Июнь
Максим Исповедник, св. Вопросоответы к Фалассию: [Предисловие к схолиям, 1–6] / Пер., предисл. С.Л. Епифановича // Богословский вестник 1916. Т. 2. № 6. С. 49–64 (1-я пагин.) (Продолжение)
–49–
Понимая так, как сказано, дело958, я счёл нужным <265> дать некую другую помощь настоящему слову (λόγῳ) этого <[14]> сочинения – ряд помещённых на полях схолий, чтобы (это пособие) восполнило самое слово (λόγον)959 до (должной красоты) и представило читателям более приятным угощение из умозрений960 и вообще было обеспечением заключающегося в сочинении смысла. Ибо прочитавши после издания всё произведение и нашедши, что некоторые места нуждаются в пояснении, иные – в добавлении и раскрытии смысла, а другие – в кое-каком незначительном добавочном к тексту (κειμένῳ) издания обосновании (ἐπενϑυμήσεως)961, я написал этот ряд схолий, приспособивши к каждому месту подобающее пояснение (ἐνϑύμημα). Посему прошу всех имеющих читать или даже переписывать (это сочинение) прочесть также и приложить и ряд стоящих вне схолий, сообразно с (имеющимся) при каждой знаком, чтобы всячески удобопонятнее было слово, отнюдь не будучи извращаемо какими-либо погрешностями.
–50–
Схолии962
1. Плоть, говорит он963, способна принимать964 в видимых нравах добродетельное расположение души, будучи сопряжена с самой душой, как орган для проявления.
2. Чувство называет он пересылающим уму представления (φαντασίαν) о видимом бытии для постижения находящихся в бытии идей (духовных основоначал), как орган перехода ума к бытию мысленному (τά νοητά).
3. Любви свойственно, говорит он, у живущих по ней обнаруживать одно расположение воли965.
4. (Говорит о том), что966 ум, прошедши сущность бытия (τῶν ὄντων), становится без-мысленным, погружаясь в Бога, сущего превыше всякой сущности, и ведения, и мышления.
5. О том, что слово Божие применительно к расположению душ производит в приемлющих его различие дарований.
6. О том, что демоны учиняют незримую брань с нами в мысли как бы из-за действительных предметов.
7. Говорит, что (ὅτι) ради удовольствия мы любим страсти и по причине страдания избегаем добродетели967.
8. О том, что как разум, господствуя над страстями, делает чувства орудием добродетели, так и страсти, господствуя над разумом, образуют чувства ко греху.
9. Разумеется, чувственного бытия (τῶν αἰσϑητῶν).
–51–
10. О том, что душа по освобождении от естественной привязанности к сущему, соединившись по причастию968 с Богом, приобретает неизменную твёрдость в добре.
11. Сущим (ὄντα) он называет сущности (οὐσίας)969 <268> сущего; кажущимся же бытием – (разные) по качеству и количеству (виды) течения и оттечения (вещества)970, около которых имеют бытие обманчивые построения (πλάσις) чувств, производящие грех.
12. О том, что человек, будучи срединой между Богом и веществом971, в силу того, что обратил стремление972 не к Богу, как Причине и Цели своего бытия, а к веществу, справедливо подпал неведению Бога, оземлянивши ум наклонением к веществу.
13. Сложным ведением он назвал чувственный опыт чувственного бытия, как доставляющий по естеству удовольствие при возникновении и страдание при уничтожении.
14. Видимая тварь, говорит он, заключает и духовные идеи для ума, и природную силу для чувства. Восприятия того и другого (ὧν τὰ νοήματα) находятся, подобно древу, посреди сердца, этого образно понимаемого рая.
15. Утрачивает всякое чувство удовольствия и страдания, когда, освободившись от телесной привязанности, соединится, (лучше же прилепится) умом к Богу (воистину Возлюбленному, Вожделенному и Привлекательному)973.
Из Фотия974
Дать разрешение этих недоумений и берёт на себя труд сей божественный муж и доблестный исповедник. В изложении он
–52–
очень привязан975 к периодам и пристрастен к перестановке слов, обилен прикровенными выражениями и не старателен в точном употреблении слов, отчего в сочинении его встречается кое-что неясное и неудобовразумительное. Что же касается до сочетания и перерыва (речи), то подвергая её нескладности тяжёлого <[15]> изложения, он даже и не старается быть приятным слуху. Метафорические выражения976 привносятся им не для красоты и изящества (речи), но вводятся как-то просто и беззаботно. А что почти отталкивает даже и привыкших к нему (читателей), так это то, что ответы придумываются им далеко от буквы и известной истории, или даже лучше и от самых затронутых вопросов. Впрочем, если кому приятно вращать ум в возвышенных умозрениях и созерцаниях, тот не найдёт более разнообразных и тщательных, чем эти. Ибо он собирает и сказанное до него на некоторые из трудных вопросов, а также присоединяет (многое) и от собственного трудолюбия, предлагая то нисколько не хуже, если не лучше в отношении изысканности и обдуманности. Повсюду же просиявает его благочестие, а также чистота и искренность любви (его) ко Христу.
Так как благоволил Бог внушить тебе (мысль) повелеть мне записать имевшиеся у меня заметки по затруднявшим меня вопросам и послать тебе, то и предпослал я то, что показалось мне наиболее необходимым977.
Вопрос I
Страсти сами ли по себе зло, или по злоупотреблению зло? Разумею удовольствие и печаль, пожелание и страх и следующие за ними страсти.
Ответ
Страсти эти, как и прочие, не были первоначально созданы с естеством человеческим; иначе бы они
–53–
входили в определение естества. Говорю же, научившись от великого Григория Нисского978, что они привзошли в силу отпадения от совершенства, приставши к неразумнейшей части естества979. Через них-то вместо божественного и блаженного образа980 тотчас вместе с преступлением явно и открыто выступило в человеке подобие неразумных животных. Ибо надлежало, чтобы, с помрачением достоинства разума, естество человеческое праведно получало наказание от тех самых признаков неразумия981, какие привлекло к себе произвольно (γνω-
–54–
μκῶς). (Так) премудро устроил Бог, чтобы человек пришёл в сознание своего разумного превосходства (τῆς λογκῆς μεγαλονοίας)982.
Впрочем, для усердных в добродетели (ἐν τοῖς σπουδαίοις)983. И страсти становятся хорошими, когда те, мудро отвлекши их от телесного, направляют на приобретение небесного984; например, [1] пожелание (ἐπιϑυμίαν) делают стремительным движением духовного (νοερᾶς) влечения к божественному, удовольствие – невинной радостью живого наслаждения (ϑελκτικῆς985 ἐνεργείας) ума божественными дарованиями, <[16]> страх – предохранительным попечением против будущего наказания за грехи, печаль – исправительным покаянием в настоящем зле. Короче сказать, подобно мудрым врачам, которые телом ядовитого зверька ехидны уничтожают настоящее или угрожающее986 заражение, (усердные в добродетели) пользуются этими страстями для уничтожения настоящего или ожидаемого зла и приобретения и сохра-
–55–
нения добродетели и ведения987. Итак, эти страсти, как я сказал, становятся по употреблению хорошими для тех, кто всякую мысль «пленяет в послушание Христово»988.
Если же название какой-либо из этих страстей (τι τούτων) употребляется в Писании также и о Боге или о святых, то [2] о Боге ради нас и потому, что Промысл, применяясь к нам, являет (свои) спасительные и благодетельные для нас пути (προόϑους)989 под видом наших страстей; [3] о святых же потому, что они иначе и не могут выразить телесным языком (φωνῆς) свои духовные (νοεράε) отношения и расположения к Богу, как через известные естеству страсти990.
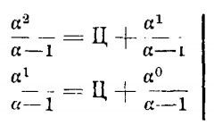
Схолии
1. Когда и как страсти эти становятся хорошими?
2. О том, что Писание образно представляет различные способы промышления о нас под видом известных нам страстей.
3. О том, что этими именами обозначает Писание такое или иное (ποιὰν) отношение святых к Богу.
Вопрос II
Если есть виды (бытия), наполняющие мир, Творец создал в шесть дней, то – что же после этого «Отец делает»? Ибо сказал Господь: «Отец <272> Мой доселе делает и Аз делаю»991 Разве, впрочем, это говорит Он о сохранении однажды происшедших видов?
–56–
Ответ
Бог, однажды992 осуществивши (συμπληρώσας), как знает Сам, первые основоначала (λόγους)993 [всего] происшедшего (τῶν γεγενότων) и общие сущности (τὰς καϑ’ ὅλου οὐσίας)994 сущего, доселе ещё делает, не только сохраняя, (συντήρησιν) их самих в бытии, но и [1] созидая, выводя (πρόοδον) и осуществляя в действительности (κατ’ ἐνέργειαν) заключённые в них в состоянии возможности (δυνάμει)995 отдельные существа (μέρη)996, и сверх того, силою промысла [2]
–57–
уподобляя отдельные существа (τῶν μερικῶν) общим видам (τὰ καϑ’ ὅλου)997, до тех пор пока, через движение отдельных существ (τῶν μερικῶν) к благобытию998, <[17]> не объединит их произвольное стремление с (присущим им) по естеству общим (γενικωτέρφ) основоначалом (λόγῳ) разумной сущности (и) не сделает их согласными друг с другом и с общим видом (τῷ ὅλῳ)999, так чтобы отдельные существа не
–58–
имели произвольного (γνωμικὴν)1000 различия по отношению к общему виду (τὰ καϑ’ ὅλου)1001, но чтобы
–59–
единое и тожественное начало (λόγος) созерцалось у всех, не будучи разлепляемо характером тех, о ком оно [3] равно сказуется1002, и пока таким образом не покажет Он действенной обожающую всех (ὅλων) благодать. Ради этой благодати ставши человеком, Бог и Слово говорит: Отец Мой доселе, делает, и Аз делаю1003, Отец (ὁ μὲν) – благоволя, Сын – действуя, Дух Святой – существенно исполняя1004 во всех (ἐπὶ πᾶσιν) благоволение Отца и деятельность Сына, чтобы чрез всех и во всех явился Единый в Троице Бог, соответственно (восприимчивости) созерцаемый каждым из удостоившихся по благодати и всеми вместе, подобно тому как во всём теле и в каждом члене его без уменьшения пребывает по природе душа1005.
–60–
Схолии
1. В материи (ὕλῃ), т. е. общей сущности сущего1006 в состоянии возможности существуют происходящие по частям из материи отдельные существа (μερικά), происхождение которых, говорит он, очевидно, производит Бог.
2. Уподоблением отдельных существ общему виду называет он соединение всех людей в одном устремлении произволения к основоначалу (λόγον) естества, каковое соединение производит промыслительно Бог, так чтобы у всех стала одна воля (γνώμη), как и одна природа, после того как все будут Духом соединены с Богом и друг с другом.
3. «Равно» (ἴσως) вместо: «одинаково» (ὀμοίως).
Вопрос III
Кто это в Евангелии1007 несущий в город сосуд с водой, с которым встречаются посылаемые Христом ученики и за которым они имеют приказание следовать? И почему1008 у евангелистов умолчано его
–61–
имя? И что такое горница великая и устланная, в которой совершается страшная тайна божественной вечери?
Ответ <273>
Писание умолчало об имени человека, к которому Спаситель послал двух учеников для приготовления пасхи; но (оно умолчало) также и о городе, в который они были посланы. Отсюда, по первому созерцанию1009, предполагаю, что город здесь обозначает чувственный мир, человек же – всё естество человеческое, к которому посылаются, как ученики Бога и Слова и предуготовители Его <[18]> таинственной вечери с родом человеческим, закон первого завета и закон нового1010, – один, очищая деятельным любомудрием1011 естество от всякой скверны, другой – возводя умозрительно (γνωστικῶς) ум через таинственное созерцание (ϑεωρητικῆς μυστα-
–62–
γωγίας)1012 от телесных (вещей) к сродным созерцаниям мысленного бытия (τῶν νοητῶν)1013. И доказательством тому является то обстоятельство, что посланными учениками были Пётр и Иоанн. Ибо Пётр есть символ делания (πράξεως), а Иоанн – созерцания (ϑεωρίας).
Посему кстати первым выходит (к ним) навстречу носящий кувшин с водой, означая собой всех, кто по деятельному любомудрию на плечах добродетелей носит заключённую, как в сосуде, в умерщвлении телесных членов «яже на земли»1014, благодать Духа, очищающую их через веру от скверны. Затем, после него, вторым (встречается) домовладыка, показывающий устланную горницу, также обозначая собой всех тех, кто в созерцании устлал богоприлично духовными умозрениями и догматами вершины своей чистой и возвышенной мысли, как горницу, для принятия великого Слова. Дом же есть навык в благочестии. К нему (πρὸς ἥν) совершает путь деятельный ум, проходя добродетель; владыкой же его, как стяжавший его уже в своё достояние по естеству, является ум, просвещаемый божественным светом таинственного ведения, и потому удостаиваемый вместе с деятельным умом преестественного пришествия и вечери Спасителя Слова.
–63–
Итак, (в Евангелиях) указывается и один человек1015, и два, если только об одном написано, как о носящем кувшин, а другой назван домовладыкой1016. Указывается один, вероятно, как я сказал, по причине единства природы (человеческой), два же – потому, что эта природа разделяется на деятельных в благочестии и созерцательных, коих опять смешавши в Духе, Писание (снова) называет и делает одним человеком1017.
