или «сезонными», а час, равный 1/24 части суток, называет «равноденственным».
Теперь перейдем к рассмотрению конкретных сообщений о затмениях. Для сравнения описаний затмений из «Альмагеста» с данными современных расчетов приведем таблицу характеристик описанных у Птолемея затмений (на следующей странице). Таблица дана в русском издании «Альмагеста» и заимствована из докторской диссертации Дж. Бриттона (1967 г.). В столбце «Дата, место» буква «В» означает Вавилон, «А» – Александрию, «Р» – Родос. Времена начал затмений («Начальная фаза») и их максимумов («Средняя фаза») даны по истинному местному времени соответствующих географических пунктов. Таблица дополнена данными о положении земной тени на диске Луны во время затмения: буква «С» означает, что центр тени проходил севернее центра Луны, т.е. при неполных затмениях затмевалась северная часть Луны, а буква «Ю» – южная. Вычисления положения тени были выполнены автором по методике, изложенной в книге Ж. Мееса «Астрономические формулы для калькуляторов».

Теперь приступим к подробному разбору сообщений о затмениях из «Альмагеста». Мы будем полностью приводить цитату Птолемея, анализировать ее и сравнивать содержащиеся в ней сведения с результатами современных расчетов. В квадратных скобках после цитат указаны книга и раздел «Альмагеста», где сообщается о затмении.
1. Из выбранных нами трех древних затмений, наблюденных в Вавилоне, первое, согласно записи, произошло в первый год Мардокемпада, с 29-го на 30-е число египетского месяца Тот. Затмение, как говорят, началось после восхода Луны, когда прошло уже более часа, и было полным. Так как Солнце находилось в конце Рыб и ночь равнялась приблизительно 12 равноденственным часам, то начало этого затмения имело, очевидно, место за 4 1/2 равноденственных часа до полуночи, средняя же фаза, поскольку затмение было полным, – за 2 1/2 часа до полуночи. Следовательно, в Александрии, к меридиану которой мы относим начало отсчета времени (этот меридиан отстоит от вавилонского примерно на 1/2 1/3 равноденственного часа к западу), средняя фаза упомянутого затмения имела место за 3 1/3 равноденственного часа до полуночи; в этот час, согласно произведенным нами вычислениям, истинное положение Солнца было приблизительно на 24 1/2 градусах Рыб [IV.6].
Определим дату затмения. По «Канону царей» найдем, что 1-й год Мардокемпада соответствует 27-му году эры Набонассара. Тот – первый месяц в египетском календаре, поэтому дате 29 Тота 27 года эры Набонассара соответствует юлианский день 1458156 и дата юлианского календаря 19 марта −720 г. Таким образом, затмение состоялось в ночь с 19 на 20 марта −720 года.
Затмение наблюдалось в Вавилоне.
Исходная информация: из сообщения следует, что затмение было полным, а началось более чем через час после восхода Луны (захода Солнца).
Оценки Птолемея: время начала затмения 19:30 местного (вавилонского) времени, а время максимума – 21:30.
Согласно данным расчетов из приведенной выше таблицы, затмение было полным и началось в 19:55, а максимум был в 21:49. Разница с данными Птолемея – менее получаса.
2. Второе из этих затмений, согласно записи, произошло во 2 год того же Мардокемпада, в ночь с 18-го на 19-е число египетского месяца Тот. Затмилось, как говорят, на 3 пальца с юга в самую полночь. Так как средняя фаза по наблюдению была в Вавилоне в самую полночь, то в Александрии она должна была произойти за 1/2 и 1/3 часа до полуночи; в этот час положение Солнца было в точности на 13 1/2 1/4 градусах Рыб [IV.6].
Дате 18 Тота 2 года Мардокемпада (т.е. 28 года Набонассара) соответствует юлианский день 1458510 и дата 8 марта −719 года по юлианскому календарю. Значит, затмение состоялось в ночь с 8 на 9 марта −719 года.
Затмение наблюдалось в Вавилоне.
Исходная информация: фаза затмения 3, время максимума – местная полночь. Тень покрывала Луну с юга.
По данным современных расчетов, максимум затмения был в 23:56, затмевалась южная часть Луны, а фаза составляла 1.5 балла («пальца»). Имеем полное совпадение по времени затмения и ориентации тени. Фаза же заметно преувеличена наблюдателями (ниже мы увидим, что для слабых затмений это достаточно характерно).
3. Третье из этих затмений, согласно записи, было в тот же самый 2 год Мардокемпада, в египетский месяц Фаменот с 15-го на 16-е число. Начало затмения было, как передают, после восхода, и Луна затмилась с севера более чем на половину. Так как Солнце было в начале Девы и продолжительность ночи в Вавилоне равнялась приблизительно 11 равноденственным часам, то половина ночи составляла 5 1/2 часов. Следовательно, начало затмения было самое большее за 5 равноденственных часов до полуночи, так как оно началось после восхода, а средняя фаза – за 3 1/2 часа. Поскольку продолжительность затмения таких размеров должна равняться приблизительно 3 часам, в Александрии средняя фаза затмения опять закончилась за 4 1/3 равноденственных часа до полуночи; в этот час истинное положение Солнца было приблизительно на 3 1/4 градусах Девы [IV.6].
Определяем юлианский день (1458687) и дату юлианского календаря для 15 Фаменота 2 года Мардокемпада. Находим, что соответствующая дата – это 1 сентября −719 года. Поэтому затмение состоялось в ночь с 1 на 2 сентября −719 г.
Начало затмения, по Птолемею, было в 19 часов, а максимум – в 20:30, затмевалась северная часть Луны, а фаза превышала 6 баллов. По данным современных расчетов, начало затмения было в 19:03, максимум – в 20:15, фаза – 6.1 балл и затмевалась северная часть Луны. Совпадение по времени – не хуже четверти часа, по фазе и ориентации тени – полное.
4. В 5 году Набопалассара, т.е. в 127 году эры Набонассара, в конце 11-го часа ночи с 27-го на 28-е число египетского месяца Атира в Вавилоне начала затмеваться Луна, и наибольшая величина затмения была с юга на 1/4 часть диаметра. Так как затмение началось в 5 часов после полуночи по местному времени, а средняя фаза была приблизительно в 6 [сезонных] часов, которые тогда в Вавилоне соответствовали 5 1/2 1/3 равноденственным часам, поскольку истинное положение Солнца было на 27;3 градусах Овна, то ясно, что средняя фаза затмения, когда большая часть диаметра попала в тень, соответствовала в Вавилоне 5 1/2 1/3 равноденственным часам после полуночи, а в Александрии – только 5 часам. И время, прошедшее после упомянутой эпохи, составляет 126 египетских годов, 86 дней и 17 равноденственных часов по обычному счету, или 16 1/2 1/4 , если отнести к средним солнечным суткам . Таким образом, среднее положение Луны по долготе соответствовало 25;32 градусам Клешней, а истинное – 27;5, расстояние [по аномалии] от апогея эпицикла равнялось 340;7 градусам, а от северного предела наклонной орбиты [по широте] 80;40 градусам. И ясно, что когда центр Луны в наибольшем ее расстоянии находился на 9 1/3 градусах от узла по наклонной орбите, а центр тени был на большом круге, проведенном через лунный центр перпендикулярно орбите (а в этом положении имеют место наибольшие затемнения), то в тень попадала 1/4 ее диаметра [V.14].
Юлианский день – 1494714, а дата – 21 апреля −620 г. (Здесь и далее мы ради краткости будем указывать юлианский день и дату юлианского календаря только для первой из двух приводимым Птолемеем дат.)
Максимум затмения, по Птолемею, был в 5:50, фаза составляла 3 балла (четверть диаметра), и Луна затмевалась с юга.
По расчетам, максимум затмения был в 5:34, фаза составила 2.1 балла, и Луна затмевалась с юга. Расхождение по времени – около четверти часа.
5. Далее, в 7 году Камбиза, т.е. в 225 году от Набонассара, в ночь с 17-го на 18-е число египетского месяца Фаменот, за 1 [равноденственный] час до полуночи в Вавилоне наблюдалось затмение Луны с севера на 1/2 ее диаметра. Следователь но, в Александрии это затмение произошло приблизительно за 1 1/2 1/3 равноденственный час до полуночи. И время, прошедшее от принятой эпохи, составляет 224 египетских года, 196 дней и 10 1/6 равноденственных часов по обычному счету, или 9 1/2 1/3 по точному, так как Солнце находилось на 18;12 градусах Рака. Таким образом, среднее положение Луны по долготе соответствовало 20;22 градусам Козерога, а истинное – 18;14 градусам. От апогея эпицикла [по аномалии] она отстояла на 28;5 градусов, а от северного предела наклонной орбиты [по широте] – на 262;12 градуса. Отсюда, следовательно, ясно, что когда центр Луны отстоял от узла на 7 4/5 градусов по наклонной орбите, Луна находилась в наибольшем расстоянии и центр тени занимал по отношению к центру Луны указанное положение, тогда в тень попадала 1/2 лунного диаметра [V.14].
Юлианский день этого затмения – 1530594, дата – 16 июля −522 г.
По Птолемею, максимум затмения был в 23 часа, фаза составила 6 баллов, затмевалась северная часть Луны.
По современным расчетам, максимум затмения был в 23:56, фаза составила 6.1 балл, затмевалась северная часть Луны. Расхождение по времени – около часа, по величине фазы и ориентации тени – полное совпадение.
6. Второе затмение, которым пользовался также и Гиппарх, произошло на 20 год Дария, бывшего после Камбиза, в ночь с 28-го на 29-е число египетского месяца Эпифи, когда уже ночи прошло 6 1/3 равноденственных часов; тогда Луна точно так же затмилась с юга на 1/4 диаметра и средняя фаза была в Вавилоне за 2/5 равноденственного часа до полуночи (так как половина ночи равнялась тогда приблизительно 6 1/2 1/4 равноденственным часам), а в Александрии – за 1 1/4 равноденственный час до полуночи [IV.9].
По «Канону царей» находим, что 20-й год Дария, бывшего после Камбиза – это 246 год эры Набонассара.
Юлианский день этого затмения – 1538390, дата – 19 ноября −501 г.
По Птолемею, максимум затмения был в 23:36, фаза 3 балла и затмевалась южная часть Луны.
Согласно расчетам, максимум затмения был в 0:23, фаза – 2.1 балла и затмевалась южная часть Луны. Точность по времени – лучше одного часа, фаза несколько преучеличена (почти на балл), ориентация тени совпадает.
7. В качестве первого затмения мы взяли наблюденное в Вавилоне в 31 год Дария I, в ночь с 3-го на 4-е число египетского месяца Тиби, в середине 6-го часа [ночи], когда Луна затмилась с юга на 2 пальца [IV.9].
Здесь нам придется опять обратиться к «Канону царей», чтобы определить, что 31 год Дария I – это 257 год Набонассара.
Юлианский день – 1542200, соответствующая дата – 25 апреля −490 г.
По Птолемею, максимум затмения был примерно за полчаса до полуночи, фаза равнялась 2 баллам и Луна затмевалась с юга.
Согласно расчетам, максимум затмения был в 22:59, фаза равнялась 1.7, Луна затмевалась с юга. Расхождение по времени – около получаса, указанная фаза близка к расчетной, ориентация тени совпадает.