Если же кто пожелает рассмотреть сказанное и в отношении к отдельному человеку, то не отпадёт от истины. Ибо город есть душа каждого человека в отдельности. К ней постоянно посылаются, как ученики Слова и Бога, озарения (λόγοι) добродетели и ведения. Носящий же кувшин воды есть твёрдый нрав и помысл, содержащий в неприкосновенности на плечах воздержания дарованную в крещении благодать веры. Дом есть добродетельное состояние и навык, выстроенный, как из камней,<[19]> из многих и разнообразных твёрдых и <276> мужественных нравов и помыслов. Горница есть широкая и пространная мысль и способность (ἐπιτηδειότης) к ведению, украшенная божественными созерцаниями таинственных и неизреченных догматов. Домовладыка же есть ум, по блеску своего дома – добродетели, – и высоте, красоте, и величию (своего) ведения готовый к широкому приёму (ἐμαλατυνόμενος). Приходя к нему со Своими учениками, т. е. [1] пер-
–64–
выми и духовными умозрениями о природе и времени1018, Слово преподаёт (ему) Самого Себя. Ибо поистине является пасхой схождение Слова к уму человеческому, при каковом схождении Слово Божие, таинственно пришедши, подаёт всем достойным полноту причастия собственных благ1019.
Схолия
1. В них (οἷς) Он сокровенно проявляется. Ибо мы из сущего познаём Творца сущего. Сущим же в собственном смысле являются основоначала (оἱ λόγοι, идеи) всего происшедшего. Временем же и природой называет он то, чем обнимается всё, что под временем и природой, и под чем находится всё созданное – мысленное1020 и чувственное. Слово и Бог, приходя к достойным вместе с указанными умозрениями (μεϑ’ ὧν), – ибо Он познаётся из того, что около Него, – преподаёт (им) всего Себя, принимая соответствующий каждому образ. (Иметь) же духовные умозрения о времени и природе, это значит постигать основоначала их, ставши вне вещества и вида, т. е. плоти и мира, ради Того, Кто ради нас стал всем этим.
Вопрос IV
Как Господь заповедал ученикам не брать двух одежд (χιτῶνας)1021, а Сам имел пять, по св. еванге-
(Продолжение следует)
Аносов И.А. Акафист иже во Святых отцу нашему святителю Питириму, епископу Тамбовскому и Козловскому1022 // Богословский вестник 1916. Т. 2. № 6. С. 211–218 (2-я пагин.)
–211–
Кондак I
Избранный чудотворце и святителю Христов, всем притекающим к тебе скорый помощниче, воспеваем ти с любовью похвальная; ты же, яко имеяй дерзновение ко Господу, просвети омраченная сердца наша, да зовем ти: Радуйся святителю Питириме, тамбовския страны просвещение.
Икос I
Ангел церкви тамбовския воистину явился еси, святителю Питириме, тя бо избра Вседержитель камень во главу её быти; мы же, дивящеся таковому о тебе Божию промышлению, зовем ти:
Радуйся, Христа от юности возлюбивый.
Радуйся, все упование на Пречистую возложивый.
Радуйся, града Вязьмы украшение.
Радуйся, града Тамбова защито и ограждение.
Радуйся, храмов Божиих устроителю.
Радуйся, жития иноческого насадителю.
Радуйся, смирения и кротости учителю.
Радуйся, Богоматери народной любовию к тебе умиление.
Радуйся, святителю Питириме, тамбовския страны просвещение.
Кондак II
Видящи Всеблагая Богомати во уделе своем страну нашу всякими напастьми обуреваему, избра тя от рождения кормчим нам быти, да вси зовем к Богу: аллилуиа.
–212–
Икос II
Разум Предвечный предуведе тя ко спасению и во святем крещении дарова тебе наставника и учителя, преподобнаго Прокопия, ему же неуклонно следовал еси до конца.
Мы же, зряще образ жития твоего, со умилением глаголем:
Радуйся, цвете церкви российския.
Радуйся, крине, иже в дому Богоматери возрасте.
Радуйся мед от пустыни Предтечи.
Радуйся, источниче, от воды живой начало приемый.
Радуйся, от юности мудростию твоею иноки питавый.
Радуйся, образом юнаго жития твоего старцем поучение.
Радуйся, святителю Питириме, тамбовския страны просвещение.
Кондак III
Сила Вышняго осени тя, святителю Питириме, и не по мнозех летех постави тя во обители Предтечи право правити слово Господней истины, выну взывающа: аллилуиа.
Икос III
Имея тщание о спасении душ иноков святыя обители, в ней же избран был еси во игумена, святителю велий, яви собой пример совершенства христианскаго, сего ради вопием ти:
Радуйся, добродетелей вместилище.
Радуйся, нравов святое очистилище.
Радуйся, кладезю мудрости.
Радуйся, огнь словесный, нечестие сожигаяй.
Радуйся светильниче истины пресветлый.
Радуйся, свете, правый путь освещаяй.
Радуйся, блюстителю богопочтения.
Радуйся, благочестию наставление.
Радуйся, святителю Питириме, тамбовские страны просвещение.
Кондак IV
Бури недоумения не убоялся еси, святителю Питириме, егда икону, несмысленно начертанную, поклонения отъя, но злохулению подвергшися, вопия Богу: аллилуиа.
–213–
Икос IV
Слышащи подвиги твоя, святителю Питириме и видящи доброту жития твоего, усмотри блаженнейший Иоаким тя пастыря достойна пасти церковь Господа и Бога, юже стяжа Христос кровию своею честной, того ради вопием ти сицевая:
Радуйся, пастырю добрый стадо своё выну охраняяй.
Радуйся, почестей земных убегаяй.
Радуйся, на милость Всещедраго уповаяй.
Радуйся, всем, к тобе прибегающим, скорое заступление.
Радуйся, злых премудрыми словесы удобрение.
Радуйся, веры Христовой среди язычников насаждение.
Радуйся, святителю Питириме, тамбовския страны просвещение.
Кондак V
Боготечная звезда явился еси, святителю Питириме, соревнуя подвигом апостольским святителю рязанскому Мисаилу, и путь нам указуеши ко престолу Вседержителя, да ангелы слышим вопиющия: аллилуиа.
Икос V
Видя отец лжи в стране нашея правде укрепление, подвигну сердца жителей града Козлова противу епископа Леонтия и возгореся вражда; ты же кротостию и мудростию своею гордыню утиши и мы тебе выну взываем:
Радуйся, гордыни победителю.
Радуйся, фарисейства обличителю.
Радуйся, усердный Божий служителю.
Радуйся, кротостию язвы совести исцеляяй.
Радуйся, мечем осуждения омертвение духовное отсекаяй.
Радуйся, верных прибежище.
Радуйся, иноков наставниче.
Радуйся, мира и любви научение.
Радуйся, святителю Питириме, тамбовския страны просвещение.
Кондак VI
Проповедуют леса и пустыни тамбовския, яко воистину святитель явился еси и паству твой доныне научаеши пети Богу: аллилуиа.
–214–
Икос VI
Возсиял еси, яко светильник, на высоту вознесенный, святителю Питириме, всем Верным же и неверным, тии бо, к тебе прибегающе, ко Христу обращаются, сего ради хвалим тя сице:
Радуйся, узы лжи растерзаяй.
Радуйся, истину возношаяй.
Радуйся, при жизни многия ко Христу приведый, и по смерти к Тому таковые обращающий.
Радуйся, многотрудным житием своим пример нам являющий.
Радуйся, суеверия искоренение.
Радуйся, благочестныя жизни устроение.
Радуйся, святителю Питириме, тамбовския страны просвещение.
Кондак VII
Хотя веру православную во овцех своих утвердити, поревновал еси пастырю благий, и приношением службы Богу, и научением словесным, и поставлением святых икон; поставил бо на градских вратех иконы Пречистые Девы и знамение святаго Креста, да вси сия зряще вопиют Богу: аллилуиа.
Икос VII
Нового тя Ноа, строителя ковчега во спасение пастве своей, видяще и труды твоя, еже о разгнании злосмрадного мрака греховнаго и утишении бури страстей, поминающе, славим тя сице:
Радуйся, сияние скорбный мрак разгоняющее.
Радуйся, светило паству свою непрестанно просвещающее.
Радуйся, небесных рачителю.
Радуйся, земных в бедах утешителю.
Радуйся, кормчий, корабли своя ко спасению приведый.
Радуйся, православия ревнителю.
Радуйся, на земли небожителю.
Радуйся, грешников отчее вразумление.
Радуйся, святителю Питириме, тамбовския страны просвещение.
–215–
Кондак VIII
Странное чудо видим на тебе, святителю, егда болящу ти на одре смертнем лежащу, зрящи Пресвятая великую скорбь народную о тебе, умилися во иконе своей и слезы источаше, ты же здрав бываше, да вси умиленно вопием: аллилуиа.
Икос VIII
Весь еси всем воистину помощник, святителю Питириме, и никого же тща отпустил еси прибегающих к тебе, на похвалу всех подвизая воспевати тя сице:
Радуйся, исцелений источниче преизобильный.
Радуйся, пламень молитвы неугасающий.
Радуйся, росо благоплодная, души страждущих орошающая.
Радуйся, кадило пред Господем благовонное.
Радуйся, руками своими кладези ископавый, чрез них же нам подаеши исцеление.
Радуйся, тьмы и нечестия посрамление.
Радуйся, святителю Питириме, тамбовския страны просвещение.
Кондак IX
Всякими чудесы яви Господь благоволение своё к тебе, святителю Питириме, да видяще веруем и да, тобой в селения праведных приведеши, купно воспоем Богу: аллилуиа.
Икос IX
Ветии многовещаннии не возмогут изрещи довольно, коликую благодать получил еси, святителю Питириме, мы же в простоте душ и сердец наших с любовию зовем ти тако:
Радуйся, Духом святым осиянный.
Радуйся, фиал милосердия Божия.
Радуйся, добродетелей зерцало.
Радуйся, больным исцеление подаваяй.
Радуйся, скорбных и печальных утешаяй.
Радуйся, учителю божественных велений.
Радуйся, луче отгоняющий тьму сомнений.
Радуйся, немудрых твоими словесы умудрение.
Радуйся, святителю Питириме, тамбовские страны просвещение.
–216–
Кондак X
Спасти хотя души к ним прибегающих, святителие Митрофан и Тихон, сами велиции угодницы Божии сущи, ко гробу твоему недужные посылаху; такожде и преподобный Серафим Саровский чудотворец, да вси Богу едиными усты и единем сердцем воспеваем: аллилуиа.
Икос X
Стена еси всем, к тебе с верой прибегающим, сугубое заступление граду Тамбову являвши, к пастве своей любовь показуя, да вси вопиют ти:
Радуйся, от мятежа и брани соблюдаяй.
Радуйся, от напрасныя смерти избавляяй.
Радуйся, святость жития твоего чудесы показавый.
Радуйся, образ верным житием своим давый.
Радуйся, разслабленных укрепление.
Радуйся, слепых прозрение.
Радуйся, святителю Питириме, тамбовския страны просвещение.
Кондак XI
Пение Пресвятой Троице от младости приносящи, до конца дней твоих Единому в Троице славимому Богу подвигом добрым трудился еси, им же и нас наставляеши пети: аллилуиа.
Икос XI
Светоподателем послан быв земле нашей, яко источник просветления духовнаго в житии твоем, приснопамятне святителю, и во успении не лишаеши просветления взывающия к тебе:
Радуйся, заре евангельскаго света.
Радуйся, свете омраченныя души освещающая.
Радуйся, денница веры, в земле нашей возсиявшая.
Радуйся, лампадо Царицы небесныя.
Радуйся, светлостей Божиих проповедание.
Радуйся, святому евангелисту Луке во иконописании последовый.
Радуйся, ликов Заступницы усердной изображение.
Радуйся, святых древ Креста Господня насаждение.
Радуйся, святителю Питириме, тамбовския страны просвещение.
–217–
Кондак ΧII
Благодать Всесвятаго Духа, яже на тя излияся, ведуще, молимся ти, всехвальне святителю, молися ко Господу спастися душам верных, взывающих Богу: аллилуиа.
Икос XII
Поюще твоя чудеса, богомудре святителю, хвалим, поем и величаем Вседержителя, сподобляющаго нас возглашати тебе:
Радуйся, врачевство неистощимое.
Радуйся, душ наших от погибели избавление.
Радуйся, телес наших здравие.
Радуйся, от бед и напастей свобождение.
Радуйся, отче любвеобильный.
Радуйся, вожде спасения.
Радуйся, святителю Питириме, тамбовския страны просвещение.
Кондак XIII
О, пречудный и преславный, святителю Питириме, воззри на люди твоя, всякого бо ответа о гресех наших недоумеем, и умоли Создателя, да не внидет в суд с нами, но сподобит ны пети: аллилуиа, аллилуиа, аллилуиа.
Молитва Святителю Питириму
О, предивный чудотворче и великий угодниче Божий, святителю Питириме, не презри молений наших, но с высоты горния славы взирая на ны молящиятися, потщися на умоление Пречистой, да оградит святую Русь от всяких бед и напастей, да хранит православную веру нерушиму, да укрепит Императора нашего и да спасет люди своя взывающия: радуйся, Царице, Мати Бога Вышняго, Его же со Присносущим Отцем и Животворящим Духом пресвятое Имя да славится во веки. Аминь.
–218–
Два слова к акафисту
Исторические сведения о св. Питириме, дошедшие до нас, крайне скудны, и только очень немногое может быть установлено документально, большинство же фактов опирается исключительно на благочестивое предание. Конечно, это не обесценивает их, но вынуждает пользоваться ими возможно более осторожно.
Однако одним из несомненнейших исторических фактов является культурно-просветительная роль и деятельность Святителя Питирима в исторической жизни Тамбовского края. Он был не только проповедником и насадителем христианства среди язычников, но и вносил свет христианства во все стороны жизни своей паствы. Поэтому основная мысль всего акафиста, проводимая во всех икосах его per gradationem: Святитель Питирим – истинное просвещение Тамбовского края, и именно просвещение, а не просветитель, под которым обыкновенно разумеют лицо, исключительно лишь проповедующее язычникам и крестящее их.