8. Гиппарх говорит, что эти три затмения были взяты из наблюдений, полученных из Вавилона и именно там произведенных; первое затмение произошло в архонтат Фанострата в Афинах в месяце Посидеоне; Луна затмилась лишь в небольшой части диска со стороны летнего восхода, причем от ночи оставалось полчаса. «Луна, – говорит он, – закатилась еще в затмении». Это время соответствует 366 году от Набонассара, египетскому месяцу Тот, как говорит он сам, с 26-го на 27-е число, через 5 1/2 часов местного времени после полуночи, так как ночи еще оставалось полчаса. Но поскольку Солнце находилось в конце Стрельца, то в Вавилоне час ночи соответствует 18 временным градусам, ибо ночь равна 14 2/5 равноденственным часам; следовательно, 5 1/2 часов местного времени соответствуют 6 3/5 равноденственным часам. Таким образом, начало затмения было в 18 1/2 равноденственных часов после полудня 26-го числа. Поскольку же затмилась лишь небольшая часть, то все время затмения должно было равняться приблизительно 1 1/2 часу, и средняя фаза, очевидно, была в 19 1/3 равноденственных часов. Следовательно, в Александрии средняя фаза затмения была в 18 1/2 равноденственных часов после полудня 26-го числа. И время, прошедшее от эпохи первого года Набонассара до рассматриваемого, составляет 365 египетских годов, 25 дней и 18 1/2 часов по обычному счету, или 18 1/4 по точному. Если для этого времени мы произведем расчеты на основании принятых нами основных положений, то найдем, что истинное положение Солнца было на 28;18 градусах Стрельца. Луна же в среднем движении находилась на 24;20 градусах Близнецов, а в истинном – на 28;17, так как по аномалии она отстояла на 227;43 градусов от апогея эпицикла [IV.11].
Птолемей дает год по эре Набонассара. Приведенной им дате соответствует юлианский день 1581888 и дата 22 декабря −382 г.
Согласно Птолемею, начало затмения состоялось в 6:30 утра, а максимум – в 7:20. Фаза не указана – это связано с тем, что затмение началось при закате Луны («Луна закатилась еще в затмении»). Тень была на лунном диске «со стороны летнего восхода», т.е. с северо-востока.
По данным расчетов, затмение началось в 7:18 местного времени, а максимум был в 8:12. Тень закрывала Луну с севера. Расхождение по времени – менее часа, ориентация тени совпадает (расчеты показывают, что в самом начале затмения действительно была затемнена северо-восточная часть диска).
9. Далее Гиппарх говорит, что следующее затмение произошло в архонтат Фанострата в Афинах в месяце Скирофорионе, а по-египетски – в месяце Фаменот, с 24-го на 25-е число. По его словам, Луна затмилась от точки летнего восхода в течение первого часа ночи. Это время соответствует 366 году Набонассара и ночи с 24-го на 25-е число месяца Фаменот, самое большее за 5 1/2 часов местного времени до полуночи. Но так как Солнце находилось тогда в конце Близнецов, то ночной час в Вавилоне равнялся тогда 12 временным градусам, следовательно, 5 1/2 часов местного времени дают 4 2/5 равноденственных часа. Значит, начало затмения было в 7 3/5 [6 + (6 − 4 2/5)] равноденственных часов после полудня 24-го числа. Но так как все время затмения равнялось, по записям, 3 часам, то, значит, средняя фаза была в 9 1/10 равноденственных часов. Следовательно, в Александрии она должна была произойти приблизительно через 8 1/4 равноденственных часов после полудня 24-го числа. И время, прошедшее от вышеупомянутой эпохи, составляет 365 египетских годов, 203 дня и 8 1/4 равноденственных часов по обычному счету, или 7 1/2 1/3 по точному. Для этого времени точное положение Солнца, как мы нашли, было на 21;46 градусе Близнецов, а Луна в среднем движении находилась на 23;58 градусах Стрельца, в истинном – на 21;48, так как по аномалии она отстояла на 27;37 градусов от апогея эпицикла. Промежуток времени, прошедший между первым и вторым затмениями, получается равным 177 дням, 13 3/5 равноденственным часам; число градусов, на которое передвинулось Солнце [по долготе], равно 173;28, тогда как Гиппарх ведет свои расчеты, как будто бы указанный промежуток времени равнялся 177 дням и 13 1/2 1/4 равноденственным часам, что соответствует перемещению Солнца [по долготе] на 173 градуса без 1/8 части [IV.11].
Юлианский день для этого затмения – 1582066, а дата – 18 июня −381 г.
Согласно Птолемею, время начала затмения – 19:36, а время максимума – 21:06. Согласно расчетам, начало затмения было в 20:03, а максимум – в 21:24. Точность по времени – лучше получаса.
10. Третье же затмение, по его словам, произошло в архонтат Эвандра в Афинах 1-го числа месяца Посидеона, по египетскому же счету с 16-го на 17-е число месяца Тот. Как он говорит, Луна затмилась полностью от летнего восхода по истечении 4 часов [ночи]. Это время соответствует 367 году Набонассара, с 16-го на 17-е число месяца Тот, самое большее за 2 1/2 часа до полуночи. Но так как Солнце находилось во второй трети Стрельца, то в Вавилоне ночной час равнялся приблизительно 18 временным градусам; следовательно, 2 1/2 часа местного времени составляют 3 равноденственных часа. Таким образом, начало затмения было через 9 равноденственных часов после полудня 16-го числа. Но так как Луна затмилась полностью, то все время затмения равнялось приблизительно 4 равноденственным часам, и, значит, средняя фаза была в 11 часов после полудня; следовательно, в Александрии средняя фаза затмения должна была произойти в 10 1/6 равноденственных часов после полудня 16-го числа. И время, прошедшее от принятой эпохи, составляет 366 египетских годов, 15 дней и 10 1/6 равноденственных часов по обычному счету, или 9 1/2 1/3 по точному. Для этого времени мы находим Солнце в истинном движении на 17;30 градусах Стрельца, а Луну в среднем движении – на 17;21 градусах Близнецов, в истинном же – на 17;28, так как по аномалии она отстояла на 181;12 градус от апогея эпицикла. Промежуток времени от второго до третьего затмения получается равным 177 дням и 2 равноденственным часам, или 175;44 градусам [по долготе], тогда как Гиппарх опять предполагает, что этот промежуток времени равнялся 177 дням и 1 2/3 равноденственному часу, или 175 1/8 градусам. Таким образом, в вычислении промежутков времени он, по-видимому, ошибся: в днях – на 1/6 и 1/3 равноденственного часа в первом и втором промежутках, в градусах же – приблизительно на 3/5 градуса в обоих промежутках, что может дать заметную разницу в величине отношения [IV.11].
Юлианский день – 1582243, дата – 12 декабря −381 г.
Птолемей говорит, что начало затмения было в 21 час, а максимум – в 23 часа, при этом затмение было полным.
Расчеты показывают, что полное затмение началось в 21:30, а максимум был в 23:15. Расхождение по времени – не более получаса.
11. Теперь перейдем к разобранным им далее трем последним затмениям, которые, как он [Гиппарх] говорит, были наблюдены в Александрии. Первое из этих затмений, говорит он, произошло в 54 год второго периода Калиппа, в египетском месяце Месоре, 16-го числа, когда Луна начала затмеваться за полчаса до своего восхода и полностью очистилась в половине третьего часа. Таким образом, средняя фаза была в начале второго часа, за 5 часов местного времени до полуночи (за столько же и равноденственных), так как Солнце находилось в конце Девы. Таким образом, в Александрии средняя фаза затмения произошла через 7 равноденственных часов после полудня 16-го числа. Время же, прошедшее от первого года эпохи Набонассара, составляет 546 египетских годов, 345 дней и 7 равноденственных часов по обычному счету, или 6 1/2 по точному, в это время мы опять нашли, что Солнце в истинном движении находилось на 26;6 градусах Девы, а Луна в среднем движении – на 22 градусах Рыб, в истинном же – на 26;7 градусах, так как по аномалии она отстояла на 300;13 градусов от апогея эпицикла [IV.11].
Юлианский день для этого затмения – 1648273, а дата – 22 сентября −200 г.
Согласно Птолемею, максимум затмения был в 19 часов, а начало – в 17:30. (Последняя цифра – очевидно, лишь оценка, т. к. затмение началось до восхода Луны.)
По расчетам, начало затмения было в 17:42, а максимум – в 19:12. Разница составляет 12 минут.
12. Следующее затмение, говорит он, произошло в 55 году того же периода, 9-го числа египетского месяца Мехира. Оно началось, когда уже прошло 5 1/3 часов ночи, и Луна затмилась полностью. Следовательно, начало затмения было в 11 1/3 равноденственных часов после полудня 9-го числа; Солнце находилось в конце Рыб; средняя фаза была через 13 1/3 равноденственных часов, поскольку затмение Луны было полным. И время, прошедшее от начальной эпохи до сих пор, составляет 547 египетских годов, 158 дней и приблизительно 13 1/3 равноденственных часов как по обычному, так и по точному счету; для этого времени мы точно так же нашли, что Солнце в истинном движении находилось на 26;17 градусах Рыб, а Луна в среднем движении – на 1;7 градусе Клешней, в истинном же – на 26;16 градусах Девы, так как по аномалии она отстояла на 109;28 градусов от апогея. Время же, прошедшее между первым и вторым затмениями, оказывается равным 178 дням и 6 1/2 1/3 равноденственным часам, или 180;11 градусам, тогда как Гиппарх, производя свои расчеты, полагал, что этот промежуток времени равнялся 178 дням и 6 равноденственным часам, или же 180;20 градусам [IV.11].
Юлианский день – 1648451, дата – 19 марта −199 г.
Птолемей говорит, что начало затмения было в 23:20, а его максимум – в 1:20 ночи. Затмение было полным.
По расчетам, начало этого полного затмения было в 23:11, а максимум – в 0:59. Точность по времени – 9 минут для момента начала и 21 минута для момента максимума.
13. Третье же затмение, говорит он, произошло в тот же самый 55 год второго периода Калиппа, в египетском месяце Месоре, 5-го числа; началось оно, когда уже прошло 6 2/3 часов ночи, и Луна затмилась полностью. И средняя фаза затмения, говорит он, была самое большее около 8 1/3 часов, т.е. через 2 1/3 часа местного времени после полуночи. Но так как Солнце находилось в середине Девы, то в Александрии ночной час равнялся 14 2/5 градусам времени; значит, 2 1/3 часа местного времени составляют приблизительно 2 1/4 равноденственного часа. Таким образом, средняя фаза была в 14 1/4 часов после полудня 5-го числа. И опять время, прошедшее от начальной эпохи до этого [момента], составляет 547 египетских годов, 334 дня и 14 1/4 равноденственных часов по обычному счету, или 13 1/2 1/4 по точному. Для этого времени мы нашли Солнце в истинном движении на 15;12 градусах Девы, а Луну в среднем движении – на 10;24 градусах Рыб, в истинном же – на 15;13, так как по аномалии она отстояла на 249;9 градусов от апогея эпицикла. И промежуток времени между вторым и третьим затмениями составляет 176 дней и 2/5 равноденственного часа, или же 168;55 градусов, тогда как Гиппарх опять полагал этот промежуток равным 176 дням и 1 1/3 равноденственному часу, или 168;33 градусам. И, следовательно, отсюда видно, что в градусах он ошибся приблизительно на 1/31/6 градуса [по долготе], а в днях – приблизительно на 1/2 1/3 и на 1/2 1/31/10 частью одного равноденственного часа, а это может произвести заметную разницу в получающейся при данной гипотезе величине отношения [IV.11].
Юлианский день – 1648627, а дата – 11 сентября −199 г.
По Птолемею, затмение было полным, его максимум был в 2:15 ночи.
Согласно расчетам, максимум полного затмения был в 2:32. Несовпадение по времени – около четверти часа.
14. Так вот, в 7 год Филометора, который является 574 после Набонассара, в ночь с 27-го на 28-е число египетского месяца Фаменот, начиная с 8-го часа и до конца 10-го, в Александрии затмилась Луна в наибольшей фазе на 7 пальцев с севера. Так как время средней фазы соответствовало 2 1/2 часам местного времени после полуночи, которые соответство вали 2 1/3 равноденственным, поскольку истинное положение Солнца было на 6 1/4 градусах Тельца, то время, прошедшее от упомянутой эпохи до затмения, получается равным 573 египетским годам, 206 дням и 14 1/3 равноденственным часам по обычному счету, или только 14, если отнести к средним суткам. В это время среднее положение центра Луны соответствовало 7;49 градусам Скорпиона, а истинное – 6;16 градусам, расстояние от апогея эпицикла было 163;40 градуса, а от северного предела наклонного круга – 98;20 градусов. Ясно, что когда центр Луны отстоял от узла на 8;20 градусов по наклонной орбите в наименьшем расстоянии Луны, а центр тени находился на большом круге, проведенном через это положение перпендикулярно орбите (в этом положении получаются наибольшие затмения), то в тень была погружена 1/2 и 1/12 часть диаметра Луны [VI.5].
Юлианский день – 1657989, а дата – 30 апреля −173 г.
По Птолемею, время максимума затмения – 2:20 ночи, фаза – 7 баллов, затмевалась северная сторона Луны.
Согласно расчетам, максимум затмения был в 1:57, фаза была равна 7.4 баллам, затмевалась северная сторона Луны. Расхождение по времени около 20 минут, практически полное совпадение по фазе и ориентации тени.
15. Затем в 37 год третьего периода Калиппа, который является 607 после Набонассара, в ночь со 2-го на 3-е число египетского месяца Тиби, в начале 5-го часа на Родосе начала затмеваться Луна, и в наибольшей фазе было затемнено 3 пальца с юга. Поскольку и в этом случае начало затмения произошло за 2 часа местного времени перед полуночью, что соответствует 2 1/3 равноденственным часам на Родосе и в Александрии, так как истинное положение Солнца было на 5;8 градусах Водолея, то время средней фазы, когда затенение было наибольшим, соответствовало приблизительно 1 1/2 1/3 равноденственному часу до полуночи. Таким образом, время, прошедшее от упомянутой эпохи до середины затмения, оказывается равным 606 египетским годам, 121 дню и 10 1/6 равноденственным часам как по обычному счету, так и отнесенным к средним суткам. В это время среднее положение центра Луны было на 5;16 градусах Льва, а истинное – на 5;8; расстояние от апогея эпицикла равнялось 178;46 градусам, а от северного предела наклонной орбиты – 280;36 градусам. Отсюда ясно, что когда центр Луны на наклонной орбите находился на 10;36 градусах от узла в том же наименьшем расстоянии, а центр тени – на пересечении больших кругов, проведенных один через середины зодиакальных созвездий, а другой через центр Луны – перпендикулярно ее наклонной орбите, то в тень попадала четвертая часть лунного диаметра [VI.5].
Юлианский день – 1669949, а соответствующая дата – 27 января −140 г.
По Птолемею, затмение началось в 21:40, его максимум был в 22:10, фаза составила 3 балла, затмевалась южная часть Луны.
По современным расчетам, начало затмения было в 20:57, максимум – в 21:48, фаза – 2.8 балла, затмевалась южная часть Луны. Расхождение во времени начала – менее часа, во времени максимума – менее 20 минут, полное соответствие в величине фазы и ориентации тени.
16. В качестве второго взяли наблюденное в Александрии в 9 год Адриана, с 17-го на 18-е число египетского месяца Пахона, за 3 3/5 равноденственных часа до полуночи, когда Луна точно так же затмилась с юга на 1/6 часть своего диаметра [IV.9].
Дате Птолемея соответствует юлианский день 1766809 и дата 5 апреля 125 г.
Время максимума по Птолемею – 20:24, фаза – 2 балла, луна затмилась с юга. По современным расчетам, время максимума – 20:53, фаза – 1.8 балла, луна затмевалась с юга. Расхождение по времени – полчаса, в остальном – полное соответствие описанию.
17. Далее мы взяли три затмения из наиболее тщательно наблюденных нами в Александрии; первое из них случилось в 17 году Адриана, в египетском месяце Паини, с 20-го на 21-е число. При точном вычислении средняя фаза имела место за половину с четвертью равноденственного часа до полуночи; затмение было полным в тот час, когда истинное положение Солнца было приблизительно на 13 1/4 градусах Тельца [IV.6].
17-й год Адриана соответствует 880 году эры Набонассара, поэтому указанной Птолемеем дате соответствует юлианский день 1769762 и дата 6 мая 133 г.
Птолемей пишет, что затмение было полным, а его максимум был в 23:15. По данным современных расчетов, затмение 6 мая 133 г. было полным, а его максимум был в Александрии в 23:05. Точность по времени – 10 минут.
18. Второе затмение было в 19 год Адриана, в египетском месяце Хойаке, со 2-го на 3-е число. По нашему расчету, средняя фаза имела место за один равноденственный час до полуночи. Луна была затемнена с севера на 1/2 и 1/3 диаметра, когда истинное положение Солнца было приблизительно на 25 1/6 градусах Клешней [IV.6].
Находим юлианский день (1770294) и дату (20 октября 134 г.). Максимум затмения был в 23 часа, фаза составляла 10 единиц (запись « 1/2 и 1/3» следует понимать как сумму этих дробей, т.е. 5/6 или 10 двенадцатых частей диаметра Луны). Тень закрывала Луну с севера. По данным современных расчетов, максимум затмения был в 23:05, фаза составляла 10.1 балл, тень была с севера. Практически точное совпадение по всем параметрам.
19. Третье из этих затмений имело место в 20 году Адриана, в египетском месяце Фармути, с 19-го на 20-е число. Средняя фаза по нашим вычислениям наступила через 4 равноденственных часа после полуночи, и Луна затмилась с севера на половину диаметра. В этот час Солнце находилось приблизительно на 14 1/12 градусах Рыб [IV.6].
Указанной Птолемеем дате соответствует юлианский день 1770796 и дата 5 марта 136 г.
Согласно Птолемею, максимум затмения был в 4 часа, фаза составляла 6 баллов, луна затмевалась с севера. По современным расчетам, время максимума – 3:29, фаза – 5.5, тень была с севера. Расхождение по времени в полчаса, в остальном – полное соответствие.
Итак, мы проанализировали все 19 подробных сообщений о затмениях, включенных в «Альмагест». В каждом случае имеет место очень близкое соответствие параметров затмения, указанных Птолемеем, и данных современных расчетов. Даты затмений точно соответствуют расчетным. Расхождение между временем затмения, приведенным Птолемеем, и результатами расчетов, как правило, не превышает часа, а в большинстве случаев существенно менее этой величины. Ориентация тени на лунном диске полностью соответствует расчетам, а расчетные и указанные Птолемеем величины фаз очень хорошо согласуются (максимальное расхождение – полтора балла).
Теперь рассмотрим труды Морозова и «новых хронологов», посвященных затмениям «Альмагеста».
2.2. Морозов о затмениях «Альмагеста»
Ниже будет цитироваться глава V 4-й книги труда Морозова «Христос» – «Гнезда лунных затмений в Альмагесте как доказательство их позднейшей вычисленности». Цитаты выделены курсивом.
Морозовская атака на «Альмагест» начинается несколько странно: «Но, может быть, в таком огромном сочинении собраны и очень древние астрономические наблюдения? Проверим это по приведенным там лунным затмениям. Первое, что мы тут замечаем, это то, что по обычной хронологии они не представляют собой чего-либо последовательного, а распадаются на оригинальные гнезда, отделенные вековыми пустыми промежутками (табл. LXXIII). Так они не могли быть записаны в реальной жизни, а скорее вычислены по циклам».
Морозов то ли не понимает, то ли делает вид, что не понимает, что «Альмагест» – это не дневник наблюдений, а труд по теоретической астрономии. Как мы видели выше, Птолемей и не утверждает, что он лично наблюдал все упоминаемые им в «Альмагесте» затмения – наоборот, он то и дело говорит что-то вроде «мы взяли одно из древних наблюдений». Лично он наблюдал лишь 4 затмения из 19 – затмения 125, 133, 134 и 136 гг. н.э.
Вот что пишет Морозов про первую тройку затмения «Альмагеста» (−720 и −719 гг.):
I. Первое гнездо лунных затмений Альмагеста (Псевдо-Вавилонское).
Вот в каком виде приводятся в Альмагесте первые три из ее лунных затмений.
Первое затмение. (Гл. IV, 5, стр. 244).
Среди трех выбранных нами и имевших место в «Вавилоне» лунных затмений, первое наблюдалось в первом году Мардок-Емпадоса (от мардок мятежник и Эмпадос – стойкий, постоянный) в ночь 29/30 египетского Тота. Оно началось час спустя после восхода Луны и было полным. Так как в это время Солнце находилось в конце Рыб, и ночь имела 12 астрономических часов, то затмение наступило («в Вавилоне») в 4 1/2 астрономических часа до полночи, а середина его пришлась за 2 1/2 часа до полночи. Мы ведем счет часам от Александрийского меридиана. А так как он находится приблизительно на 2/3 астрономического часа к западу от «Вавилона» (который сослан уже в Месопотамию!), то, следовательно, середина затмения была (в Александрии) за 3 1/3 астрономического часа до полночи. [Здесь Морозов прекращает цитировать Птолемея, хотя у того дальше сказано: «…в этот час, согласно произведенным нами вычислениям, истинное положение Солнца было на 24 1/2 градусах Рыб» – лишнее свидетельство того, что имеется в виду не созвездие Рыб, а зодиакальный знак – Ю.К.]
Здесь мы имеем прекрасно определенное мартовское лунное затмение, при чем «Луна вполне затмилась, когда ночь имела 12 астрономических часов», т.е. около самого весеннего равноденствия, бывшего «в конце Рыб», т.е. уже в нашу эру. Средина этого затмения была около 9 1/2 ч. веч. по александрийскому, т.е. в 7 1/2 ч. веч. по гринвичскому времени, иначе говоря в 19 1/2 ч. от гринвичской полуночи, а место затмения в созвездии Девы.
Посмотрим же, когда во второй половине марта были полные лунные затмения около 19 1/2 ч. от гринвичской полуночи с начала нашей эры.
Налицо явное недоразумение. Морозов, видимо, не знает, что у Птолемея «Рыбы» – это не созвездие, а последние 30 градусов зодиака перед точкой весеннего равноденствия. Иными словами, Птолемей пользуется тропическим зодиаком, и об этом он ясно пишет в «Альмагесте»: «Мы называем первую двенадцатую часть эклиптики, отсчитываемую от точки весеннего равноденствия против направления вращения мира (т.е. с запада к востоку), именем Овна; вторую двенадцатую часть эклиптики именем Тельца и т.д. в порядке, переданном нам традицией». Так что из фразы Птолемея «Солнце находилось в конце Рыб» отнюдь не следует, что затмение произошло «уже в нашу эру». Эта фраза означает лишь, что затмение произошло за несколько дней до весеннего равноденствия – и не более этого. Однако Морозов, не прочитав толком «Альмагест» и пребывая в уверенности, что тут речь идет о созвездии Рыб, проводит поиск полных лунных затмений во второй половине марта около 19:30 по Гринвичу с начала нашей эры. (Немного далее он упорно повторяет: «Кроме того, в минус VII веке равноденствие (т.е. указанная при первом затмении 12-часовая ночь) было уже глубоко в Овне, а не в хвосте Рыб»). Неутомимый исследователь находит десяток таких затмений, из которых «астрономия дала нам четыре более точные решения, […] и одно менее точное 19 марта 303 года».
Второе затмение. (Гл. IV, 5, стр. 245.)
В следующем втором году того же Мардока-Емпадоса, в ночь с 18 на 19 Тота было частное лунное затмение. Вот его описание:
Второе затмение произошло, как указано, во втором году Мятежника-Стойкого, в ночь 18/19 Тота египтян; луна затмилась в южной части на 3 пальца. Так как средина затмения была видима в «Вавилоне» как раз в полночь, то оно должно было начаться в Александрии за 2/3 часа до полуночи (а по-гринвичски – около 21 часа после полуночи предшествовавшего дня).
Далее начинается поиск лунного затмения примерно через год после каждой из найденных для первого затмения дат. «Здесь по часу и по малой фазе подходит к описанию только 406 г., если у Птолемея вместо нашего 20 марта взято 10 Тота».
Третье затмение. (Гл. IV, 5, стр. 245.)
Третье затмение этой триады, записано у Птолемея, как совершившееся в том же втором году Мятежника-Стойкого (в ночь) с 15 на 16 Паменота египтян.
Вот его описание:
Оно началось, как говорят, после «восхода», и Луна с северной части была закрыта более чем на половину.
Следовательно, – прибавляет тут кто-то, – затмение началось никак не позже как за 5 астрономических часов до полночи, так как оно произошло после «восхода», а середина его (следовательно) пришлась за 3 1/2 часа до полуночи.