Так как святые Божии прославляются Церковью Христовой во всей её целокупности, т. е. как воинствующей её частью на земле, так и торжествующей в небесах, то и число восхвалений во всех нечётных икосах, начиная с первого, равно 9, по числу чинов ангельских, а во всех чётных – 7, по числу вселенских соборов, установивших православие Восточной Церкви, представителем которой является прославляемый святитель.
Первый икос, как оставляющий наиболее сильное впечатление и дважды повторяющийся, должен, по моему мнению, содержать указания на основные черты характера деятельности святого и на важнейшие факты его земной жизни.
Самое расположение восхвалений должно быть таково, чтобы между предыдущим и последующим была известная логическая связь, а конечный припев являлся бы необходимым следствием всего предшествующего.
Первая половина акафиста (до 8 кондака включительно) изображает земную жизнь святителя, а вторая – исключительно посмертные проявления духовной мощи его.
Далёкий от мысли, что вполне выполнил поставленную себе задачу, я однако осмеливаюсь полагать, что моя попытка (вероятно, далеко не первая) вложить до известной степени новое идейное содержание в старые формы, сокровенный глубокий смысл которых давно уже утрачен не только для массы пасомых, но и для доброй половины пастырей, – представляет известный интерес не только с богословской точки зрения, но и церковно-богослужебной.
Разумеется, вполне возможно, что я и ошибаюсь.
Ив. Аносов
Хилков Д. A., кн. Письма князя Дмитрия Александровича Хилкова1023 к H. В. Ковалёву1024 / Сообщил M. А. Новосёлов // Богословский вестник. Т. 2. № 6. С. 219–236 (2-я пагин.). (Продолжение.)
I
6 Сентября 1909 г.
Дорогой Николай Васильевич, получил Ваше письмо несколько дней тому назад, да не отвечал, так как
–220–
сильно нездоровилось. Да и теперь еще не совсем поправился и не знаю, удовлетворит ли Вас мое письмо.
Мне кажется, что главная причина Вашего духовного «недомогания» в том, что Вы непременно требуете рационального объяснения и рациональной санкции явлениям жизни. Вы, как будто, раньше, чем «так ступить», прикидываете: хорошо ли это, или дурно. Разумно или неразумно.
Такое настроение очень «похвально» в теории, но для жизни непригодно.
Я думаю, что при таком настроении, строго и логически проведенном, никуда не придешь, кроме как к отрицанию жизни и самоубийству.
Как же быть? Неужели же жить «иррационально»? Нет, нужен принцип поведения. Но откуда его взять? Я думаю, что этот принцип должен вытекать из 1) природы человека, 2) велений разума. Или другими словами – из индивидуального мировоззрения человека.
Тут три фактора: 1) я, 2) мое место в мире, 3) мой взгляд на мир.
Объективно нет добра и зла, но субъективно есть и то и другое. И определяется это добро и зло не столько разумом, сколько природой данного лица.
Каждый человек носит в себе представление, чувство и инстинкт высшего, доступного ему, света и добра.
Это и есть его Бог, и другого, пока он на земле, он знать не может. Подобающее отношение к этому своему свету и есть религия человека – и другой нет на земле.
Теперь, разум часто склонен «отнять» религию у человека – представить этот «свой» свет суеверием и предрассудком. И горе человеку, если он останется без своих «суеверий и предрассудков».
Тогда ведь у него не будет и своего принципа поведения.
Кром того, «развиваться» человек может только в свойственной его личной природе обстановке.
И вот, почему – если Вам улыбается быть экономом, то это значит, что это положение Вам сродни. Но это не значит, что Вам нужно застрять в экономах, или что положение эконома нужно для всякого.
Нет такого «положения» на земле, которое было бы без-
–221–
упречно разумно, ибо и сама жизнь на суд у разума должна спасовать, и только защитима с точки зрения самой жизни, т.-е. не в роли подсудимой, а в роли господина и судьи. Я вспоминаю, что в Ваши лета все хотел быть гусаром – и был им. Но из этого не вытекало и не вытекло, что мне надо было оставаться гусаром всю жизнь.
Законы Духа вкраплены в законы физики, законы личной природы, и развиваться могут только в согласии с этими законами природы. Вне тела человек на земли не может духовно развиваться.
Если вам скучно – пишите мне. Пока до свиданья. Ванна мне теперь не нужна.
Крепко жму руку.
Д. X.
II.
22 Сентября 1909 г.
Дорогой Николай Васильевич, письмо Ваше получил и постараюсь ответить на Ваши вопросы, хотя в письме коротко ответить довольно-таки трудно, ибо вопросы Ваши обнимают всю жизнь, и ответить на них значит определить смысл жизни.
«Куда уходит дух человека при старости?»
Я думаю, что не дух слабеет, а разум или рассудок. Два полюса – детство и старость – характеризуются слабостью разума. «Если не будете как дети» и т. д. Еще говорят про стариков: «он впал в детство».
Апостол Иоанн в старости лепетал: «Любите друг друга», и больше ничего. Почему и для чего – он не говорил. Разумных оснований не представлял, а прямо высказывал, без доказательств, то, что чувствовал нужным.
Это манера «детская». Она не знаменует упадка духа, a знаменует упадок разума или схождение с того пути, который свойствен разуму: путь «доказательный». Объективное добро и объективное зло если и существуют, то людям не дано их знать (Бога никто не видел никогда). Определения добра и зла меняются, но путь достижения остается одним и тем же, и вот про путь можно сказать, что он один с сотворения мира, но на этом пути открываются все новые и новые представления о конкретном добре и
–222–
зле, и потому говорят, что они субъективны, ибо каждый человек стоит на своей точке и иначе видит добро и зло.
Всякий человек бессознательно тянется к тому, что ему свойственно. Обстановка очень важна, но это не значит, что человек не должен – и при неблагоприятной обстановке – «вести свою линию». Смотрите на неблагоприятную обстановку, как на экзамен, который надо выдержать. Старайтесь проникнуть сквозь толщу человеческой глупости и идиотизма –·до человека. Вооружитесь духовным (или психологическим) микроскопом, и рассмотрите в «букашке» – Божью тварь. И я думаю, что раньше, чем помогать людям, надо «самому утвердиться». Помните сказку Толстого «Крестник?» Психологически она безукоризненно верно изображает жизнь всякого человека.
Всякий человек, начавший жить человеческой жизнью, должен пережить ступени – задачи, пережитые Крестником. Но, конечно, ее всякий, в одну жизнь1025, переживает, все три ступени.
Иначе можно было бы еще сказать, но в письме трудно, ибо надо все «сжимать» до сухости «мудрых изречений», которые иногда выходят скучными и малоубедительными.
В начале октября думаю поехать в Петербург. Если будете дома, то зайдите около Покрова, – я думаю, еще застанете.
Всего хорошего.
Крепко жму руку.
Д. X.
III.
27 Ноября 1910 г.
Дорогой Николай Васильевич, получил оба Ваши письма и теперь, зная Ваш адрес, сажусь отвечать.
Из Вашего письма вижу, что пока все очень хорошо, и я этому очень рад.
Рад Вашей решимости быть хорошим солдатом. Это – уже половина успеха. Рад, что старые солдаты встретили Вас радушно. Это облегчит и скрасит первое – самое
–223–
трудное – время. А там привыкнете, а главное – увидите, что, действительно, военная «семья», военные товарищи – самые лучшие. Я не говорю и не хочу сказать, что казармы – рай, а солдаты – ангелы. Нет, я сравниваю казарму с земными учреждениями, и говорю – она лучше. А главное – полезнее для молодого человека.
И если что может еще спасти развращенную молодежь, то именно казарма. Мне больше всего претит в современном воспитании – разгильдяйство. И умен человек, и много знает, а поди же: ни себе, ни другим. Почему? Я думаю, что потому, что распустился. He владеет собой. А не владеет собой потому, что нет чувства долга, чувства обязанности, чувства ответственности. Наконец, чувства чего-то Высшего, которому надо служить. И вот, в военной среде воспитывают такие чувства, и, кто не окончательно погиб, тот может ожить.
В гимназиях учат про Спартанца и Лисицу1026. Но это ни к чему, т. к. никакой лисицы у гимназиста нет, и его не учат тому, какие ныне она приняла формы. Ну a в военной среде учат. Помните: «На Шипке все спокойно». Там «Лисицей» был мороз, снег, голод. А люди терпели.
Да, вот, и у Вас есть Лисица. Это – думы о семье. Да, ведь, не Вы один. У многих есть эта Лисица, гложущая сердце.
Ну, да. И если хотите стать «мужем» – терпите во имя высшего, т. е. высшего сравнительно с личными заботами и личным горем. Вспоминайте Кондратенку, Макарова и др. И у них ведь были семьи.
Я убежден, что с семьей Вашей все будет благополучно. Вы напишите жене, чтобы, в случае чего, написала мне. Что могу, сделаю. Я убежден, что ничего не понадобится, и пишу это больше для того, чтобы Вы не беспокоились.
Книжку по садоводству – цветоводству пришлю.
–224–
У нас здесь тает, и почти нет снега. В поле видна земля. Мое здоровье плохо. Все неможется. Это уже такая у меня привычка – осенью болеть. Но в этом году горе усилило болезнь.
На днях прочел хорошую книжку, свежую, бодрую и бодрящую. Перевод с английского. «Белое безмолвие» – Джека Лондона (80 к.) He знаю, читали ли Вы его же «Историю одной собаки». И после Андреева и др. это похоже на то, как из богадельни (для убогих и сирых и нытиков) и больницы попал – ну, хоть бы, в Джунгли. В лес свежий, ароматный или... на Шипку! На Шипке тоже умирали, только не от болезни, а от здоровья. He от слабости – а от силы. He пели унылые песни, а пели песнь победную! Ну, будет. Всего хорошего.
Жму руку.
Д. Х.
IV.
1 Января 1911 г.
Дорогой Николай Васильевич, получил Ваше письмо. Поздравляю с Η. Г. и желаю всего лучшего. Это 3-е письмо, которое пишу Вам. Думаю, что второе не дошло, т. к. не написал «3-й Стр. Полк», а просто «Стрелк. Полк». Ну, может, еще дойдет.
Я очень рад, что Вы начинаете «обживаться» в новой обстановке и среде, и, главное, рад, что Вы начинаете на деле ощущать ее пользу и ценность для себя. Научитесь повиноваться, и тогда будете способны командовать. Будите в товарищах лучшие чувства: долга и службы не страха ради, a по совести. Смотрите на свой взвод, роту, батальон и полк – как на «рыцарский орден» или содружество. И тут уместен и аскетизм, и «чистая жизнь». Помните, что вы все на страже России и своих семей. Взгляд на военных, как на «разгульное» сборище, самое противное и вредное как для дисциплины, так и для военного дела вообще. Будьте строги к себе, и тогда подчиненные (которые будут у Вас в свое время) не только простят, но рады будут Вашей строгости по отношению к ним.
И я думаю, что в этом вся суть не только военного, но и всякого дела.
–225–
Вы пишете, что мало времени «учиться». Да, Боже мой! Вы, ведь, все время учитесь, и учитесь самым важным и нужным делам. Учитесь держать себя в руках, не распускаться. Быть строгим и твердым по отношению к своим обязанностям. И стрелять научитесь: только до щепетильности исполняйте указания своих учителѳй. Все приемы выработаны практикой, и надо только строго их придерживаться.
Помните, мы говорили о потешных ротах? He помню, указывал ли я Вам на одно важное обстоятельство: их принято в известной среде ругать. А между тем «детям» он нравятся. Я думаю, что дети инстинктивно чувствуют их пользу, т. е. их воспитательное значение. И вот, смотрите, как хорошо: Судьба Вас послала на военную службу и тем дала Вам возможность и в этом хорошем (по-моему) деле принять «знающее участие». Дала Вам возможность раньше того, что Вы будете «руководить», самому пройти эту школу в положении «руководимого». Да, ведь, это драгоценное обстоятельство. Ибо, ведь, я не верю, чтобы из плохого солдата вышел хороший генерал.
Теперь несколько слов о текстах. Мф.12:31–32 и, главное, Мр.3:30. Хула на первое и второе Лицо Св. Троицы великий грех, но Милосердие Божие тоже велико, и пока человек жив духовно, он может исправиться. Но если он затопчет в себе Духа Святого и умрет – его не будет, то кто может его – не существующего – простить? Например: в известной среде не принято носить нательного креста. Человек ради мнения других не носит, хотя лично он на сей предмет не имеет указания Духа Святого. Он, значит, снимает крест по людским «уговорам» и доводам «разума», «логики» и т. п., он грешит против Св. Духа, Ин.16:33 и 14:27 и Послание: «Что вера побеждает мир». Я думаю, что все это относится к вере. He в смысл «доверия», а известного религиозного мировоззрения, которое указывает человеку, что в Системе Мироздания наш мир занимает не первое место, а есть часть целого. И еще указывает, что частности нашего мира, не вяжущейся с общей схемой, – отпадают, не важны, не существуют, побеждены с этой общей и вечной точки зрения. Ин.12:25 – говорится о самоотречении, дохо-
–226–
дяшем не только до отдачи тела, но и души ради «ближних».