Но эти чисто мысленные соображения, конечно, не обязательны для нас. В записи не сказано, что затмение было при восходе Луны, а не Солнца. И потому мы можем принять во внимание и затмение Луны 14 сентября 406 г. в 4ч. 4м. от гринв. полуночи, которое было частным, с Фазой 3"4. А по александрийскому времени середина его была в 6ч. 4м. прямо на „восходе” Солнца, как и написано в основном сообщении».
Из процитированного выше отрывка очевидно, что для Морозова не обязательны не только «чисто мысленные соображения», но и здравый смысл. Действительно, «в записи не сказано, что затмение было при восходе Луны, а не Солнца» – там сказано, что «оно началось после восхода». Думаю, нет нужды пояснять, что если лунное затмение начинается после восхода Солнца, то наблюдать такое затмение нельзя – Луна в его начале уже будет ниже горизонта. Поэтому Морозов проделывает нехитрый трюк – он как-то легко «забывает» только что приведенную им цитату, в которой говорится, что затмение «началось… после восхода», и тут же подменяет слово «после» на слово «при»… После этого то, что, по Морозову, «мы можем принять во внимание и затмение Луны 14 сентября 406 г., которое было частным, с фазой 3"4», хотя в приведенной им же цитате ясно сказано, что «луна с северной части была закрыта более чем на половину» – т.е. фаза затмения была более 6» – это, право же, сущие мелочи…
Итак, бравый исследователь определил время первой триады затмений «Альмагеста». «Здесь во всей триаде совпадение получилось абсолютное и решение единственное». (Последователи Морозова сказали бы – «идеально соответствует»…) «Дело идет о следующих трех затмениях начала V века нашей эры.
405-III-31; время середины: 20ч. 47м. александрийского времени. А надо: 20 ч. 45 м, т.е. в точности совпало; фаза 16"9 (полное, как и сказано).
406-III-20; 22ч. 48м. александрийского времени. А надо: 23ч. 15м., т.е. разница, лишь 27 м.; фаза 1»0 (малое, как и сказано), и год
406-IX-14; 6ч. 4м. александрийского времени. А надо «в крайнем случае в 5 часов». Фаза 3"4 преувеличена частными наблюдателями до 5»0.»
Что ж, вглядимся пристально в предлагаемое нам «идеальное решение». Первое затмение не годится, т.к. оно произошло уже после весеннего равноденствия. Говоря языком Птолемея, Солнце было уже не «в конце Рыб», а «в начале Овна». Третье затмение не годится, поскольку оно произошло «после восхода» (понятно, что раз «после», то имеется в виду восход Луны, а отнюдь не Солнца), а Морозов предлагает нам утреннее затмение. Обратим попутно внимание еще на одну мелкую неточность Морозова – он пишет, что «фаза 3"4 преувеличена частными наблюдателями до 5»0», хотя в приводимой им цитате сказано, что «луна с северной части была закрыта более чем на половину» – т.е. его мифические наблюдатели «преувеличили фазу» не «до 5»0», а более чем до 6» – практически вдвое. Как-то слабо верится, что можно написать, что Луна была покрыта тенью более чем наполовину, когда фактически тень закрыла чуть более четверти диаметра лунного диска…
Второе и третье затмения не годятся еще по одной причине. В «Альмагесте» сказано, что в во время второго затмения тень закрывала лунный диск с юга, а во время третьего – с севера. Расчеты показывают, что при затмениях −719 года, которые согласуются с классической датировкой, так и было. Но для двух последних затмений Морозова (406 г.), которые он принимает за второе и третье затмения Птолемея, все обстояло «с точностью до наоборот»: во время первого из них лунный диск закрывался тенью с севера, а во время второго – с юга. Морозов то ли не удосужился, то ли не имел возможности проверить совпадение ориентации тени на лунном диске с описаниями…
Уважающий себя «новый хронолог» после некоторого периода самолюбования упоминает классическое решение и утверждает, что классическое решение неудовлетворительно, а найденное им – «идеально». Морозов – не исключение:
По Гинцелю же это были затмения:
Минус 720-III-19; время середины: 2ч. 35м. александрий ского времени, фаза 21"3 (а у Птолемея дано на 6 часов раньше).
Минус 719-III-8; 22ч. 40м. александрийского времени, 1"6 (почти совпало с Птолемеевым 23 ч.15 м.).
Минус 719-IX-1; 16ч. 21м. александрийского времени – 6"4 (совпадающее с Птолемеевым, если допустить, что слова «при восходе» относятся к восходу Луны, а не Солнца).
Мы видим, что относительно первого затмения только мое решение удовлетворительно: Птолемей говорит, что оно было «по его расчету» за 3 1/3 ч. до полуночи. У меня оно за 3 1/4 ч. до нее, а у Гинцеля – на 6 ч. позднее, чем у Птолемея. Второе затмение у меня ближе к Птолемею, чем у Гинцеля, а третье сам «Гиппарх» приводит не по записям, а по «слухам» на восходе неизвестно чего. Гипцель считает, «при восходе Луны», а я – при восходе Солнца, и оба получаемые результаты согласны с Птолемеем.
Внимательно изучим эту критику. Во-первых, из таблицы в начале статьи видно, что первое затмение (номер 1) достигло максимума в 21:49 местного истинного вавилонского времени – или около 21:00 местного времени Александрии, что вполне совпадает со временем, указанным в «Альмагесте». Морозова подвела явная опечатка в книге Гинцеля – почти наверняка там вместо 2:35 следует читать 20:35 или 21:35. Второе затмение при более точном расчете оказывается по времени ближе к указанному Птолемеем, чем морозовское (около 23 часов по времени Александрии), к тому же луна при морозовском затмении затмевалась с севера, а не с юга.
Третье морозовское затмение вообще не лезет ни в какие ворота. Морозов, полагая, что его читатель уже окончательно позабыл слова Птолемея «после восхода», уверяет его, что «третье [затмение] сам „Гиппарх” приводит не по записям, а по „слухам” на восходе неизвестно чего. Гинцель считает, „при восходе Луны”, а я – при восходе Солнца, и оба получаемые результаты согласны с Птолемеем». (Кстати, при чем тут Гиппарх? При описании этой тройки затмений Птолемей его никак не упоминает. Лишнее свидетельство того, что Морозов взялся обсуждать «Альмагест», даже не прочитав его как следует…) К тому же фаза затмения −719 года – 6"1 – и расположение земной тени точно соответствуют фразе из «Альмагеста»: «Луна с северной части была закрыта более чем на половину», морозовское же затмение имело фазу почти вдвое меньшую, и тень закрывала Луну с юга.
Итак, при разборе морозовского анализа первых трех лунных затмений «Альмагеста» мы видим знакомую картину – нам предлагается нечто, что, как нас заверяют, является «полным совпадением и единственным решением», однако при пристальном изучении оказывается, что это «единственное решение» решением вовсе и не является – а классическая трактовка вполне подтверждается. Однако Морозов, видимо, вполне доволен собой и пускается в пространные витийства.
«Каков же окончательный результат?
Он тот, что, во-первых, автор этого места Альмагеста жил не ранее 407 г. нашей эры, т.е. после возникновения Апокалипсиса, и, во-вторых, что его египетский Тот налегал здесь почти прямо на март, а Паменот – на сентябрь, только первый начался двумя днями раньше, а второй-двумя позднее. Значит, это был тоже солнечный счет […] Отсюда мы приходим к неожиданному заключению, что в 1 год эры Мардока-Стойкого первый месяц александрийского счета, Тот, налегал на март 405 г. Значит, счет этой эры начинался с 404 г., когда Иоанн Хризостом был изгнан из Константинополя в Кукус в Малой Армении, после чего и умер через 3 года. Нельзя ли заключить из этого, что Мардок, или Мардохей Стойкий это он, и даже, как мы видим, создал свою эру? Самое имя Мардук происходит от еврейского МРД – мятеж и, как указано выше, оно значит «мятежник против деспотизма», каким и был автор Апокалипсиса.»
Вот в какие дали может занести человека его фантазия… Кое-как подобранная тройка затмений, которая, по мнению Морозова, соответствует описаниям в «Альмагесте» – и тут же из этого следует, что Мардокемпад (или Мардук-апла-иддин, он же – библейский царь Меродах Валадан) – по совместительству автор «Апокалипсиса». Впрочем, в следующем разделе мы увидим превращение и поудивительнее.
Приведенных цитат достаточно, чтобы отметить характерную методологическую ошибку Морозова: он совершенно произвольно, исходя только из своего субъективного понимания текста, верит одним фактам и событиям, упоминаемым в тексте, и не верит другим, а различные «нестыковки» восполняет собственными догадками и фантазиями.
Кстати, тут же нам встречается еще один пример подобных догадок и фантазий: «То обстоятельство, что 31 марта названо „концом Рыб”, показывает, что истинное равноденствие было уже значительно ранее конца Рыб, если оно было 20 марта, однако, очень вероятно, что оно тогда считалось еще не по прохождению Солнца через точку весеннего равноденствия, а по гелиакическому восходу этой точки, т.е. по тому моменту, когда она впервые показывалась над утренней зарей». Я более-менее представляю, что такое гелиакический восход светила, к примеру, Сириуса – это первое его появление перед восходом Солнца, когда его можно разглядеть на фоне светлеющего утреннего неба. Но что такое «гелиакический восход точки весеннего равноденствия» – воображаемой точки небесной сферы, и как надо разглядывать эту точку в лучах утренней зари – это, похоже, тайна, которую ведал один Морозов (и унес ее с собой в могилу)…
Далее Морозов задается рядом вопросов:
«Я назвал эти три затмения первым гнездом лунных затмений автора Альмагеста. Почему такое название? Потому что и другие затмения этой книги распределены гнездами, которые лучше всего заметны на диаграмме (табл. LXXIII). На ней вы сами видите четыре гнезда из трех затмений, отделенные по обычному (а не по моему!) счету друг от друга целыми веками, да еще есть несколько одиноких затмений. Уже a priori здесь является вопрос:
– Отчего же произошла эта отрывочность записей Птолемея? Почему затмения располагаются у него гнездами, когда на небе их можно наблюдать почти каждый год, даже часто и по два в год?
Ведь на этом протяжении десяти веков, т.е. целого тысячелетия, было не менее полутора тысяч одних лунных затмений, которые можно было наблюдать в любом городе. На каждом делении нашей диаграммы пришлось бы при их регистрировании нанести до полутораста, и все их звездочки на ней слились бы в один сплошной фон. Почему же тут лишь несколько отдаленных друг от друга групп, да четыре тройки, и притом нередко из самых неэффектных?
Кроме того: разве можно допустить, чтобы творец такой огромной и обстоятельной астрономической книги, как Альмагест, наблюдал при своей жизни и записал только одно полное лунное затмение, да еще три частных, приведенных во II в. (в 125 и 134 годах нашей эры) на нашей диаграмме, когда при ясном небе Александрии он почти ежегодно должен был бы наблюдать не только по одному, а часто и по два затмения?
Как же это вышло? Почему во II веке нашей эры, когда будто бы жил Птолемей, он не записал более затмений, чем записал в IX веке до себя? Почему число чужих записей у него не возрастает по мере близости к нему? Почему он ничего по говорит о солнечных затмениях, бывших в его время?
Таковы вопросы, которые естественно возникают, даже и после того, как я здесь вычислил, что первое гнездо было не в VIII в. до начала нашей эры, а в начале V после нее, в 405–406 годах…»
Вопросы Морозова поражают своей наивностью и свидетельствуют о том, что он так толком и не понял, что «Альмагест» – это вовсе не дневник наблюдений, а труд по теоретической астрономии. Птолемею нужна была не «эффектность» затмений, а их пригодность для определения параметров движения Луны. В частности, по триаде лунных затмений Птолемей определял величину «первого неравенства» (эксцентриситета лунной орбиты). Отсюда и приводимые им тройки затмений. Ему надо было выяснить, как меняются эти параметры со временем – отсюда и данные о затмениях на протяжении девяти веков.