Суть дисгармонии, вносимой разумом, в том, что до появления разума Глава Жизни – есть Жизнь. – Жизнь, Господь, Бог – Глава и Господин. На Него упование. В Нем прибежище. С появлением разума – разум стремится занять место Господа. Люди ждут спасения от разума. Разум становится Главой Жизни. Появляются идолы и кумиры – толпы. Господь «в пренебрежении». Но на этом пути встает перед человеком «Смерть». Смерть, не как простая перемена «условий жизни», а как единая реальность и всеобщий конец всего.
Вот тут намечается задача: как, не отрекаясь от разума, сохранить свое детское отношение к жизни и Единому Подателю жизни. «Если не будете как дети, не войдете в Царствие Небесное».
Другими словами: побеждайте разум и заставьте его служить Господу и Его путям.
Вы это обдумайте. Пока прощайте. Всего хорошего.
Жму руку.
Д. X.
V.
14 Февраля 1911 г.
Дорогой Николай Васильевич, получил Ваше письмо от 11 Января. Я очень рад, что служба у Вас протекает успешно, и рад, что Вы на нее смотрите так же, как и я. Это очень хорошо, что Ваш начальник строгий. Конечно, это хорошо только в том случае, если он вообще строг. Строг к другим и к себе. Тогда это – большая и очень благодетельная воспитательная сила.
Вот, подумайте: каждый год цвет страны идет в армию. Вы на себе видите, какое воспитательное значение может иметь служба. Так, вот, представьте себе это дело «службы» во всем объеме, и подумайте, какое великое значение оно может иметь для всего народа. Помните рассказ Киплинга «Смелые мореплаватели» (История одного мальчика, сына миллиардера, упавшего с парохода и вытащенного рыбаками)? И вот, мне кажется, что на подобие того, как жизнь на шхуне сделала из мальчика «чело-
–227–
века», так точно, и в большей степени, военная служба способна сделать из мальчиков и юношей «мужей» силы и совета. И главное, не смущайтесь, что подобного рода мысли не «в фаворе». He в фаворе ни у «левых», ни у «правых», ни у всяких.
У того народа, который жив и предназначен жить – такие мысли, хотя, может, и несознанные, должны быть в «фаворе».
Мне сейчас вспомнился Николай Ростов из «Войны и мира». Помните, как он ехал из Москвы в полк, как в родную семью, «где все ясно и просто»? И еще помните, как он хозяйничал, и как любили его мужики? И вот, мне думается, что именно «полк» воспитал в нем те качества, за которые его потом любили те, которые от него зависла. И еще заметьте, что он и на «свое хозяйство» смотрел, как на «службу». Он чувствовал, что кроме прав у него «обязанности». В этом, по-моему, все дело.
И я искренно убежден, что то сословие или общество, которое утратит это чувство «обязанностей» непременно должно сойти на нет – погибнуть.
И если это так, то, значит, военная служба, будящая в людях это чувство, благодетельная и полезна людям.
Насчет «разума» я думаю так: для меня несомненно, что кроме единой «Сущности» нет ничего. Но формы проявления различны.
Формы возникают и исчезают во времени (которого тоже нет) и в пространстве (которого тоже нет).
Но для нас и время и пространство как бы существуют.
И вот, во времени и в пространстве может быть борьба форм – различных проявлений, или, лучше, сновидений этой единой Сущности. Эту борьбу мы называем жизнью во времени и пространств, и из этой «мнимости» мы должны суметь накопить «богатство» для жизни истинной (вне времени и пространства).
И вот, наша человеческая жизнь – как она представляется мне – имеет целью решение следующей задачи: как, при наличности разума и не отрекаясь от него, сохранить веру в жизнь. Как, будучи «мужами», стать или остаться в своем отношении к жизни «детьми».
Теперь: есть ли разум мое?
Мне думается, что раньше ответа на частный вопрос надо уяснить себе, что такое собственно «я» и все окружающее.
И если мы примем, что Сущность – имеющая жизнь истинную, вне времени и пространства, едина для всего сущего, то мое «я» стушевывается. – Ап. Павел говорил о Духе, душе и теле. Вот этот Дух и есть та единая Сущность, которая имеет жизнь истинную. Душа и тело живы только потому, что они формы или сосуды Духа.
Разум, это – способность, свойство, временное проявление. Мыльный пузырь, живой лишь настолько, насколько имеет Духа.
Ну, вот, я и говорю, что на нашем уровне этот «пузырь» имеет тенденцию присваивать себе жизнь вневременную и этим отманивает от жизни. Чувствуя или разумея, что сам (разум) не имеет жизни вневременной, разум отвергает такую жизнь вообще и кончает прямым утверждением, что единой реальностью является смерть.
С точки зрения Духа, и разум и чувства эфемерны, иллюзорны; они – мираж, фантасмагория. Но нам приходится иметь с ними дело – и в условиях их кажущейся реальности искать и находить жизнь истинную. Напишите мне, пожалуйста, получили ли Вы книгу по садоводству. Я просил книжный магазин выслать ее Вам.
Всего хорошего.
Д. X.
VI.
3 Мая 1911 г.
Дорогой Николай Васильевич, Ваше письмо от 11 Апреля получил еще на прошлой неделе. Вопреки своему обыкновению не ответил сейчас же, а там пошли «неотложные» дела.
В прошлое воскресение приходили Ваша жена и сестра, незнакомая девица и молодой человек. Слушали граммофон. Поговорить было некогда, т. к. была масса народа – пришли слушать граммофон.
Теперь есть очень хорошие пластинки духовного пения.
–229–
Мне было очень радостно читать Ваше письмо об экзаменах, присяг и начинании действительной службы.
Вполне понимаю Ваше чувство удовлетворения, когда Ваша рота так отличилась.
С Вашим отношением к «мнению друзей» я вполне согласен, и мне кажется, что угождение им, а не своему внутреннему чувству, было бы актом трусости.
Я очень рад, что Вы на собственном примере увидели и почувствовали, что отказы от службы и присяги не всегда знаменуют «высшее», а могут знаменовать и очень часто знаменуют низшее состояние.
Этот вопрос я часто дебатировал с Львом Ник. и должен сказать, что он не поколебал моего мнения. Я даже утверждаю, что вопреки ходячему мнению, основанному на неудачных и неясных его выражениях, он в общем скорее склонялся к моему мнению, чем к тому, которое ему приписывалось наиболее ретивыми и поверхностными из его последователей.
В настоящее время конфисковали 3 т. из изд. графини. Когда я это узнал, то невольно воскликнул: «ну, и везет же толстовцам». Дело в том, что конфисковали наислабейшие из сочинений Толстого. Такие, опровергнуть которые легче легкого, но для этого надо иметь веру. В этих наиболее слабых своих сочинениях Т. борется против самодержавия и Церкви, но борется так, что верующему в самодержавие и православие чрезвычайно легко и удобно, именно на основании этих сочинений, показать преимущества самодержавия и православия.
Эти конфискованные сочинения могли бы служить для апологета самодержавия и православия отличным трамплином.
И вот, они конфискуются! To есть, другими словами: из гимнастического зала убираются «трамплины»!
Повторяю: с большим удовольствием читал Ваше письмо. От души желаю Вам сохранить и развить Ваше теперешнее серьезное отношение к службе и себе.
Вы как-то писали, что Ваш начальник «строгий». Это большое для Вас счастье и помощь. «Строгость», это – ведь, значит, опора и поддержка слабому в минуты его слабости. Это значит: помощь «во-время», а не тогда, когда человек так распустился, что и поправить уже нельзя.
–230–
Деньги послал я и нахожу, что Вы сделали из них очень хорошее употребление.
Здоровье мое плохо. Хандра, тоска и досада. Весна очень сухая и для посевов неблагоприятная.
Пчелы вышли из зимовки хорошо. Меньше пропажи, чем в прошлом году. Кругом ¾ пасек пропало. Так во всем уезде.
Гусеница съела весь лист. У меня была обобрана осенью. Яблок почти что нет.
Цыплят много. Начали лупиться в конце марта. 3 крольчихи пропало. Думаю, от недосмотра.
В Харькове на выставке купил бычка и телку Ольденбургской породы (белые с черным) и одного поросенка. Приходится строить для них помещение.
Когда заходила Ваша жена, просил ее прийти в будни, когда меньше народа.
Ну, вот и все. Крепко жму Вашу руку.
Д.Х.
VII.
14 июля 1911 г.
Дорогой Николай Васильевич, давненько уже не писал Вам. Оба Ваши письма получил. Последнее от 20-го июня. Я совершенно согласен с тем, что Вы пишете о службе. Вместе с Вами радуюсь тому, что смотр сошел так блестяще. Что же касается до неправильного отношения начальства к солдатам, то, ведь, тут главную роль играет неспособность властвовать. У того начальника, у которого нет чувства владычества, строгость будет непременно изуродована. И это потому, что у такого человека всегда за порогом сознания лежит мысль о том, что его могут не послушаться. У прирожденного владыки такой мысли быть не может.
Что же касается до сквернословия, то это просто дурная привычка, подобная привычке есть ножом. И подобно тому, как в известных слоях общества никого не коробит вид человека, который сует нож в рот, так точно и сквернословие никого не коробит. Тут в обоих случаях проявляется неблаговоспитанность, и больше ничего.
Вот почему это сквернословие так трудно искоренимо.
–231–
Корень его в плохом – плебейском – воспитании с малолетства.
Недавно был в Москве. И меня поразило «висящее в воздухе» сквернословие. У нас ничего подобного нет. Мы, в Малороссии, культурнее и аристократичнее. И не потому, что мы лучше относимся к другим, а потому, что лучше относимся к себе. He пачкаем себе рта скверными словами. В Москве человек не может рассказать чего-нибудь приятелю, чтобы не пересыпать своей речи матерщиной. Он может быть прекрасный, гуманнейший и добрейший человек, – но плохо воспитан. В нем не воспитано уважение к своему рту. Это и есть отличительная черта «плебейского» воспитания.
Очень был рад узнать, что Вы будете в учебной команде. И не столько из-за теперешней Вашей службы, сколько из-за будущей, т. е. службы учителя. Вы сможете, с знанием дела, обучить детей гимнастике, строю и сформировать «потешную роту», и, что́ также важно, примером влиять на другие училища и показать, как надо делать это дело.
Урожай у нас хороший. Жито уже косят. Овсы хороши. Ячмень, просо – плоховаты, но не плохи. Гречиха очень хороша. Бураки поправились и будут хороши. Мед выкачивал 1 раз, выкачал до 50 пудов. Теперь есть еще гречиха, и все дело за погодой. Несколько дней взятка, и можно будет еще раз выкачивать. Кроликов набралось уже 45 штук, и я, наконец, решил, какие разводить породы. Остановился на бельгийских и венских голубых.
Я писал Вам, что купил на выставке в Харькове бычка и телку Ольденбургской породы. Теперь еще купил двух телок той же породы.
Недели 2 тому назад заходила Ваша супруга. Она мне говорила, что пошлет вам книгу «Астральный план».
Книгу эту читал лет 20 тому назад и совершенно не помню. Осталось такое впечатление, что кое-что извлечь можно. Но мало.
Еду сегодня в Полтаву. Там теперь ярмарка, и надо купить верховую лошадь для младшего сына.
Пишите мне о своей службе и вообще о себе. Напишите, как в учебной команде. Трудно ли?
Всего хорошего. Крепко жму руку.
Д.Х.
–232–
VIII.
31 Августа 1911 г.
Дорогой Николай Васильевич, Ваше письмо от 27 числа получил. Поздравляю с окончанием экзаменов. Я очень рад, что все сошло хорошо. Я писал Вам в Красное Село. Получили ли Вы это письмо?
Недавно вернулся из Петербурга, куда ездил на Царско-сельскую выставку. Выставка не особенная, но само Царское очень мне понравилось. И вот, подите же. Служил там, жил там и никакой этой красоты не видел. Наводит на размышление о том, как мало мы видим из того, что́ видим, и как мало мы слышим из того, что́ слышим. Значит, без соотношения известного между внутренним и внешним – нет жизни. Значит, жизнь, это – известное соотношение.
Значит, «мастер своего дела», это – тот, в ком есть соотношение нужное. И это прирожденное. Значит, все – искусство. Кучер, могущий ехать «без кнута», и начальник, могущий управлять без «крика» и скандалов – мастера своего дела, т. е. обладают известными прирожденными качествами, которых лишены неудачные кучера и начальники.
Меня заинтересовало представление Ваших товарищей, что «за границей» нет гимнастики и «очень легко». И ведь, это нелепое представление господствует во всех сферах жизни. Это представление больных и расслабленных.
Интеллигенты, те мыслят так: наука даст нам легкую жизнь! Мне кажется, что такое представление развращает и расслабляет людей. Жизнь не может и не должна становиться легкой. Если увеличиваются силы, то соответственно расширяются и задачи. И если задачи не расширяются, и жизнь при увеличении сил становится легкой, то это верный признак смерти, вымирания.
Весь сентябрь мне придется путешествовать: 4-го еду на пчеловодную выставку в Харьков, 8-го в Полтаву, на ярмарку и выставку птицеводства. Около 14 го в Ростов, на конскую выставку. А после этого опять в Полтаву до 25-го сентября.
–233–
Недели две тому назад приходила Ваша жена. Говорила, что Ваш товарищ, который на Амур, к Новому году придет домой. Сын Ваш здоров и растет.
Всего хорошего.
Крепко жму руку.
Д. X.
IX.
30 Января 1912 г.
Дорогой Николай Васильевич, письмо Ваше от 16-го числа получил сегодня. Мне его переслали сюда, в Петербург – откуда и пишу Вам.
Я рад, что у Вас теперь больше занятий. Все же не так скучно. По вопросу о том, можно ли заставить себя слушать без грубости, я думаю так: 1) Есть прирожденные начальники – для таковых грубость не нужна. Для ворон же в павлиньих перьях – грубость подчас необходима. Но в военном – опасном – деле, она ни к чему, т. к. смерть страшнее какой бы то ни было грубости. Нельзя грубостью одной вести на смерть, потому что смерть страшнее грубости.