Понаблюдаем, как Морозов «анализирует» вторую тройку затмений «Альмагеста» (−382 и −381 гг.).
«II. Второе гнездо лунных затмений Альмагеста (Псевдо-Гиппархово).
Вот как выражается автор Альмагеста об этой триаде:
Первое затмение. (Гл. IV, 10, стр. 273.)
Гиппарх говорит о приводимых здесь затмениях, что они взяты из «Вавилона» и составлены (?) по тем, которые наблюдались. Первое случилось во времена архонта Фанострата в месяц Посейдона. Луна затмилась только на маленькой части окружности в то время, когда еще оставалось полчаса до «восхождения летней ночи». Луна и зашла затмившейся. Произошло это в 366 г. после Набу-Назорея (пророка Назорея) и, как он (Гиппарх) объясняет, с 26 на 27 египетского месяца Тота.
Второе затмение. (Гл. IV, 10, стр. 276.)
Второе затмение, – говорит Гиппарх, – произошло во времена афинского архонта Фанострата в месяце Скирофорионе, по египетскому же исчислению с 24 на 25 Паменота. Луна затмилась, когда почти прошел первый час летнего восхождения ночи. И это число падает на 366 г. после Набу-Назорея… Все затмение длилось 3 часа.
Третье затмение. (Гл. IV, 10, стр. 278.)
Третье затмение, – говорит Гиппарх, – произошло во время афинского архонта Эвандра в первый день месяца Посейдона, по египетскому же исчислению с 16 на 17 Тота. Оно началось полным по истечении 4 часов от летнего восхождения. Это число падает на 367 год после Набу-Назорея.»
Если сравнить описания затмений, приведенных Морозовым, с приведенными выше цитатами из перевода И. Н. Веселовского, то нельзя не заметить того, что Морозов дает описания затмений в «Альмагесте» очень сокращенно, опуская ряд существенных деталей. Это, однако, полбеды – другая половина же состоит в скверном знании Морозовым языка, с которого он переводил, в силу чего смысл текста Птолемея оказался искажен, и это пагубным образом сказалось на дальнейших выводах Морозова. Так, в описании первого затмения Морозов пишет: «Луна затмилась только на маленькой части окружности в то время, когда еще оставалось полчаса до „восхождения летней ночи”», в то время как у Веселовского сказано: «Луна затмилась лишь в небольшой части диска со стороны летнего восхода, причем от ночи оставалось полчаса». Никакого «восхождения летней ночи» в грамотном переводе нет – есть указание на положение тени на лунном диске («со стороны летнего восхода», т.е. с северо-востока) и на время затмения – за полчаса до окончания ночи. Также искажен смысл и двух других сообщений о затмениях. О втором затмении Морозов пишет: «Луна затмилась, когда почти прошел первый час летнего восхождения ночи. И это число падает на 366 г. после Набу-Назорея… Все затмение длилось 3 часа». Обратим внимание на многоточие у Морозова и еще раз перечитаем соответствующее место из перевода Веселовского: «По его словам, Луна затмилась от точки летнего восхода в течение первого часа ночи. Это время соответствует 366 году Набонассара и ночи с 24-го на 25-е число месяца Фаменот, самое большее за 5 1/2 часов местного времени до полуночи. Но так как Солнце находилось тогда в конце Близнецов, то ночной час в Вавилоне равнялся тогда 12 временным градусам, следовательно, 5 1/2 часов местного времени дают 4 2/5 равноденственных часа. Значит, начало затмения было в 7 3/5 [6 + (6 − 4 2/5)] равноденственных часов после полудня 24-го числа. Но так как все время затмения равнялось, по записям, 3 часам…» Подчеркнутые слова очень важны – они ясно показывают, что затмение происходило задолго до полуночи и вскоре после заката. Морозов их опустил и тем самым открыл себе путь к превратному толкованию текста Птолемея. Столь же краток и приведенный им отрывок из описания третьего затмения – опущена фраза «самое большее за 2 1/2 часа до полуночи» – очевидно, по сходным причинам.
«Обращаю внимание на странности первого сообщения:
В ночь с 26 на 27 Тота (в греческом месяце Посейдона-Нептуна) в 366 г. эры пророка Назорея, месяц зашел в «затмении» в Вавилоне при афинском правителе Фанострате.
Если «Вавилон» был в Месопотамии или Египте, и месяц там зашел в затмении, то в Афинах он был в затмении еще до захода. Да и кто же, кроме того, стал бы считать месопотамские события по афинским архонтам?»
Не знаю, что странного углядел Морозов в том, что Гиппарх, излагая вавилонское сообщение о затмении давностью для него в два с половиной века, перевел в нем указание о времени в греческий календарь. Это не более странно, чем использование самим Морозовым христианской эры при разборе того же «Альмагеста»…
Далее следует пассаж, по сравнению с которым превращение карася в порося – детские забавы:
«Кроме того, указан 366 г. со времени Набу-Назорея, а Назорей на библейском (еврейском) наречии арабского языка значит Христос, т.е. помазанник Громовержца. А имя Набу происходит от еврейского Наба (НБА) и значит: вдохновенный пророк. И все в переводе значит: пророк Христос, или Вдохновенный помазанник божий. И в этом году «от Рождества Христова» Дамаз I стал римским папой.»
Еще раз проследим за манипуляциями Морозова. Ход первый: напишем имя «Набонассар» как «Набу-Назорей». Ход второй – вспомним, что «Назорей… значит Христос» и что «Набу… значит: вдохновенный пророк». Вот так легко и непринужденно, всего лишь за два хода библейский Навуходоносор превращается в евангельского Христа. Ну, а раз Навуходоносор = Христос, то, следовательно, и «эра Набонассара» = «нашей эре», и много других «открытий чудных».
Итак, опорная точка для поисков найдена, но тут же выясняется, что точек по крайней мере две:
«Первичная разведка.
По сопоставлению с предшествовавшей триадой затмений, допустим, что это был христианский Иисус. Тогда с какого времени считать указанную эру? С истинного его рождения около 330 г. нашей эры или с апокрифированного, т.е. около ее нулевого года?»
Здесь я, пожалуй, пощажу читателей и пропущу четыре страницы весьма-таки путаных морозовских штудий. Скажу лишь, что наш неутомимый астроном, получив некую базовую дату для своих поисков, перебирает тьму вариантов затмений, пытаясь найти в нашей эре что-то похожее на описания из «Альмагеста», как он их понимает (ниже будет ясно, что понимает он их весьма превратно). В своих поисках он руководствуется в частности и соответствием египетских месяцев месяцам юлианского календаря – с точностью до одного дня! – которое он получил из своего «анализа» предыдущей триады затмений. Нелепость этого должна бы быть видна даже самому Морозову – он знает, что каждый год в египетском календаре, используемом Птолемеем, состоял из 365 дней (Морозов сам упоминает это в своей книге), поэтому через 4 года из-за високоса в юлианском календаре соответствие это сдвинется на сутки, а через век – почти на месяц. Но в данном рассмотрении Морозов почему-то напрочь забывает это обстоятельство.
Перейдем сразу к его выводам. Сначала ознакомимся с постановкой задачи по-морозовски:
«…задание Альмагеста:
I член триады:
В неизвестное число Посейдония, соответствующее ночи 26/27 Тота 366 г. Началось затмение луны за полчаса до конца ночи (или: после Александрийской полуночи, т.е. в одиннадцатом часу по Гринвичски). «Говорят, что луна и зашла такой».
II член:
В неизвестное же число Скирофориона, соответствую щее ночи 24/25 Паменота 366 г. Началось затмение луны, говорят, после исхода «первого часа» (после Александрийской полуночи, т.е. в полночь по Гринвичски).
III член:
1 числа Посейдония, соответствующего ночи 16/17 Тота 367 года, было затмение луны, полное после 4 часов (от Александрийской полуночи, т.е. в два часа по Гринвичски).»
После сравнения только что приведенной цитаты с фрагментами перевода Веселовского можно заподозрить причину столь несвойственной Морозову лаконичности в изложении им обстоятельств этих затмений по Птолемею. Морозов скрывает (возможно, ненамеренно) от своих читателей, что у Птолемея ночное время здесь отсчитывается от захода Солнца, что совершенно ясно из текста «Альмагеста». Поэтому он смело пишет, что второе затмение из этой тройки было в 2 часа ночи по александрийскому времени, а третье – в 4 часа ночи – при том, что в тексте ясно сказано, что у второго затмения «средняя фаза… в Александрии… должна была произойти приблизительно через 8 1/4 равноденственных часов после полудня 24-го числа», т.е. в 20:15, а у третьего «в Александрии средняя фаза затмения должна была произойти в 10 1/6 равноденственных часов после полудня 16-го числа» – т.е. в 22:10. Иными словами, оба эти затмения на самом деле – вечерние.
После столь превратного (видимо, намеренно) толкования текста Птолемея отмести классическую датировку этих трех затмений – пара пустяков:
«Гинцель, считая Тот и Посейдоний за декабрь, а Паменот и Скирофорион за июнь, дает триаду:
I член: Год минус 382-XII-23; 4ч. 53м. гринв. врем. утром с фазой 2"6. В Риме и Афинах оно было видимо все, в Мемфисе начало и середина, в Месопотамии начало, а по Альмагесту: «луна и зашла [утром] в затмении». Подходит.
II член: Год минус 381-VI-18; 18ч. 0м. гринв. врем., с фазой 5"9. В Риме конец вечером; в Афинах и Мемфисе середина и конец вечером. А по Альмагесту: «пред восхождением летний ночи». Не подходит.
III член. Год минус 381-XII-12; 19ч. 59м. гринв. врем., с фазой 17"8. Все видимо вечером. А по Альмагесту: полное после 4 часов по полуночи. Не подходит совсем.»
Итак, второе и третье затмения из этой тройки Морозовым отвергнуты только потому, что они не соответствуют отнюдь не «Альмагесту», а лишь морозовскому толкованию оного. Данные Гинцеля великолепно согласуются с описаниями Птолемея – если последние не понимать превратно.
Теперь Морозов подводит итоги. Он говорит: «В этом Втором гнезде затмений нам предложена была триада, приписываемая Гиппарху, где датировка сделана, во-первых, по греческим месяцам: Посейдоний, Скирофорион и 1-е число Посейдония, и, во-вторых, по египетским месяцам: ночь 26/27 Тота, ночь 24/25 Паменота и ночь 16/17 Тота. Я здесь показал несоответствие этих дат и сбивчивость рассказа и прихожу к предположению, что тут объединены две триады похожих друг на друга затмений» – не подозревая, что на самом деле он показал лишь несоответствие своих домыслов тексту Птолемея и сбивчивость собственных методов.
Поскольку наш исследователь говорит о том, что, по его мнению, «тут объединены две триады похожих друг на друга затмений», то нам ясно, что удовлетворительного решения ему получить не удалось. Однако, как известно, отрицательный результат – тоже результат: из того, что, по мнению Морозова, здесь смешаны описания двух похожих триад затмений, вытекает важное для его хронологии следствие: «Мы видели сейчас, что, переведя эру Диоклетиана на нашу, мы получаем для последней триады 642 и 643 гг. Значит, автор этих строк Альмагеста, смешавший их с триадой 368–369 гг., жил не ранее как в VIII веке нашей эры. Значит, при переводе эры пророка (Набу)-Назорея на наш современный счет, нужно всегда учитывать, что ее иногда смешивали с эрой Диоклетиана, и потому брать во внимание или годы, близкие к указанным в ней, или прибавлять к ним время Диоклетиана». Так что с эрой Набонассара вопрос, по Морозову, совсем не прост – это вроде бы то же самое, что и наша эра «от рождества Христова» (только непонятно, то ли от традиционного, то ли от вычисленного Морозовым ранее «истинного» – на 3 с лишним века позже). А тут еще, оказывается, ее и с эрой Диоклетиана иногда смешивали…
После этого очередь доходит до третьей тройки лунных затмений «Альмагеста». Наш автор, видимо, сильно утомлен предыдущими астрономическими поисками и при ее исследовании довольно-таки краток. Начинает он с того, что сокращает пространные описания затмений в «Альмагесте» до двух-трех предложений и при этом умудряется в своем переводе полностью исказить смысл первого из них.
«III. Третье гнездо Псевдо-Гиппарховых лунных затмений, считаемых неправильно через два века после предшествовавших.
После предшествовавших трех лунных затмений, относяппгася к 366–367 гг. пророка (Набу)-Назорея, Гиппарх, по словам Птолемея, приводит еще три лунные, относящиеся к 547–548 гг. эры того же пророка Назорея, но переводит счет уже на «калиппические периоды», давая для первого затмения 54-й год второго периода, а для двух других – 55-й год. [Дело обстоит как раз наоборот – Гиппарх датирует эти затмения по Калипповым циклам, а Птолемей переводит их в даты по эре Набонассара. – Ю.К.]
Однако, если Гиппарх жил при трех последних затмениях, то три первые, отстающие от них почти на два века, могли быть ему переданы только по преданию. А в таком случае чем мы гарантированы от того, что не были ему таким же образом переданы и новые?
Вот Птолемеево сообщение о них:
Мы перейдем теперь, – говорит Птолемей, – к трем позднейшим затмениям, которые, по словам Гиппарха, наблюдались в Александрии.
Первое из них случилось в 54 г. второго «калиппического периода», по египетскому исчислению 16 Месори. Затмение началось за полчаса до восхода Луны и стало полным в середине третьего часа (после начала затмения?). От первого года эры пророка (Набу)-Назорея в то время прошло 546 лет, 345 дней и 7 или, точнее, 6 1/2 , астрономических часов.»
Сравним перевод Морозова с переводом Веселовского, приведенным выше. Из сопоставления этих отрывков сразу виден переводческий ляпсус Морозова – фразу «Луна начала затмеваться за полчаса до своего восхода и полностью очистилась в половине третьего часа» он истолковал как «Затмение началось за полчаса до восхода Луны и стало полным в середине третьего часа (после начала затмения?)». От этого смысл описания поменялся кардинально – у Птолемея речь идет о затмении, которое началось за полчаса до восхода Луны и продолжалось три часа – без указания его фазы, а Морозов понимает это как описание полного затмения.
Птолемей явно указывает время максимума затмения – «через 7 равноденственных часов после полудня», т.е. в 19 часов.
«Второе затмение, – как говорит Гиппарх, – произошло в 55 г. того же „периода”, по египетскому исчислению – 9 Мехира. Оно началось по истечении 5 1/2 ч. ночи и было полным».
Третье затмение, – по словам Гиппарха, – произошло в том же 55 г. второго «калиппического периода», по египетскому исчислению – 5 Месори. Оно началось по истечении 6 2/3 ч. ночи и было полным. Средина затмения была приблизительно в 8 1/3 ч. (значит оно было зимой).
Морозов упорен в своем заблуждении – он по-прежнему считает, что Птолемей отсчитывает часы от полуночи. Ход его мыслей понятен – раз затмение было в 8:20 утра, то Солнце в это время еще не взошло, а такой поздний восход бывает только зимой. Но мы уже видели, что Птолемей дает время от захода Солнца (если явно не указано иное), поэтому морозовское «значит» здесь не значит ровно ничего. Чтобы лишний раз убедиться в этом, опять сравним морозовскую трактовку с переводом Веселовского. Легко видеть, что Морозов вовремя оборвал цитату – буквально в следующих же словах у Птолемея поясняется: «около 8 1/3 часов, т.е. через 2 1/3 часа местного времени после полуночи». Из текста видно, что середина затмения была в 2:15 по александрийскому времени.
Вернемся снова к морозовскому «значит, затмение было зимой» после изучения цитаты Птолемея. Морозов в очередной раз ярко продемонстрировал дилетантизм и верхоглядство. Текст Птолемея буквально нашпигован указаниями на время затмения. Это и примерное равенство «обычных» и «равноденственных» часов – следовательно, дело происходило вблизи равноденствия. Это и явное указание положения Солнца – «Солнце находилось в середине Девы», т.е. не дошло примерно 15 градусов до точки осеннего равноденствия, стало быть, затмение произошло за пару недель до него. Все это должно быть совершенно ясно любому знающему основы астрономии. Но Морозов, выхватив из всего описания только слова о том, что время затмения – это 8 1/3 часа – и неверно их толкуя – безапелляционно заявляет: «оно было зимой».
Теперь, по обыкновению, изрядно напутав в переводах и толкованиях «Альмагеста», Морозов начинает сравнивать свои представления о нем с Гинцелем:
«Это первое затмение исследуемой триады Гинцель относит к 12 сентября −199 г. со срединой в 16ч. 37м. гринвичского вечера и говорит, что конец его был виден в Риме, а в Мемфисе были видны средина и конец. Но при этом затмении помрачились только 1/3 лунного диаметра, а не весь диск Луны, как сказано у Птолемея». Мы видели, что у Птолемея вовсе нет утверждения о том, что затмение было полным, а приводимое Гинцелем время 16:37 гринвичского времени или 18:37 александрийского – менее чем на полчаса отличается от указанного у Птолемея, т.е. 19 часов.
Кроме того, если дело было в 547 г. от пророка (Набу)-Назорея, то от предшествующего затмения, отмеченного 367 годом того же пророка Назорея, до него прошло 180 лет, а по Гинцелю, вычислившему это затмение на −381 г. (12 декабря), до этого затмения, определенного им же на 12 сентября −199 г., прошло 182 года, на два года больше.
Исследователи «Альмагеста» давно изучили его хронологию и используемый в нем календарь, и датировка Птолемея однозначно переводится в даты юлианского календаря. Для всех 19 затмений «Альмагеста» совпадение дат – полное, так что расхождение даже на сутки и тем более на два года – это ошибка не Птолемея, а его незадачливого исследователя. Так и есть: Морозов уверяет читателя, что «это первое затмение исследуемой триады Гинцель относит к 12 сентября −199 г.», а ниже – мы это сейчас увидим – говорит, что Гинцель дал для третьего затмения ту же самую дату. На самом деле первое затмение было 22 сентября −200 года. (Я уверен, что в дате ошибся именно Морозов: Гинцель – очень серьезный астроном, он никогда не допустил бы такого вопиющего ляпа.) Так что один из двух лишних морозовских годов объясняется просто – наш энциклопедист посмотрел не на ту строчку в книге Гинцеля, не заметив, что в итоге у него получилось, что первое и третье затмение произошли в один и тот же день и позже второго. Расхождение еще на год объясняется, очевидно, тем, что Морозов не учел, что в египетском календаре дата начала года не совпадает с началом года юлианского. Увы – Морозову, оказывается, нельзя верить не только в его собственных изысканиях, но и тогда, когда он цитирует других; он легко может исказить их до неузнаваемости.
«Следующее затмение этой триады Гинцель относит к 19 марта −199 г. в 0 ч. 22 м. гринвичского времени, с фазой 19"2». Хорошее совпадение с описанием Птолемея – затмение полное, а время его максимума по Гинцелю – 2:22 александрийского времени, что всего на час отличается от 1:20 в «Альмагесте».
«А третье полное затмение к 12 сентября −199 года в 0 ч. 21 м. гринвичского времени, с фазой 19"2». Итак, затмение – полное, время по Гинцелю – 2:21 александрийского времени, а у Птолемея – 2:15. Лучшего совпадения и не пожелаешь…
Отметим, что Морозов опять посмотрел куда-то не туда в книге Гинцеля – для двух последних затмений он дает одну и ту же фазу 19"2, хотя фаза у этих двух затмений существенно различная – см. таблицу в начале данного раздела.
Итак, можно видеть, что согласие описаний Птолемея с расчетами Гинцеля вполне удовлетворительное. Однако Морозов, достаточно исказив одни и вторые, естественно, держится иного мнения:
«Это решение Гинцеля приблизительно подходит к исследуемой триаде Альмагеста, кроме первого неполного затмения, названного в нем полным. Однако это уже натяжка. Поэтому посмотрим, что выйдет с нашей точки зрения. Считая рождение основателя христианской религии Василия Великого (Набу-Назорея), как и во 2-й триаде около 330 г. и прибавив сюда указываемые Птолемеем 547 лет, мы подходим к 878 г. нашей эры, в котором и находим все три полные затмения, разнящиеся от указываемых Птолемеем лишь на несколько часов.»
«Лишь на несколько часов» – это хорошо сказано. Вспомним, что при внимательном прочтении Птолемея максимальная разница по времени с данными Гинцеля – это один час…
Впрочем, найденное решение Морозова не удовлетворяет:
«Однако таких триад можно найти сколько угодно и потому я здесь считаю вопрос неразрешимым одним астрономическим способом. Попробуем и другой способ.»
«Другой способ» состоит в следующих малопонятных (по крайней мере, мне) рассуждениях:
«Прежде всего, что значит: калиппический период? Это период лунных затмений, повторяющихся через 76 лет без месяца. Значит имеем тему:
I затмение в 130 году от основания калиппических периодов и оно же в 547 году эры пророка Назорея, 16 Месори (9 августа) вечером, при восходе Луны.
II затмение в 131 году от основания калиппических периодов, т.е. в 548 году эры Назорея, полное, 9 Мехира (3–5 Февраля), по истечении 5 1/2 часов ночи.
III затмение тоже в 131 году от основания калиппических периодов, т.е. в 548 году эры Назорея, полное, 5 Месори (29 ноября), по истечении 6 2/3 часов ночи.
Значит, надо разыскать подряд три полные лунные затмения: первое-вечернее тотчас после заката Солнца, а второе и третье – ночные; третье – около часа после второго.»
«Другой способ», однако, не увенчивается успехом:
«Пересматривая в Канонах затмений Гинцеля и Оппольцера такие триады, мы не находим точной ни одной от минус 300 до плюс 1600 года и только одну приблизительную в случае какого-то не солнечного года.»
Но Морозов не обескуражен – это лишний повод для вольничаний с эрами и хронологией:
«С этой точки зрения началом калиппических периодов пришлось бы считать 220 год нашей эры, а начало эры Набу-Назорея отнести к минус 197 году». Это уже четвертый вариант для начала эры Набонассара. Положительно удобная штука – это морозовское учение: всегда есть масса возможностей на выбор.
Расправившись с тремя тройками затмений «Альмагеста», наш исследователь приступает к рассмотрению последней группы из четырех затмений, которые наблюдались самим Птолемеем (125–136 гг. н.э.):
«Четвертое гнездо лунных затмений. Четыре затмения Альмагеста при «Адриане».
Вот как описывает их автор Альмагеста:
Затмение, наблюденное в Александрии в 9-м году Адриана, по египетскому счету в ночь с 17 на 18 Пахони в 3 3/5 астрономических часов до полуночи, при котором луна с юга была покрыта на 1/6, часть своего поперечника.
Из трех затмений, заботливо наблюденных нами в Александрии, первое было в 17-м году «Адриана», по египетскому счету в ночь с 20 на 21 Паини. Мы точно вычислили, что это было на 3/4 астрономического часа до полуночи. Затмение было полное.
Второе затмение было в 18-м году «Адриана» по египетскому счету в ночь со 2 на 3 Хояка. Его средину мы вычислили (а не наблюдали!) за час до полуночи. Затмились 2/3 поперечника.
Третье затмение было в 20-м году «Адриана», по египетскому счету в ночь с 19 на 20 Фармути. Его средину мы вычислили на 4 астрономические часа после полуночи. Затмилось 1/2 поперечника на северной стороне.»
Поскольку тут Птолемей во всех случаях дает время от полуночи – и явно об этом говорит, – то Морозов как-то умудряется не истолковать его слова неправильно. Поэтому на этот раз его представления полностью совпадают с данными Гинцеля. Составляется таблица, из которой явствует, что времена затмений по Гинцелю отличаются от птолемеевых максимум на 35 минут, а фазы всех затмений очень близко совпадают: разница между фазой затмения у Гинцеля и по Птолемею не более одного балла.