2) Всякий нравственный авторитет, кроме прирожденных качеств, нуждается в известного рода «поведении»: поведении по отношению к службе, подчиненным и начальникам.
А) По отношению к службе: «честность», во всем объеме этого слова. Б) По отношению к подчиненным: требовательность такая же, как к себе. Нельзя взыскивать за то, что сам себе «позволяешь». А т. к. «честность» требует, чтобы сам себе ничего не позволял, то, значит, надо взыскивать за всякое упущение, как бы оно ни было незначительно, и никогда не прощать. Да и нельзя прощать! Это, ведь, глупо, ибо взыскивается не за себя, а за службу. В) по отношению к начальству – полная «открытость». Никогда не делать ничего «тайного». Никогда не представляться «лучше», чем есть. Никогда не стараться показаться боле знающим, чем есть.
Только тогда, когда можешь открыто смотреть в глаза начальнику, только тогда можешь иметь нравственное влияние на подчиненных.
–234–
Из этого вывод тот, что лучше не получать писем, чем получать их по внешнему адресу. По крайней мере, я бы не делал этого, и мне неприятно это делать.
Я приехал сюда по случаю болезни сына. Между 1–2–8 я бываю на квартире своей матери, – Захарьевская № 16.
На днях я рассказывал одному полковнику Генерального Штаба, который скоро получает полк, Вашу историю.
Всего хорошего. Крепко жму руку.
В конце недели еду домой.
Д. X.
X.
7 Марта 1912 г.
Дорогой Николай Васильевич, письмо Ваше от 1-го Марта получил. Очень был рад получить от Вас весточку, хотя и печально узнать, что настроение у Вас плохое.
Чаще пишите. Мне кажется, что это поможет. Сужу по себе. Одно время, очень давно, жил в таком месте (на Араксе), куда, в то время, почта приходила 1 раз в месяц. Помню, как ждал писем и ими только и жил. Получив, долго носил в карман и не читал. Носил день и два. Ночью, просыпаясь, вспоминал, что у меня есть письмо, и «блаженно засыпал».
Мне было тогда 20 лет. И вот, зная свое настроение, я был очень озабочен о том, как и чем поддержать казаков, – которым, конечно, было трудней еще, чем мне «сохранить равновесие». В это же время там стоял 139 пех. Дербентский полк. Командир полка ничего не делал, чтобы поддержать «равновесие» солдат. И вот, каждый праздник, несмотря на чрезвычайную строгость командира полка, солдаты десятками пьяные валялись по городу (Кагызман).
Для меня это был «предметный» урок по психологии масс и по управлению ими. Примеры Суворова, Скобелева совсем забыты. Даже забыты указания Драгомирова. И это очень жаль.
Я это все к тому, чтобы сказать, что Ваше настроение мне знакомо. И видел и сам переживал.
И это совсем не знаменует пустоты, а лишь знаменует
–235–
процесс роста. Это кризисы духовного роста. И мне кажется, что при этом самое разумное, это – «спокойствие» и старание удержать свою позицию, т. е. не спускаться – хотя бы и без поднятия.
И я еще думаю, что вера в Бога не есть умственный процесс, а сердечное настроение. Настроение чувства. И вызывать ее искусственно, личными стараниями, нельзя.
Про одного короля древности рассказывают, что, когда ему был проповедан Христос, он, слушая рассказ о страданиях Иисуса Христа, о Его распятии, воскликнул: «Ах, отчего меня там не было с моими воинами!» Очевидно, этот король ничего не понял «богословски», «умственно», но также очевидно, что «недалек он был от Царства Небесного».
И еще рассказывают про другого: когда ему монах рассказал про рай и ад, он спросил: «а где будут мои боевые товарищи»? И когда монах объяснил, что они, как некрещеные, будут в аду, он сказал: «В таком случае и я не буду креститься, ибо не хочу разлучаться с товарищами». И про этого можно сказать, что и он «недалек был от Царства Небесного».
Недавно мне нечаянно попалась очень интересная книга: Лодыженского – «Сверхсознание». Дна 2 рубля. Если бы Вам разрешили ее купить, то очень бы советовал прочесть.
Автор удивительно верно и хорошо определяет Христианство и показывает разницу его с Буддизмом1027.
Удивительно хорошо разобрано учение разных христианских подвижников, и отлично определена разница между отношением к Христову учению т. н. интеллигенции и простых людей.
Еще интересна книга В. Соловьева: «Три разговора». Это – серьезное возражение Л. Н. Толстому на его воззрение на Христианство.
–236–
Для меня обе книги сводятся к ответу на вопрос: Есть ли христианство учение разума или учение сердца?
Толстой, как Вы знаете, отвечал: «это учение разума» и даже перевел слово «Логос» словом «Разумение».
Я с этим не согласен. Я думаю, что Христианство – учение сердца.
Лодыженский в своей книге показывает, что все древние подвижники именно так и смотрели.
Только не покупайте книги Лодыженского без спроса. A то зачем же тратить деньги понапрасну?
Снега у нас еще много. Постепенно тает, и вода уходит в землю, что очень полезно, т. к. осенью она была совершенно суха.
Ну, до свиданья. He унывайте. Самое главное, не унывайте. Древние подвижники христианские смотрели на уныние, как на величайший грех. Особенно вредный для человека. Читали ли Вы книгу Киплинга «Ким»?
Я Киплинга чуть ли не наизусть знаю. Теперь увлечен Джеком Лондоном.
Жму руку.
Д. X.
Сообщил М. Новоселов.
(Окончание следует).
Глаголев С. С. Опыты математического решения философских вопросов // Богословский вестник 1916. Т. 2. № 6. С. 237–252 (2-я пагин.). (Начало.)
–237–
Введение
Математика является двойственной наукой. С одной стороны она лежит в основе всего положительного знания; отсюда следует, что она должна быть доступна и близка всем. С другой стороны она оказывается дисциплиной знакомой очень немногим, и ее символы – √, ∫∫dxdy, ∞, % и другие – смущают умы не менее, чем масонские знаки. Математика и наиболее разработанная и наименее известная из наук. Ее выводы в глазах толпы непогрешимы, но не только основания этих выводов, а и их смысл большинству часто представляется непонятным. И предполагаемая непогрешимость и открывающаяся таинственность математики уже с глубокой древности заставляли людей возлагать на нее надежды, что в ее истинах и положениях содержится решение важнейших для человечества проблем, т. е. проблем философских, включая в них и вопросы религии. Настоящий очерк представляет собой попытку произвести обозрение и оценку таких опытов математического решения философских вопросов, причем заранее должно оговориться, что обозрение будет очень неполным, а оценка – очень неуверенной. В оправдание того и другого недостатка автор не находит ничего лучшего, как сослаться по примеру древних софистов на сложность предмета и краткость человеческой жизни.
Различным образом привлекалась наука о числе и протяжении к решению метафизических и теологических проблем. Утилизацию ее можно свести к четырем типам:
–238–
1) Из математики создали мистическую математику: числам, чертежам и формулам самим по себе придавали какое-то сакраментальное значение. 2) Совершенно противоположным приемом утилизации математики является привлечение ее к решению вопросов философии и богословия в таком виде и по таким методам, как она привлечена к решению проблем механики, астрономии и физики. 3) Третий тип философского пользования математикой исходит из того, что математические науки априорны, что они, следовательно, отражают в себе природу нашего мышления, и поэтому доставляют нам драгоценнейший материал для решения проблем гносеологии. 4) Четвертый тип совершенно противоположный третьему исходит из того начала, что математические основы апостериорны, созданные ограниченным опытом и употребляемые для построения теорий о безграничной вселенной они и приводят к противоречиям, антиномиям, абсурдам и просто к заблуждениям. Но правильно понятые они дают основания для новых взглядов и на наше познание и на окружающую нас действительность.
Постараюсь определить эти четыре типа подробнее и яснее.
1.
Слово «мистика» в различных случаях и различными мыслителями употребляется не в тожественном смысле. И мистическая математика неодинакова у различных ее адептов. Однако можно указать некоторые общие черты в ее понимании. Мистическая математика усвояет фетишистическое значение числам, формулам и фигурам, причем фетишистическая сила может быть и не во всех числах и фигурах, – у разных мистиков – в разных, может быть различной по величине и по качеству – большой и малой, благоприятной и неблагоприятной. Фетишизм вообще есть признание присутствия божественной силы в каком-нибудь объекте, обыкновенно – в неодушевленном предмете, чаще всего в камне, далее – фетишизм распространяется и на одушевленные существа. В мистической математике фетишизм распространяется на абстракции, устанавливается факт неразрывной связи между некоторыми идеями и представлениями с одной стороны и божественной силой с другой.
–239–
Как поверхность куба неотделима от его двугранных или телесных углов, так благоприятная сила неотделима от семи и неблагоприятная – от тринадцати. Если общий характер силы фетиша и подлежит определению, как божественной, демонической, благоприятствующей или противодействующей, то за всем тем в понятии этой силы обыкновенно мыслится некоторая неопределенность и даже неопределимость. В этом отношении математические фетиши, кажется, счастливее всех прочих. За ними признается безусловная разумность, сила организующая, гармоническая, эстетическая и даже этическая.
Свойства чисел и математических комбинаций естественно вызывали удивление, а из удивления рождалось суеверие. Какому ребенку в детстве не предлагали задачи расставить девять первых чисел в девяти клетках квадрата так, чтобы сумма их, по какой линии ни считать, неизменно равнялась бы 15 и в каком ребенке магический квадрат, построенный согласно этому требованию не вызывал интереса и удивления?
| 6 6 | 61 | 68 |
| 67 | 65 | 63 |
| 22 | 69 | 44 |
Но магическое значение этого квадрата парализовалось тем, что мало-мальски смышленый ребенок мог его составить сам. Однако возможно, что и смышленый ребенок задумался бы, если бы ему перефразировали задачу о девятиклеточном квадрате и предложили разместить в нем разные числа так, чтобы сумма их по всем направлениям равнялась году начала мировой войны.
| 6637 | 6642 | 6635 |
| 6636 | 6638 | 6640 |
| 6641 | 6634 | 6639 |
–240–
Степень магичности квадрата еще более может быть повысилась в его глазах, если бы ему предложили такой, в шестидесяти четырех клетках которого различные числа расставлены так, что сумма их по всем линиям неизменно равна цифре текущего года.
| 208 | 270 | 269 | 211 | 212 | 266 | 265 | 215 |
| 263 | 217 | 218 | 260 | 259 | 221 | 222 | 256 |
| 255 | 225 | 226 | 252 | 251 | 229 | 230 | 248 |
| 232 | 246 | 245 | 235 | 236 | 242 | 241 | 239 |
| 240 | 238 | 237 | 243 | 244 | 234 | 233 | 247 |
| 231 | 249 | 250 | 228 | 227 | 253 | 254 | 224 |
| 223 | 257 | 258 | 220 | 219 | 261 | 262 | 216 |
| 264 | 214 | 213 | 267 | 268 | 210 | 209 | 271 |
Тайна образования этих и подобных квадратов легко может быть выяснена, но и после выяснения уму может представляться загадочным факт существования таких свойств у чисел, которыми обуславливается возможность у них подобных комбинаций. А комбинаций и свойств, способных внушать удивление у них можно находить без конца. Человеку говорят: пишите нечетные числа в последовательном порядке, начиная с единицы, сколько вы их не напишите, сумма их всегда будет равна квадрату их числа. Если их написано 5 (1, 3, 5, 7, 9), сумма их = квадрату 5 = 25; если их написано 9 (1, 3, 5, 7, 11, 13, 15, 17), квадрату 9 = 81 и т. д. Подобное открывается относительно геометрических фигур. Предлагают из какой угодно точки касательной параллельной диаметру окружности провести две прямые к концам диаметра, площадь образованного таким образом треугольника будет равна квадрату радиуса
–241–
окружности, между тем как число различных треугольников удовлетворяющих подобным условиям бесконечно.
Легко доказать, что так должно быть, из данных условий неизбежно вытекают открывающиеся следствия, но в мировом порядке условия всегда являются для нас обусловленными. Что, какая сила обусловливает отмеченные арифметические и геометрические факты? Умы реалистического склада не ставят этих вопросов, но умы, пытающиеся проникнуть в основы и бездны бытия, останавливаются перед ними. Паскаль шестнадцати лет от роду напечатал Essai pour les coniques. 1640. В этом сочинении он дал замечательную теорему, что у шестиугольника, вписанного в конические сечения точки пересечения его продолженных противоположных сторон лежат на одной прямой. Паскаль положил эту теорему в основу теории конических сечений. Его шестиугольник называется Hexagrammum mysticum – шестиугольником мистическим. Для Паскаля прежде всех открылся факт и его несомненность, но он не преисполнился верой в свой и вообще в человеческий гений, а поразился мудростью факта и взглянул на него мистически.
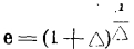
Разумеется, в одних одно вызывает удивление, в других – другое. Но в области математики имеются факты такой связи, гармонии и целесообразности, которые при первом ознакомлении, кажется, должны поразить всякого. Таковым является взаимоотношение чисел е = 2,71828182846… и π = 3,14159265359… Число

называют основанием неперовых логарифмов. Это неверно, потому что Непер принял Δ, равным одной десятимиллионной, а его нужно приравнять бесконечной малой величине. Число π есть отношение окружности к диаметру. Одно из этих чисел алгебраическое, другое – геометрическое, оба они трансцендентны, т. е. не могут быть выражены ни рациональными, ни иррациональными величинами. Существование общих свойств – хотя бы и необычных, – между числами неудивительно, но оказывается, что между этими двумя числами, явившимся в различных областях математики и по различным побуждениям, существует исключительное
–242–
родство. Число е возведенное в степень π, умноженное на корень из минус единицы, будет равно минус единице, т. е.

Так, при некоторой своеобразной комбинации, где фигурирует величина мнимая, из чисел невыразимых никакими числами и радикалами и в сущности неизмеряемыми единицей, получается препростенькая единица – начало и основание исчисления. Комбинации е и π дают возможность установить бесчисленное количество теорем и предложений. В ряду этих предложений должно поставить такое, что эти трансцендентные числа имеют особое родство с простыми числами 19, 43, 67, 163, у которых открывается много своеобразных свойств, но должно отметить, что в математической мистике народов эти числа совсем не фигурируют.
Древние поражались не только свойствами фигур и чисел, но еще и таким обстоятельством, что задачи вызываемые жизнью и на вид очень простые, иногда оказывались совершенно неразрешимыми. Наиболее известной из этих задач является задача о квадратуре круга. Квадрат описанный вокруг круга больше его, квадрат вписанный в круг меньше его, между этими двумя квадратами существует бесчисленное множество иных меньше первого и больше второго, и один из них должен быть равен кругу, но как найти его? Задача и проста и жизненна; практически, приблизительно решать ее ничего не стоит, но как решить ее математически, как выразить в числе и линии величину квадрата равновеликого кругу? И еще другая задача такая же простая на вид и также часто встречающаяся в практике представилась уму древних: разделить угол на 3 равные части. Легко разделить угол на 2, 4, 8, 128, 512 и многие иные части, отчего нельзя найти приема для деления его на три части, для построения и вычисления линий, требующихся для этого деления. Умы поражались простотой и неразрешимостью задачи. Очевидно, требовалась необыкновенная мудрость для решения, но вместе с тем простота задачи подсказывала мысль, что эта мудрость должна быть простой. О простоте божественной муд-
–243–
рости говорила задача и о своей тесной связи с этой мудростью. Древность поэтому и само происхождение этих задач возводила к богам. Древние математики еще много занимались вопросом об удвоении куба. В сущности эта задача тождественна с задачей о делении угла на три равные части. Если найти прием, при помощи которого можно было бы извлекать кубические корни из линии, как извлекаются квадратные, то и всякий угол можно было бы делить на трое и можно бы было построить кубы вдвое больше данных. Но циркуль и линейка беспомощны для извлечения кубических корней и решения кубических уравнений. Не решив задачи, древность сложила печальное сказанье. Когда в Греции была моровая язва, дельфийский оракул сказал, что умилостивить богов можно, удвоив золотой алтарь Аполлона, который имел и должен был сохранить форму куба. Из неразрешимости задачи вытекало, что умилостивление богов невозможно.
Система счисления у различных народов с глубокой древности была десятичной. Причиной этого должно считать свойства числа десять. Со свойствами π, е люди ознакомились поздно, со свойствами десяти они должны были ознакомиться на первых ступенях культуры. Число десять поразило их и они усмотрели в десяти число устрояющее и организующее мир. Спевсипп (Σπεύσιππος), племянник Платона (род. около 395 г., покончил самоубийством в 334 г.), написал βιβλίδιον γλαφυρόν, отрывок из этой книжки, помещенный в Theologumena arithmeticae, перевел Таннери. Спевсипп так трактует о десяти:
«Число десять – совершенно; поэтому вполне справедливо и естественно, что эллины, безо всякого предварительного соглашения, сошлись со всеми народами всех стран в десятичном способе счисления; оно обладает также несколькими свойствами, приличествующими такому совершенству.
Во-первых, оно должно быть четным, чтобы заключить собой столько же четов, как и нечетов, без численного превосходства одного из этих родов чисел; действительно, так как нечет предшествует чету, то всегда окажется лишний нечет, если число нечетное.
–244–
Кроме этого равенства подобает также, чтобы существовало и другое – между числами первыми или простыми и вторыми или сложными, и это равенство существует для 10, между тем как ни одно из низших чисел не дает его; из высших чисел его можно найти в 12 и некоторых других, но 10 – их прототип, первое из чисел, имеющих это свойство наименьшее из всех, которые им обладают; таким образом, одно из свойственных ему совершенств – заключать собой равное число сложных и простых чисел.
Оно дает еще третье равенство – между числом произведений и множителей этих произведений, при чем множители идут до 5, а их произведения от 6 до 10. Семь не может быть получено от умножения каких бы то ни было чисел, а потому должно быть исключено, но зато нужно прибавить 4, как производное от 2-х, так что равенство восстанавливается.
Сверх того 10 заключает в себе все отношения равенства, превосходства, подчиненности, возможные между последовательными числами, и другие, а равно линейные, плоские и телесные числа, так как 1 есть точка, 2 – линия, 3 – треугольник, 4 – пирамида, и каждое из этих чисел первое в своем роде и начало ему подобных. А эти числа образуют первую из прогрессий, а именно разностную, и общая сумма ее членов – число 10.
В плоских и телесных фигурах первые элементы также точка, линия, треугольник и пирамида, заключающиеся в числе 10 и в нем же находящие свое завершение.
Так, например, у пирамиды 4 угла или 4 стороны и 6 ребер, что составляет 10. Интервалы и пределы точки и линии дают также 4, стороны и углы этого треугольника 6, т. е. опять-таки 10.
То же мы найдем, если станем исчислять фигуры. Действительно, первый треугольник – равносторонний – имеет как бы только одну сторону или один угол по причине равенства углов и сторон, и потому что равное всегда неразличимо и единообразно.
Второй треугольник – полуквадрат, ибо, имея неравными только 2 стороны или 2 угла, он соответствует диаде.
Третий – гемитригон – половина равностороннего треуголь-
–245–
ника, так как в нем нет равных элементов, а число их 3.
Поступая таким образом с телесными фигурами, найдем число 4, следовательно придем опять таки к декаде.
Действительно, первая пирамида представляет собой как бы единицу, имея, так сказать, одно ребро или одну грань по причине их равенства. Вторая пирамида является в том же смысле диадой, так как ее углы при основании образованы тремя плоскостями, а угол при вершине четырьмя, так что это различие уподобляет ее диаде. Третья пирамида, построенная на полуквадрате являет триаду. К различию элементов, которое мы видели в полуквадрате, как плоской фигуре, она прибавляет еще одно, соответствующее углу при вершине; и так есть соответствие между триадой и этой пирамидой, вершина которой лежит на перпендикуляре, восстановленном из середины гипотенузы основания. Наконец, тем же способом можно найти тетраду в четвертой пирамиде, имеющей в основании гемитригон.
Итак, эти фигуры завершаются в числе 10. То же и относительно возникновения, ибо для величины первое основание – точка, второе – линия, третье – поверхность и четвертое – тело“1028.
Таннери высказывает предположение, что Спевсиппом было высказано еще многое в том же духе. Возможно тем более, что в приведенном отрывке Спевсипп не исчерпал и действительных свойств десяти известных древним.
Числа управляют миром. Отсюда следует, что в мире царствует законосообразность и порядок. Изучение чисел дало основания древним установить еще положения, что в числовом управлении вселенной содержатся эстетические и этические начала и что идеалом этого управления является совершенство.
Древние знали гармонические пропорции. Общий вид их: а: b = (а – с): (с–b), т; е. первая величина относится ко второй так, как первая без третьей относится к третьей
–246–
без второй. В геометрии это представляется в виде гармонического деления:
AB: AC = (AB – AD): (AD – AC). Если взять натуральный ряд чисел: 1, 2, 3, 4, 5… и на них разделить единицу, то получится новый ряд

у которого из каждых трех последовательных членов образуется гармоническая пропорция:

обратимся от чисел к музыке. Вот, что представляют элементарные величины акустики.
Не говоря о двух звуках, вполне тождественных по высоте (интервал 1: 1, или унисон), – постепенно меньшую и меньшую степень сродства и созвучия находим при интервалах:
1: 2 (октава),
2: 3 (квинта),
3: 4 (кварта),
4: 5 (большая терция),
5: 6 (малая терция),
Дальнейшие интервалы 6:7, 7:8, 8:9... дают в большей или меньшей степени диссонанс.
Октава мало отличается от унисона. Интервал, превышающий октаву, имеет почти такое же значение, как если бы нижний звук был поднят на октаву (например, дуодецима 1:3 сходна с квинтой 2:3).
В гармоническом ряду чисел
1:2:3:4:5:6 мы находим все созвучные интервалы, расположенные по степеням их музыкального совершенства1029.
Связь простейших чисел с музыкальной гармонией и побудила древних ряд числовых отношений назвать гармоническими. Сам факт этой связи представился им доказательством того, что красота звуков создается числами.
–247–
И в самых числах, в их комбинациях, в образуемых ими рядах они усматривали красоту. Но этого мало. Они признали существование между числами нравственных отношений. Создался цикл дружественных чисел. Знание их Ямвлих возводил к Пифагору. У него спросили, что такое друг, и он ответил: тот, который является другим „я“, как числа 220 и 284. Эти числа характеризуются тем, что сумма множителей первого равна второму, и сумма множителей второго равна первому. 220=1+2+4+71+142, на каждое из этих слагаемых делится 284 и не делится ни на какое иное. 284=1+2+4+5+10+11+20+22+44+55+110, на каждое из этих слагаемых делится 220 и не делится ни на какое иное. Этот факт привел к выводу, что одно из этих чисел есть alter ego другого. Друг есть alter ego. Высший нравственный идеал без сомнения состоит в том, чтобы я другого было человеку также дорого, как его собственное. Люби ближнего, как самого себя. Прототип такого взаимоотношения Пифагор усмотрел в дружественных числах.
И образы совершенства греческие мыслители усмотрели в числах. Совершенными названы ими числа, которым равны сумме всех своих делителей. 6=1+2+3; 28=1+2+4+7+14. Таким же условиям удовлетворяют 496; 8128 и еще найдены 5 чисел, наименьшее из них имеет 8, наибольшее 37 знаков. Может быть в признании таких чисел совершенными руководились мыслью, что совершенная гармония обуславливается получением наибольшего количества результатов при наименьшей затрате. Если сумма делителей числа меньше числа, то в нем как бы оказывается непроизводительный избыток. Если наоборот, число оказывается меньше своих делителей, непроизводительный избыток является в последних.
Числа суть силы. Они правят миром. Но над силами могут подниматься еще силы. Надо полагать, что претензию на обладание такими силами стали предъявлять некоторые лица узурпаторски называвшие себя математиками и бывшие так сказать колдунами математического типа. У нас в XVII веке говорили: «богомерзостен всяк, любящий геометрию», хотя говоривший так обыкновенно аттестовал себя: «елинских борзостей не текох, риторских астроно-
–248–
мов не читах»..., но утверждая это, он несколько заблуждался. Его отрицательное отношение к геометрии было несомненно «еллинской борзостью». Один из законов юстинианова кодекса имел заглавие. De maleficiis, mathematicis et caeteris similibus и говорил: Ars autem mathematica damnabilis interdicta est omnino. Так, византийское законодательство в VI в. причислило математиков к злодеям и совершенно воспретило предосудительное математическое искусство.
2.
Мистическая математика видит в числе силу. Так рассматриваемое число само по себе является объектом метафизики и богословия. Но независимо от этого данные математики являются постоянным служебным орудием в практической жизни и во всех отраслях положительного знания. По отношению к каждому орудию, дающему благим образом чувствовать свою силу, естественно ставить вопрос: нельзя ли расширить сферу его применения? По отношению к математике этот вопрос в сущности нечего было и ставить. Ее история есть история постоянного расширения сфер ее применения. На памяти пишущего эти строки были сделаны первые попытки применить математический анализ к химии, несколько ранее явилась попытка использовать его в психологии и около этого же времени им стали широко пользоваться в статистике. Но статистика ведает человеческую жизнь с ее моральной стороной. Математический анализ в статистике вторгнулся в сферу морали, охватил, значит, все существующее. Отсюда по-видимому следует, что должно ставить вопрос не о том – нужно ли пользоваться математикой для обсуждения метафизических и богословских проблем, а пожалуй о том – не дают ли математические науки основания для того, чтобы отвергнуть возможность обсуждения вопросов метафизики и богословия? Но так или иначе математические науки оказываются стоящими между философской истиной и человеком. Они или помогают постигнуть истину или выясняют невозможность ее постижения.
По мнению таких людей, как Паскаль, математика по-видимому может служить лестницей ведущей к небу все
–249–
равно, как ветвь математики – геометрия послужила ключом для уразумения явлений происходящих на небе. С именем Паскаля связано создание теории вероятностей. В 1654 г. его друг кавалер де Мере предложил ему задачу: два игрока в кости, поставив равные ставки, повели игру на условии, что тот, кто первый сыграет определенное количество партий, положим А. получает всю ставку. Обстоятельства заставили их прервать игру, когда одному не хватало до выигрыша одной (выиграл А-1 партию), а другому – двух партий (выиграл А-2 партии). Спрашивается, как должно разделить между ними поставленную сумму? Паскаль решил так. Половина всей ставки бесспорно принадлежит первому, потому что, если второй даже выиграет следующую партию, права обоих на ставку окажутся равными. Что касается до второй половины ставки, то права на нее первого и второго игрока равны, так как у них равны шансы выигрыша и проигрыша по следующей партии. Поэтому первому игроку должны быть отданы ¾ ставки, второму – ¼. Эта задача послужила толчком для обсуждения проблем о вероятностях тех или иных предположений и утверждений. И Паскаль поставил иную задачу.