Заметим, что слово «вычислили», которое дало повод Морозову и его продолжателям утверждать, что все эти затмения – результат позднейших вычислений, скорее всего значит лишь то, что для повышения точности Птолемей вычислял время середины затмения как среднее время между началом затмения и его окончанием – непосредственно определить момент максимальной фазы затмения при визуальных наблюдениях с достаточной точностью невозможно…
Морозов вынужден признать, «…что все подробности здесь оправдались. Второе затмение было в обоих случаях через 8 лет после первого. Третье затмение через год после второго, по современному счету – с 1 января, а по византийскому началу года – с 1 сентября через два года. Четвертое затмение в обоих случаях было в следующем году после третьего. При таких обстоятельствах (особенно при совпадении часов и фаз) почти нельзя сомневаться, что речь здесь идет именно о затмениях 125, 133, 134 и 136 гг. нашей эры». Однако «почти» – это все-таки не «совсем». И Морозов тут же с ходу отвергает возможность того, что Птолемей действительно сам наблюдал эти затмения:
«Однако, как же это могло быть при императоре Адриане, когда по нашим определениям слово Адриан (т.е. Адриатический) было прозвище императора Гонория, вступившего на престол в 395 году?»
Морозов, очевидно, полностью и прежде всего доверяет самому себе: раз он показал ранее, что никакого Адриана во II веке не было, то никакого Птолемея, жившего одновременно с Адрианом, тем более не было и быть не могло. Несокрушимая логика. Теперь Морозову все становится окончательно ясно, и выносится окончательный приговор:
«Значит, все эти затмения не наблюдались никаким Птолемеем, а были вычислены (как и сам он проговорился) человеком достаточно знакомым с теорией лунного движения: ошибки он сделал очень незначительные. Такая точность не могла быть достигнута ранее XV века, а потому и книга эта была написана кем-то из выдающихся астрономов незадолго до того, как она была отпечатана.»
Вот морозовское резюме. Я не буду его особо комментировать – все существенное было сказано мной ранее: «За принадлежность первой триады к периоду 405–406 гг. можно поручиться. Вторая триада, по-видимому, состоит из объединения двух: 368–369 гг. и 642–643 гг. (или 697–698 гг.). Третья – из объединения 350–351 гг. и 878–879 гг. А Адрианова триада вычислена для 125–136 гг. очень поздним автором».
Напоследок еще остаются кое-какие мелочи: «О позднем времени Альмагеста свидетельствует и употребленный здесь астрономический счет от полуночи и измерение величины затмений теми же дактилями, как и в наше время, считая диаметр Луны в 12 дактилей». Относительно счета времени от полуночи Морозов заблуждается – Птолемей, действительно, употребляет отсчет времени от полуночи, но в исходных сообщениях о затмениях время, как правило, отсчитывается от начала ночи. Второй же аргумент против древности «Альмагеста» просто потрясает своей нетривиальной логикой. Удивительно, что Морозов и его последователи не используют нечто подобное при доказательстве, например, того, что не было никакого древнего Вавилона: ведь если бы вавилоняне существовали, то как они могли бы пользоваться для измерения углов нашими современными градусами?
Видимо, предвидя вопрос – а как же можно было вычислять с такой точностью затмения в средние века? – Морозов дает некие пояснения на этот счет:
«Мы здесь не будем вдаваться в календарные тонкости, и на вопрос, как мог вычислить автор XV века с такой точностью лунные затмения при псевдо-Адриане, мы можем ответить, что имея в руках записи затмений, начиная с 402 г., он мог воспользоваться как материалом для своих вычислений даже и 521-годичным циклом, взяв четыре затмения в роде:
I. Затмение 646-IV-5; 2"8; 22ч. 56м. гринв. врем. (а в Альмагесте за 3 3/4 часа до александр. полуночи).
II. Затмение 654-V-7; 16"2; 7ч. 44м. гринв. врем. (а в Альмагесте за 3/4 часа до александр. полуночи).
III. Затмение 655-Х-21; 9"4; 0ч. 35м. гринв. врем. (а в Альмагесте за 1 час до александр. полуночи).
IV. Затмение 657-III-5; 7"2; 22ч. 40м. гринв. врем., за 4 часа до александр. полуночи.»
Морозов далее утверждает: «Мы видим, что и здесь лунные затмения приходятся почти на те же числа тех же месяцев, как в Альмагесте; даже фазы почти те же. Да и вообще лунные затмения было возможно вычислять уже в XV в. нашей эры». Он не акцентирует внимание своих читателей на том, что приведенными выше данными сам и опроверг свои слова о возможности вычисления затмений «по циклам»: видно, что времена и фазы перечисленных им затмений отличаются от птолемеевых затмений гораздо больше, чем данные Птолемея и расчеты Гинцеля. При расчетах по циклам (т.е. исходя из предположения, что затмения в точности повторяются через некий интервал времени) нельзя получить такую точность в фазах и во временах затмений, которая обнаруживается при исследовании этих четырех затмений «Альмагеста».
В завершение наш ученый начинает поучать Птолемея, что и как ему надо было наблюдать:
«Я обращаю особенное внимание читателя еще раз на одну интересную особенность Альмагеста.
Почему автор, описав столько лунных затмений (и притом большею частью неверно) в отдаленные времена, присоединив к ним также и несколько покрытий звезд Луною, не описал ни одного солнечного затмения, хотя такие затмения несравненно эффектнее?»
Если бы Морозов внимательно прочитал «Альмагест», он получил бы ответ на свой вопрос, как говорится, из первых рук. В разделе «На каких наблюдениях следует строить теорию Луны» Птолемей подробно объясняет, почему он выбирает для построения теории лунного движения именно лунные затмения: «прежде всего мы полагаем, что в качестве исходных должно пользоваться не просто случайными наблюдениями, но для полного представления брать главным образом те доказательства, которые можно получить не только из наблюдений в течение достаточно большого промежутка времени, но в особенности из наблюдений лунных затмений. Действительно, только из этих наблюдений точно определяются положения Луны; в других же наблюдениях, получаемых или по прохождениям Луны по отношению к неподвижным звездам, или посредством инструментов, или по солнечным затмениям, можно очень сильно ошибиться вследствие параллактических смещений Луны». Пишет он и о том, почему для его целей (определения точного положения Луны для построения теории ее движения) непригодны затмения солнечные: «…при солнечных затмениях, получающихся при прохождении Луны под Солнцем, когда Луна загораживает его, попадая в конус, идущий от нашего глаза к Солнцу, и производя при прохождении затемнения, последние ни по величине, ни по длительности не бывают везде одними и теми же, и даже подобными, поскольку Луна по упомянутым причинам не для всех наблюдателей одинаково заслоняет Солнце; и [даже для тех, для кого это имеет место] затеняемые места Солнца бывают разными. Что же касается лунных затмений, то никакой разницы [в затемнениях] вследствие параллактических смещений не получается, так как наблюдаемое затемнение [Луны] никак не зависит от положения наблюдателя [на поверхности Земли]… Поэтому мы говорим, что не следует пользоваться другими наблюдениями, в которых положения Луны зависят от местонахождения наблюдателя. Нужно пользоваться только наблюдениями ее затмений, так как в них для определения положения Луны место наблюдения не имеет никакого значения».
Но Морозов, напирая на «эффектность» и не имея понятия ни о научной целесообразности (во всяком случае, научной целесообразности с точки зрения Птолемея), ни о задачах, стоявших перед Птолемеем (не фиксировать все наблюденное, а построить астрономическую теорию), продолжает:
«А если б он действительно сам наблюдал лунные затмения 125, 133, 134 и 136 гг., то почему же он не описал и промежуточных лунных, в том числе почти полное мартовское 127 г., июльское 129 г., полное вечернее июльское 130 г., полное майское 133 г., полное апрельское 134 г. и так далее, которые все превосходно были видны на нашем полушарии Земли? А если мне ответят: «такова была его воля», то тут встает перед нами другой несравненно более серьезный вопрос.
Ведь в это самое время через Александрию проходило, как раз особенно много чрезвычайно эффектных затмений – солнечных. Как он не отметил среди них кольцеобразного затмения Солнца 21 апреля 125 г., центральная линия которого как раз и проходила через Каир и Суэцкий канал, причем в Александрии Солнце около 10 часов утра местного времени представлялось тоненькой кольцеобразной ниточкой, слегка порванной внизу? А между тем мы видим, что в «его книге» подробно описано лунное затмение, бывшее за две недели перед этим, 5 апреля 125 года.
Одного этого обстоятельства, не говоря уже об отсутствии упоминания и об очень эффектных для Александрии частных солнечных затмениях 2 июля 121 г. и 3 сентября 118 г., достаточно для того, чтобы сказать с уверенностью, что не наблюдавший и не отметивший такого солнечного затмения человек не наблюдал и предшествовавшего ему лунного, иначе он отметил бы солнечное в первую очередь."
Насчет существа вопросов Морозова к Птолемею, полагаю, все достаточно ясно. Однако следует отметить чисто астрономический его ляп. Солнечное затмение 125 года было не кольцеобразным, а полным, а в Александрии его фаза была всего 8"7, при этом Луна закрыла всего 65% площади диска Солнца. Никакой «тоненькой порванной ниточки» при нем наблюдаться не могло.
Итак, мы внимательно проследили за ходом морозовского «анализа» лунных затмений в «Альмагесте». Перед нами предстал во всей красе его исследовательский багаж – ошибки, описки, некорректные переводы первоисточника и неверные его толкования, произвольный отбор одних положений и полное игнорирование других, богатый набор домыслов и фантазий – и практически полное отсутствие хоть какой-нибудь научной ценности. Поэтому ссылки на морозовские исследования древних затмений не могут считаться хоть сколько-нибудь убедительными.
2.3. Затмения «Альмагеста» в «новой хронологии»
Затмения «Альмагеста» использовались и группой Фоменко в попытках астрономически обосновать «новую хронологию». Чтобы понять, как выполнялось такое «обоснование», обратимся к первоисточнику и приведем довольно длинную цитату из реферата Фоменко «Критика традиционной хронологии античности и средневековья».
«В «Альмагесте» упомянуто 21 лунное затмение. Эти затмения, как сказано в «Альмагесте», наблюдались различными астрономами в течение приблизительно 850 лет – от 26 до 881 года Набонассара. При описании того или иного затмения Птолемей приводит следующие его характеристики.
1. Год затмения по той или иной эре в том виде, в каком он дан в источнике, который цитирует Птолемей. Как правило, этот год затем пересчитывается Птолемеем на эру Набонассара. В остальных случаях он без труда может быть пересчитан на эру Набонассара с помощью тех соотношений между эрами, которые даны в «Альмагесте».
2. Фазу затмения согласно источнику, который цитируется Птолемеем. Напомним, что теория Луны, содержащаяся в «Альмагесте», не позволяет рассчитать фазу лунного затмения, поэтому Птолемей в данном случае вынужден просто цитировать источник без каких-либо комментариев. Теория Луны, позволяющая вычислять фазы лунных затмений в прошлом, появилась лишь в XIX веке.
3. Дату затмения и момент середины затмения. Это результаты расчетов самого Птолемея, поэтому никакого интереса для независимой датировки эти данные не представляют. Подобные расчеты мы все равно проводим заново на основе точной современной теории.
4. Место затмения. Ввиду того, что лунное затмение видно сразу с половины земного шара, указание места, где было наблюдено затмение, существенного значения для нас не имеет.
Итак, для датировки могут быть полезны лишь данные 1–2, которые Птолемей извлекал непосредственно из источников. Это год затмения относительно некоторой эры, начало которой мы будем считать неизвестным (оно определится по датировке), и фаз затмения.
Все остальные сведения, приводимые Птолемеем, либо являются результатом его собственных вычислений (о чем он сам пишет), либо допускают неоднозначную трактовку. Например, упоминание о том, что северная или южная часть диска Луны покрыта земной тенью, не может трактоваться однозначно, Дело в том, что многие средневековые карты «перевернуты», т.е. север – внизу, а юг – вверху. Еще более многозначны гипотезы о том, в каком географическом районе наблюдалось затмение. О трудностях географических локализаций мы уже говорили. Поэтому мы не можем опираться при астрономической датировке на столь зыбкие данные.»