Человеческая мысль не может постичь бесконечного. Бог есть бесконечность. Анализируя это понятие, мысль запутывается в противоречиях. Бесконечность есть, число, определяющее или характеризующее величину. Всякое число есть чет или нечет, и всякое число через прибавление к нему единицы изменяется из четного в нечетное или наоборот. Бесконечность не изменяется через прибавление к ней какого бы то ни было конечного числа, как и от вычитания. Таким образом, бесконечность для нас непостижима, но в таком случае для нас непостижим и Бог. Как же решить вопрос – существует Он или не существует? Положим, нам предложили бы принять у чате в пари, одна сторона которого говорит, что Бога нет, другая, – что Он существует. Самое разумное, конечно, отказаться от пари, так как мы не знаем верного ответа, но, говорит Паскаль, делать ставку необходимо. «Не в нашей воле играть или не играть. На чем же вы остановитесь? Так как выбор сделать необходимо, то посмотрим, что представляет для вас меньше интереса: вы мо-
–250–
жете проиграть две вещи – истину и благо, и две вещи вам приходится ставить на карту, ваши разум и волю, ваше познание и ваше блаженство; природа же ваша должна избегать двух вещей: ошибки и бедствия. Раз выбирать необходимо, то ваш разум не потерпит ущерба ни при том, ни при другом выборе. Это бесспорно; ну, а ваше блаженство?
Взвесим выигрыш и проигрыш, ставя на то, что Бог есть. Возьмем два случая: если выиграете, вы выиграете все; если проиграете, то не потерпите ничего. Поэтому, не колеблясь, ставьте на то, что Он есть.
Отлично следует так поступать; но может быть, я делаю слишком большую ставку?
Посмотрим. Так как случайности выигрыша и потери одинаковы, то если бы вам представлялась возможность выиграть только две жизни за одну, то и тогда рискнуть этой одной не было бы неразумно. А если бы можно было выиграть три жизни, риск был бы еще уместнее (так как вы в необходимости играть), и вы поступили бы неблагоразумно, не рискнув своей жизнью ради выигрыша трех жизней в такой игре, где случайности и выигрыша и проигрыша одинаковы. Но есть вечная жизнь и вечное счастье. Поэтому было бы глупостью не поставить на карту конечного ради бесконечного, если б даже из бесконечного числа случайностей одна бы только была на нашей стороне, не говоря уже об игре при одинаковых шансах за и против. Выигрыш и риск здесь уравновешены. Везде, где дано бесконечное и нет бесконечно великого риска проигрыша против вероятности выигрыша, там нечего взвешивать, а нужно отдавать все. Таким образом, будучи принуждены играть, мы, желая сохранить свою жизнь вместо того, чтобы рискнуть ей ради выигрыша бесконечного – столь же возможного, как и проигрыш ничтожества – доказываем, что действуем вопреки рассудку.
Ни к чему не послужило бы возражение, будто рискуешь верным ради гадательного выигрыша и что бесконечное расстояние, отделяющее несомненность ставки от сомнительности выигрыша, равняется конечному благу, которое становится несомненно ради сомнительного бесконечного. Это не так. Всякий игрок рискует с уверенностью ради вы-
–251–
игрыша, в котором не уверен, и тем не менее он несомненно рискует конечным для сомнительного выигрыша конечного же, нисколько не погрешая этим против рассудка. Ложно думать, что между этой уверенностью в ставке и неуверенностью в выигрыше расстояние бесконечно. В действительности же бесконечность есть только между несомненностью потери. Но сомнительность выигрыша пропорциональна несомненности ставки, как это вытекает из отношения случайностей выигрыша и потери. Отсюда выходит, что если случайностей с одной стороны столько же, сколько и с другой, то идет партия равная против равной, и тогда уверенность в ставке равняется неуверенности в выигрыше. Таким образом, наше предложение бесконечно сильно, когда рисковать приходится в бесконечном в игре, где случайности выигрыша и проигрыша одинаковы и выигрышем может быть бесконечное. Это доказывается само собой, если люди способны понимать какие-нибудь истины, это одна из них. Математически пари Паскаля можно выразить таким образом. Если за бытие Божие имеется один шанс и в случае выигрыша получается блаженство, то за Бога мы имеем 1×∞; если против бытия Божия мы имеем очень много шансов А и в случае, если Его нет, воспользуемся очень многими земными благами В, то против Бога мы будем иметь А×В. Очевидно, что 1×∞ ˃ А×В.
Математик А.А. Марков несомненно по поводу этого regle des partis Паскаля приводит в своем курсе «Исчисление вероятностей» (третье издание. 1913. стр. 225) рассуждение Лапласа в статье De la probabilité des temoignages, помещенной во введении к его классическому труду Théorie analytique des probabilités. «Тот, кто обещает за доверие к своим утверждениям награду, а за недоверие наказание, не увеличивает таким обещанием, а уменьшает степень доверия к себе; если же размер обещания становится безграничным то степень доверия, какого они заслуживают, падает до нуля»
Так теория вероятностей дает Паскалю доказательство бытия Божия, а Лапласу – доказательство небытия Божия. Из этого многие хотят сделать вывод, что исчисление вероятностей в вопросе о Боге аннулируется, потому что из
–251–
него извлекают доводы и pro и contra. Но нужно ли спешить соглашаться с таким взглядом? Из одних и тех же фактов черпают доводы в защиту движения и неподвижности земли. Отсюда не следует равноценность и следовательно взаимноуничтожительность этих доводов. Доводы Паскаля и Лапласа не могут быть аннулированы уже потому, что несомненно они имели убедительную силу в глазах многих лиц. Сущность довода Паскаля резюмирована им в такой простой форме: „если мы ошибаемся, считая христианство истиной, мы теряем очень немногое, но какое несчастье, если мы ошибаемся, считая его ложью!» Эти слова Паскаля на протяжении почти трех столетий заставляли задумываться многих. С другой стороны и соображения Лапласа не остались медью звенящей. Слова А. А. Маркова, „что к рассказам о невероятных событиях, будто бы происшедших в давно минувшее время, следует относиться с крайним сомнением» (225) по-видимому навеяны математической философией знаменитого творца системы мира.
И трудно воздержаться от того, чтобы не применять принципов теории вероятностей к вопросам самого высшего порядка и характера. Существует ли высший Разум, т. е. Бог? Наш разум ясно говорит нам, что разум выше нашего возможен. Из сопоставления принципов современной науки с теорией вероятностей с неотразимой убедительностью следует, что, если он возможен, то он действителен. По-видимому, умозаключение это не из тех, которые одобряются логикой. A posse ad esse non valet consequentia. Но теория вероятностей говорит нам: в данном случае valet.
С. Глаголев
(Продолжение следует)
Орлов А. П. Сотериология Петра Абеляр да (в связи с антропологическими его воззрениями) // Богословский вестник 1916. Т. 2. № 6. С. 253–274 (2-я пагин.) (Продолжение)1030
–253–
IV. Оправдание человека благодатию Христовою, по Абелярду, слагается из трех основных моментов: веры, любви и причастия христианина церковным таинствам1031. Что касается веры во Христа, то сотериологическая необходимость ее в богословской системе Абелярда не нуждается в разъяснениях, поскольку основной смысл и самого искупительного подвига Христа, по Абелярду, заключается в том, что человек, верою созерцая отеческую любовь Божию, открывшуюся людям в земной жизни и смерти Сына Божия, сам проникается ответною сыновнею любовию к Богу, лишь в этой, порождающей любовь, вере в милосердие Божие к людям почерпая достаточную энергию ко всецелому послушанию воле Божией1032. Без этой веры никому невозможно угодить Богу (Евр.11:6), – иметь какую либо заслугу в очах Его1033. Но вера имеет, по Абелярду, сотериологическое значение лишь постольку, поскольку она является именно источником любви человека к Богу:
–254–
человек должен не только веровать в бытие Божие (credere Deum), в непреложную истинность Его обетовании и слов (credere Deo), но и веровать в Бога (credere in Deum), т. е. войти в теснейшее единение с Ним в любви1034 Любовь является не только большею, чем вера, но и единственной собственно добродетелью, а вера если и называется «основанием всех благ», то в смысле лишь естественного prius’a или психологической почвы для надежды и любви1035. Идеал активного доброделания, притом с аскетическим оттенком, глубоко присущий всему вообще средневековому католичеству, доминирует и в религиозном сознании Абелярда, который более всего далек от мысли усвоять вере в крестные заслуги Христа самоценное сотериологическое значение, в духе позднейшей протестантской доктрины об оправдании христианина sola fide. «Презрение к миру» и устремление к загробному блаженству – таковы, по Абелярду, основные черты евангельской доктрины, выступающие в самом начале проповеди самого законодателя Нового Завета – Христа1036. Та «правда» Божия, кото-
–255–
рая, по Апостолу, открывается в Евангелии от веры в веру (Рим.1:17), по изъяснению Абелярда, есть не что иное, как богооткровенное учение о строго-закономерном правосудии Божием, воздающем праведникам и грешникам по делам их; эта истина о правосудии Божием потому объявляется у Апостола преимущественным содержанием евангельского откровения, что именно в Евангелии совершеннейшим образом раскрыты принципы этой правды, – выяснено, что мздовоздающая правда Божия судит не по внешней стороне человеческих поступков, а по их внутренним мотивам, насколько в том или другом поступке человека проявлено им «естественной правды», т. е. той любви к Богу и ближнему, которая составляет основное содержание изначала присущего человеку нравственного закона, лишь «ожившего» в нем, под воздействием евангельского учения1037. Отсюда, приведенные у ап. Павла слова пророка Аввакума: «праведниц верою живет» (Авв.2:4), по Абелярду, содержат в себе тот смысл, что вера человека в изъясненную Евангелием закономерно наказующую и награждающую правду Божию, является для него спасительной наставницей, научающей не прогневлять Бога грехами, и угождать Ему доброделанием1038. Самое Евангелие мыслится у Абелярда как богодарованный кодекс основных законов, определяющих религиозно-моральную жизненную «правду» членов церкви – «государства Божия», каковые законы находят себе честнейшее раскрытие и дополнение в произведениях апостольской и святоотеческой письменности1039. Оправданием человека назы-
–256–
вается такое жизненаправление его, когда «правда» или послушание человека воле Божией представляется не временным, неустойчивым настроением, а укоренившейся в душе привычкой1040. Христианин, живущий истинно-духовной жизнию, ведет непрерывную борьбу с греховными пожеланиями, истребляя в себе эти зародыши греха прежде, чем они проявятся в греховных актах; согласно словам Псалмопевца: «блажен, кто возьмет и разобьет младенцев своих (sic) о камень», он разбивает свои греховные помыслы о камень – Христа, будучи укрепляем благодатной любовию к Нему1041. Хотя этот путь к жизненному оправданию пред Богом требует от нас усиленных трудов, однако, одушевляемый благодатной любовию к Богу но Христе, христианин легко осуществляет заповеди закона Божия, казавшиеся ветхозаветному человеку тяжким игом1042. Если христианину при всей его ревности невозможно соблюсти себя от всякого, даже простительного, греха, то без греха в собственном смысле, т. е. свободно-сознательного нарушения воли Божией он, хотя не
–257–
без величайшей трудности, прожить может1043. Наиболее совершенными членами новозаветного «государства Божия» у Абелярда представляются аскеты – монахи, всецело посвятившие себя Богу, ведущие упорную борьбу со своею греховною плотью, возвышающиеся до сверхъестественной ангелоподобной чистоты и святости1044.
Третьим условием или фактором спасения христианина, по Абелярду, является, как мы видели, участие его в христианских таинствах. В характеристике этого сотериологического момента мы наблюдаем у Абелярда такую же неотчетливость и спутанность мысли по вопросу о взаимоотношении между объективно-догматической и субъективно-психологической (моральной) его сторонами, какую мы отмечали в его учении об искупительном значении смерти Христовой.