Прокомментируем утверждения академика. Во-первых, согласно Фоменко, до 19 века не существовало теории, которая позволяла бы рассчитывать фазу затмения. Во-вторых, утверждается, что даты и моменты максимумов затмений – это результаты расчетов Птолемея. Общепринятый взгляд таков, что наблюдения затмений нужны были Птолемею для уточнения своей теории движения Луны. Если согласиться с Фоменко в том, что все было наоборот и Птолемей не использовал древние наблюдения, а рассчитывал их характеристики по своей теории – становится непонятным, откуда он эту теорию получил. Эта теория неизвестного происхождения и содержания, видимо, была великолепной даже по сегодняшним понятиям, т.к. типовая ошибка между приводимым Птолемеем временем максимума затмений (в прошлом почти за 9 веков от его времени) и результатом современного расчета составляет полчаса и менее. (Дело, похоже, не обошлось без откровения свыше.) В-третьих, рассуждение о том, что «ввиду того что лунное затмение видно сразу с половины земного шара, указание места […] существенного значения для нас не имеет», живо напоминает известный анекдот из «Мастера и Маргариты»: «А я живу в другой половине города!». Наконец, декларативное игнорирование информации об ориентации земной тени на диске Луны – с севера или с юга – на том основании, что эти понятия якобы неоднозначны, – очень похоже на плохо прикрытое стремление упростить для себя подбор комбинации затмений за счет уменьшения условий, которым он должен удовлетворять. Действительно, карту можно нарисовать какую угодно – север там может быть сверху, снизу, сбоку, в середине карты или в ее правом нижнем углу. Но для гипотезы о том, что неоднозначно может определяться север на местности или о том, что в окрестностях Полярной звезды находится, может, вовсе не северный, а южный полюс мира, нужна незаурядная научная смелость.
Далее Фоменко конкретизирует постановку задачи:
«Поставим задачу астрономической независимой датировки лунных затмений «Альмагеста». Требуется на основе современной теории найти в прошлом такой набор из 18 лунных затмений, который обладал бы следующими свойствами.
1. Каждое затмение должно иметь фазу, указанную в «Альмагесте» (с точностью до 1 единицы). Фаза затмения достаточно точно определялась средневековыми астрономами «на глаз» и в дальнейшем не была подвержена каким-либо пересчетам, поэтому можно надеяться, что в «Альмагесте» фаза лунных затмений указана точно, т.е. с точностью до 1 единицы (поскольку в «Альмагесте» фаза всегда выражается целым числом единиц). […]
2. Временные расстояния между следующими друг за другом в хронологическом порядке затмениями должны соответствовать тем, которые указаны в «Альмагесте». Однако ввиду того, что затмения в различных источниках, использованных Птолемеем, даны по отношению к разным эрам, мы не можем требовать, чтобы точность этого соответствия 6ыла бы лучше, чем 2 года. Дело в том, что различные эры могли использовать неодинаковые начала года. Поэтому при переходе с одной эры на другую может возникнуть ошибка в один год, а при взятии разности в годах двух дат – в два года.
Мы использовали в наших компьютерных вычислениях современную теорию движения планет (см. [58], [59], [60]), а также сверили получаемые результаты с классическими астрономическими канонами (таблицами) Гинцеля и Оппольцера [62]– [64]. Канон Гинцеля содержит список лунных затмений от 900 года до н.э. вплоть до начала нашей эры, а канон Оппольцера – от начала нашей эры до 1600 года н.э.
Мы провели расчеты на компьютере для промежутка времени от 900 года до н.э. до 1600 года н.э. и получили такой результат.
Утверждение 2. Существует единственное астрономическое (математическое) решение поставленной задачи, с точностью до 3 лет удовлетворяющее временным расстояниям между следующими друг за другом затмениями «Альмагеста».»
Говоря о «единственном решении», академик несколько обманывает своих читателей, т.к. классическое решение удовлетворяет временным расстояниям из «Альмагеста» с точностью лучше трех часов и к тому же полностью отвечает указаниям о положении лунной тени, которыми Фоменко пренебрегает. Единственно надо сказать, что в классическом решении для слабых затмений с фазой менее 6 расчетная фаза немного расходится с указанной – но это говорит лишь о том, что академик был излишне оптимистичен, считая, что фазу затмения две тысячи лет назад могли весьма точно – до 1/12 – определять «на глазок». «Решение» Фоменко – прямое следствие из странного и некорректного подбора условий: академик по сути пренебрег всей информацией о затмениях, содержащейся в «Альмагесте», кроме примерной – с точностью до года-двух – датировки и данных о его максимальной фазе.
О полной неудовлетворительности «единственного решения» Фоменко впервые было сказано в статье А. Л. Пономарева «Когда Литва летает». Наиболее вопиющее несоответствие состоит в том, что примерно треть из предлагаемых Фоменко затмений было невозможно наблюдать в Европе, Африке и западной Азии. При традиционной же датировке затмений «Альмагеста» все затмения могли наблюдаться в тех местах, где, по сообщениям, были выполнены наблюдения, при очень близком совпадении времени и фазы затмения, указанными в «Альмагесте», с результатами расчетов.
К сказанному можно добавить то, что Фоменко также пытался также «передатировать» четыре сообщения о сближении планет со звездами из «Альмагеста». В результате совместного рассмотрения «передатированных» затмений и сближений планет Фоменко приходит к следующей датировке начала птолемеевской эры Набонассара:
«Согласно нашей датировке покрытий звезд планетами, начало знаменитой «античной» эры Набонассара в «Альмагесте» относится к 470–490 гг. н.э. (точные даты, получающиеся по различным покрытиям, с учетом вариантов, возникающих из-за упомянутого выше 11-летнего перекоса в хронологии «Альмагеста», таковы: 477, 481, 483, 486 годы н.э.).
С другой стороны, абсолютно независимая датировка лунных затмений дает для начала эры Набонассара приблизительно 465 год.
Академик уверяет нас: «Итак, мы видим, что согласование между результатами по покрытиям звезд и лунным затмениям – идеальное. Для начала эры Набонассара они дают интервал 460–490 г. н.э.».»
Итак, с одной стороны, при классической датировке упомянутых в «Альмагесте» астрономических явлений мы имеем очень точное соответствие описаний Птолемея и данных расчетов. Начало эры Набонассара известно абсолютно точно: 26 февраля −746 г. по юлианскому календарю, и как затмения, так и сближения привязаны к одной эре.
С другой стороны, при «датировке по Фоменко» возникают какие-то «перекосы», а в качестве начала эры Набонассара нам предлагается пять не совпадающих друг с другом вариантов: 465, 477, 481, 483, 486 годы н.э. Такое «соответствие» (на самом деле – рассогласование минимум на 12 лет), очевидно, правильнее назвать не «идеальным», а катастрофическим провалом попыток группы Фоменко найти новую датировку астрономических событий, описанных в «Альмагесте».
Вывод: астрономически теории Фоменко обоснованы из рук вон плохо, и те описания в «Альмагесте», которые он использовал для подтверждения своей правоты, на самом деле убедительно подтверждают в точности противоположное – справедливость традиционных датировок.
Видимо, это понимает и сам академик, т.к. он в своих статьях уже не настаивает на важности этих аргументов для своих теорий. Но в этом случае нуждается в объяснении столь хорошее согласование классических датировок и реальных астрономических событий, которое само по себе сильный довод в пользу справедливости традиционной хронологии «Альмагеста». По Фоменко, в «Альмагесте» приведены результаты позднейших расчетов, а не реальные наблюдения. Однако ответ этот совершенно неудовлетворителен: точность астрономических расчетных теорий 17-го века не позволяла провести расчет лунных затмений и сближений планет со звездами, происходивших около двух тысячелетий ранее, с точностью порядка получаса для затмений и двух суток – для сближений, т.к. в случае затмений такой точности не позволяет достичь расхождение между эфемеридным и солнечным временем, а для покрытий – неучет эволюции элементов орбит и планетных возмущений (эти явления в 17 веке были неизвестны).
Из всего сказанного выше однозначно следует, что обсуждавшиеся здесь астрономические наблюдения в «Альмагесте» – безусловно подлинные, происходившие в период с 7 века до н.э. по 2 век н.э., что дает достаточно сильную уверенность в правильности традиционной датировки самого «Альмагеста».
Литература
1. Климишин И. А. Календарь и хронология. Издание 2-е. М.: Наука, ГРФМЛ, 1985.
2. Меес Ж. Астрономические формулы для калькуляторов. М.: Мир, 1988.
3. Птолемей К. 2. «Альмагест», перевод И. Н. Веселовского. М.: Наука, Физматлит, 1998.
4. Морозов Н. А. Христос. Т.IV, «Во мгле минувшего при свете звезд». М.: КРАФТ+ЛЕАН, 1998, репринт ГИЗ, Москва-Ленинград, 1928.
5. Фоменко А. Т. Критика традиционной хронологии античности и средневековья (какой сейчас век?). М.: издательство механико-математического факультета МГУ, 1993.
* * *
Примечания
Фоменко А. Т. Методы статистического анализа нарративных текстов и приложения к хронологии. М., 1990. В 1996 г. вышло с свет 2-е издание этой книги под названием «Методы математического анализа исторических текстов. Приложения к хронологии», а в 1999 г. – 3-е, расширенное издание «Методы статистического анализа исторических текстов. Приложения к хронологии», Т.1–2. Основные особенности изложения математических методов во всех трех изданиях совпадают. В нашей статье мы опираемся на 1-е издание книги, поскольку именно на него дается большая часть математических отсылок в книгах по «Новой хронологии», но будем оговаривать некоторые исправления, внесенные в других изданиях.
Фоменко А. Т. Методы статистического анализа нарративных текстов и приложения к хронологии. М., 1990. Гл.3. В других книгах по «новой хронологии», даже математического характера, напр. Фоменко А. Т. Глобальная хронология. (Исследования по истории древнего мира и средних веков. Математические методы анализа источников. Глобальная хронология). М., 1993, описанию статистических процедур посвящено всего несколько страниц, без всяких формул и разъяснений.
Из 3-его издания (т.1, с. 376) становится ясно, что автор предлагает здесь простое 3-х точечное сглаживание, т.е. среднее арифметическое значений в самой точке и двух ее соседях. Однако, «сглаженные» функции объема хроник, которые он рисует, позволяют в этом усомниться – см. ниже.
Все вычисления нашей статьи проводятся с помощью стандартных функций программы Microsoft Excel 97.
Ср. Фоменко А. Т. Некоторые статистические закономерности распределения плотности информации в текстах со шкалой // Семиотика и информатика. М., 1980. Вып. 15. С. 107.
Фоменко А. Т. Методы статистического анализа нарративных текстов и приложения к хронологии. М., 1990. С. 110.
Приведенный пример еще раз показывает, что основные «неприятности» коэффициента Л(X, Y) возникают из-за того, что мера, предложенная автором, получена с помощью возведения евклидового расстояния ?(X, Y) между точками в некую «большую» степень. Между тем, это расстояние само по себе уже служит мерой близости точек, и для него выполняются свойства коммутативности и транзитивности («неравенство треугольника»), математически это означает, что ? (X, Y) является метрикой пространства Rn. Мера же Л(X, Y), как мы показали, не является метрикой, именно поэтому в ее интерпретации как статистического коэффициента заключены серьезные проблемы.
Указ. соч. С. 109.
Указ. соч. С. 108.
Автор работал лишь с определенным изданием книги: Тит Ливий, «Римская история от основания города». Т.1–6. М., 1897–1903. Пер. П. Адрианова, 2-е изд.
В. С. Сергеев. «Очерки по истории древнего Рима». Учебное пособие для исторических факультетов. Ч.1. М., 1938. ОГИЗ.
Указ. соч. С. 65.
Функцию объема Тита Ливия Фоменко приводит уже во втором издании, но без необходимых пояснений, которые бы давали возможность ее проверить.
Фоменко А. Т. «Методы статистического анализа исторических текстов. Приложения к хронологии». М., 1999. Т.2. С. 820–827.
В соответствии с вводимым в 3-ем издании критерием на второй половине графика их значения превышают 60.
M = M − 9; Y = Y + 1;