Определяя таинство, как видимый знак невидимой благодати Христовой1045, Абелярд, очевидно, далек от мысли усвоить таинствам только символическое значение. Он с достаточной определенностью говорить о специальной сотериологической «силе» христианских таинств, утверждая, что ради приобщения этим таинствам уверовавший в Искупителя христианин необходимо должен быть членом церкви1046. В частности относительно таинства крещения Абелярд с полной решительностию утверждает его существенно-важный сотериологический смысл, поскольку оно обладает «силою» омывать наши грехи кровию Христовою и, таким образом, открывает нам вход в царство не-
–258–
бесное. Без крещения никто не может войти в него, подобно тому, как в Ветхом Завете Господь постановил, что всякий необрезанный извергается из народа Божия. Хотя такое постановление Божие представляется крайне суровым требованием, поскольку некоторые люди оказывались и оказываются лишенными благ обрезания и крещения не по своей вине, а по физической невозможности быть причастниками этих таинств (как напр., ветхозаветные дети, умершие до восьмидневного возраста, раньше какового возраста обрезание, по Моисееву закону, не могло быть совершаемо, или в Новом Завете люди, умирающие без крещения за отсутствием воды, необходимой для этого таинства), однако, не стремясь проникнуть в тайны Промысла Божия, допускающего одних людей к поименованным таинствам, и отвергающего других, должно, твердо держась авторитета Писания, признавать именно общеобязательную необходимость этих таинств для спасения. Единственным исключением, когда человек и без обрезания и без крещения достигал царства небесного, представляется тот случай, когда он до этих таинств сподоблялся потерпеть мученическую смерть за Христа1047. Основное сотериологическое значение крещения Абелярд полагает в отпущении в нем нам первородного греха. Так как этот грех, или, точнее, гнев Божий, которому мы подпали за преступление прародителей, наложен на нас за чу-
–259–
жую вину, то и отпущение его в крещении мы получаем за чужую веру, – за исповедание восприемников. В этом смысле Абелярд называет крещение легчайшим средством отпущения греха1048. У людей, принимающих крещение в сознательном возрасте, очистительная сила этого таинства простирается и на их личные грехи1049. Будучи, подобно Ансельму Кэнтерберийскому, еще чужд выступающей у позднейших схоластиков идеи о специфически-освящающей благодати крещения1050, а полагая всю сущность христианского сотериологичѳского процесса лишь в достижении человеком полноты нравственного совершенства (активной веры или всецелой сыновней любви к Богу), Абелярд видимо затрудняется выяснить с богословской убедительностию, какое значение, помимо отпущения Богом крещаемому «чужого» прародительского греха, таинство крещения имеет в росте т. с. активного спасения человека, в процессе его нравственной борьбы с грехом, или личного примирения с Богом? В данном пункте мысль Абелярда склоняется к признанию за крещением, равно как и за ветхозаветным обрезанием, значения лишь простого символического обряда. Исходя из убеждения, что лишь вера, неразрывно связанная с любовию, есть единственное основание спасения или оправдания человека пред Богом Абелярд категорически заявляет, что имеющий такую веру человек оправдан уже до обрезания или крещения1051. Но
–260–
зачем же в таком случае установлены Богом обрезание и крещение1052. Эти таинства, не привнося сами по себе чего либо в психологический процесс оправдания человека активной верою, являются лишь богоустановленными внешними знаками, наглядно символизирующими уже совершившееся оправдание1053. Если же допустить, что обрезание и крещение сами по себе обладают оправдывающей силой, а не любовь, или возбуждение нравственной энергии в человеке обусловливает его оправдание пред Богом, то в таком случае мы, по Абелярду, окажемся не в состоянии отразить упрек со стороны иудеев, что и мы, христиане, учим об оправдании посредством «дел закона», т. е. внешних церемоний1054. Не усвояя крещению самому по себе оправдывающей силы, Абелярд относительно крещенных детей замечает, что, они хотя получают от Бога отпущение первородного греха, однако не могут быть названы праведными, так как являются еще неспособными к активной любви к Богу, поскольку именно лишь в этой
–261–
любви и заключается праведность человека, и соединенное с нею блаженство его1055. Если, живя на земле, человек лишь постепенно, возрастая в личных заслугах пред Богом, становится в собственном смысле праведным, то крещенные младенцы, умирающие еще в досознательном возрасте, по Абелярду, делаются причастниками этой активной праведности чрезвычайным образом: они в самый момент своей кончины, видя уготованную им, по милосердию Божию, славу, воспламеняются разумно-сознательной благодарной любовию к Богу, и таким образом сразу приобщаются к этому источнику подлинного оправдания и блаженства1056.
Рассматривая элементы объективно-догматического и нравственно-психологического выяснения Абелярдом таинства крещения в их взаимоотношении, нетрудно видеть, что черты второй из отмеченных концепций заметно преобладают над элементами первой, – что собственное «решение» Абелярдом вопроса о сотериологическом смысле крещения исчерпывается указанием на его значение, лишь как символа, знаменующего уже происшедшее до крещения внутреннее нравственно-психологическое возрождение человека и. следовательно, оправдание его пред Богом. Правда, объективно-сакраментальное значение крещения не отвергается Абелярдом (что в особенности определенно выступает в утверждаемой им безусловной необходимости крещения младенцев), однако очевидно, что Абелярду не удается объективно-догматические черты доктрины о крещении органически связать со своим основным учением о спасении человека лишь активной свободно-сознательной верой, так что те черты в его системе, по справедливому замечанию Гайда, вообще производят впечатление новых заплат на ветхой одежде, – и в частности идее о самой необходимо-
–262–
сти крещения утверждается Абелярдом лишь как necessitas praecepti Dei, а не выводится из самого существа сотериологического процесса1057.
Не менее заметное преобладание нравственно-психологической точки зрения над объективно-сакраментальной выступает и в учении Абелярда о таинстве покаяния1058.
Отмечая, согласно с установившейся уже на католическом западе традицией, три основных момента в таинстве покаяния, – сокрушение, исповедь и сатисфакцию1059, Абелярд усвояет этим моментам далеко не равноценное значение. Покаянное сокрушение Абелярд определяет, как скорбь грешника о своих грехах и отвращение к ним, обусловливаемые сыновней любовью кающегося грешника к Богу1060. Не отрицая безусловно значения за сокрушением, проистекающим из страха грешника пред Богом и наказаниями за грехи, Абелярд объявляет его лишь первою, как бы приготовительною ступенью ко спасению, поскольку такой страх может предохранить человека лишь от внешних греховных поступков, но не выражает еще обращения самой воли его к добру1061. Во всяком случае такого рода сокрушение,
–263–
обнаруживаемое обыкновенно грешником на смертном одре, Абелярд решительно объявляет недостаточным для спасения и сближает со тщетным раскаянием Иуды-предателя1062. Как выражение искренней сыновней любви грешника к Богу, истинное сокрушение само по себе является, по Абелярду, вполне достаточным основанием для примирения грешника с Богом и отпущения ему вины или вечного геенского наказания за грехи, поскольку такое сокрушение служит показателем, что грех, как презрение человека к воле Божией, уже реально-психологически изглажен в душе кающегося, препобежден в ней любовью к Богу. В этом смысле, по Абелярду, и пророк говорит, что грешник будет спасен в тот же час, когда обратится к Богу со вздохом сокрушения (Иез.33:14 по Вульг.), а не в тот год, или месяц, или седьмицу
–264–
или день1063. Такое сокрушение кающегося грешника обусловливает отпущение ему геенских наказаний независимо от других моментов или условий покаяния – исповеди и сатисфакции, если он, в случае, напр., внезапной смерти не будет иметь физической возможности выполнить их1064.
Но если вся сотериологическая сущность покаяния заключается в личных религиозно-моральных переживаниях кающегося грешника, в пробуждении в нем сыновней любви к Богу, то, что остается на долю иерархического участия в этом сотериологическом акте, какое значение имеет сакраментальная исповедь грешника пред священником, и канонические сатисфакции, налагаемые им на кающегося? В характеристике этих моментов покаяния у Абелярда догматико-юридические и нравственно-психологические черты выступают в довольно оригинальном освещении, которое подверглось осуждению со стороны представителей католической ортодоксии. Что Абелярд не чужд мысли о специальном авторитете священника-духовника по отношению к кающемуся, – что сакраментальная исповедь, по Абелярду, не есть такое средство к нравственному оздоровлению, какое христианин избирает совершенно добровольно, но она является церковным установлением, в принципе общеобязательным для всех членов церкви, это можно видеть из оговорки Абелярда, что даже те грешники, которые принесли в своей душе совершеннейшее сокрушение в грехах и потому получили уже прощение их от Бога, должны тем не менее иметь готовность принести и сакраментальную исповедь в них, равно как понести и соот-
–265–
ветствующую сатисфакцию за них1065. Не отрицая, таким образом, сакраментальной исповеди, Абелярд, однако, придает священническому разрешению грешника ограниченное значение. Так как отпущение Богом вечного (адского) наказания за грехи обусловливается, по нему, исключительно личным сокрушением кающегося, то ясно, что священническое разрешение грешника не простирается на отпущение ему собственно грехов или греховной вины. Это разрешение по отношению к собственно греховной вине, очевидно, имеет лишь декларативный характер, т. е. священник лишь объявляет кающемуся от имени Божия об отпущении ему грехов Богом, но это священническое разрешение грешника не стоит в причинной связи с самым отпущением, не обусловливает его и не предшествует ему1066. Специальною же областью, в которой выступает иерархическое участие в процессе спасения грешника путем покаяния, у Абелярда представляется область т.н. временных наказаний или сатисфакций, какие грешник должен принести Богу за свои грехи.
–266–
Учение Абелярда о сатисфакции, с одной стороны, носит достаточно определенный юридический характер и стоит в видимой связи с отмеченным уже нами понятием Абелярда о Боге, как о Владыке мирового царства, который, отворив его ради Своей славы, строго оберегает его закономерный порядок, подвергая отмщению те твари, которые не хотят добровольно прославлять Бога повиновением Его правде, дабы они переживанием самых страданий своих невольно свидетельствовали о неограниченном величии Творца, о непреложности установленного Им нравственного миропорядка1067. По учению Абелярда, Бог, вообще не отпускающий ни одного греха безнаказанным, не освобождает от наказания и тех грешников, которые проявили совершенное сокрушение о своих грехах и чувства сыновней любви к Богу: такие грешники, хотя получают от Бога оставление вечных геенских мучений, однако должны понести временные наказания за свои грехи или в здешней жизни, или в чистилище за гробом1068. Даже за т. н. простительные грехи человек должен понести известную, хотя и легкую сатисфакцию1069. Как сатисфакционное наказание Божие за грехи Абелярд рассматривает всякие вообще страдания, постигающие человека в здешней жизни, и физическую смерть его, при чем особенное сатисфакционное значение усвояет страданиям человека в момент разлучения души с телом, каковые страдания по своей тяжести представляются достаточными для заглаждения какого угодно греха, не подлежащего вечному наказанию1070. По в преимуществен-
–267–
ном значении сатисфакциями Абелярд называет покаянные наказания, или «плоды покаяния» в форме аскетических подвигов, поста, молитвы, милостыни, налагаемые на себя кающимся грешником или добровольно или по определению иерархической власти, в умилостивление правды Божией1071.
Имея, таким образом, виндикативный характер, или значение удовлетворения отмщающей Правде Божией, объективированной в нравственном миропорядке, сатисфакции или наказания, налагаемые Богом на грешника, по Абелярду, вместе с тем имеют и нравственно-исправительное значение для самого грешника, если воспринимаются им с должным нравственным настроением, т. е. с терпением и даже с радостью1072. Как целью мирового бытия является не только слава Божия, но вместе с тем и благо самих тварей, так и смысл налагаемых Богом сатисфакций заключается не только в удовлетворении оскорбленной преступлениями грешника космической правде Божией, но и в личном оздоровлении самого грешника, его возвращении на путь блаженства, т. е. нравственного единения с Богом. Идее о нравственно исправительном характере сатисфакции определенно выражается как в только, что приведенной тираде Абелярда, так и в часто подчеркиваемом у него противоположении их, как именно очистительных наказаний (poena purgatoria) собственно карательным наказаниям (poena damnatoria), каковыми представляются лишь
–268–
геенские наказания. Еще яснее очистительный характер выступает, по Абелярду, в т. н. канонических покаянных сатисфакциях, которые он прямо называет лекарством или пластырем, прикладываемым к душевным ранам грешника1073. Виндикативно-юридическое и нравственно-воспитательное воззрение на сатисфакции так тесно переплетаются у Абелярда, что в некоторых его тирадах не поддаются разграничению1074.
Соответственно двоякому воззрению Абелярда на сатисфакции, двояко обрисовывается у него и значение священника-духовника, налагающего на кающегося грешника те или другие канонические сатисфакции. С одной стороны, есть основания, думать, что власть священника в данном случае Абелярд мыслит как в собственном значении юрисдикционную власть. В пользу такого воззрения может свидетельствовать не только тот факт, что Абелярд настаивает на обязательности исповеди пред священником даже для тех грешников, которые уже примирились с Богом в своем сердечном сокрушении о грехах1075, но и некоторые беглые замечания Абелярда, в которых он характеризует отношения священника к кающемуся, как
–269–
отношения лица, облеченного властию, к подчиненному: так Абелярд говорит, что грешник, доказавший своим греховным поведением свою неспособность вернуться к надлежащему образу жизни, отдает себя в акте сакраментальной исповеди под чужую юрисдикцию, т. е. власть духовника, предписания которой, очевидно, имеют для кающегося уже обязательное значение1076. Особенно же ярко юрисдикционная власть иерархии и налагаемых ею канонических сатисфакций проявляется по отношению к тяжким грешникам, которые за свои грехи подверглись отлучению от самой церкви: такие грешники, хотя бы и примирились с Богом путем искреннего сокрушения в своих грехах, однако полное освобождение от греховных уз и возврат к прежней благодатной жизни в общении с церковию получают лишь через обязательное содействие иерархии, разрешающей их от анафемы, подобно тому, как четверодневный Лазарь, будучи возвращен к жизни непосредственно Христом, освобождение от стеснявших его движения погребальных повязок получил через посредство людей1077. Но если у Абелярда можно находить определенные указания на собственно-юрисдикционную природу священнической власти по отношению к кающемуся, то, с другой стороны, не менее ярки и такие утверждения Абелярда, в которых он характеризует эту власть, как нравственное попечение духовного врача о греховных язвах кающегося. Характерно, что Абелярд с сомнением, как к очень спорному, вопросу относится к идее, что т. н. власть ключей или благодатное право вязать и решать грехи неотъемлемо принадлежит всем иерархическим лицам в силу уже самого их иерархического достоинства, в силу
–270–
их преемства апостолам1078. Сам Абелярд склоняется к той мысли, что эта власть теснейшим образом связывается с личным религиозно-моральным достоинством того или иного иерархического лица, принимающего исповедь кающегося, – что слова Спасителя: имже отпустите грехи и т. д. (Ин.20:23) относятся лично к апостолам, а не свидетельствуют об иерархических правах всех епископов, как вообще апостольских наместников; эти последние являются наследниками той апостольской власти лишь постольку, поскольку, как учил еще Ориген, в своей жизни осуществляют идеал апостольской святости1079. Усматривая основание иерархической власти ключей в предполагаемой большей, по сравнению с мирянами, высоте христианской жизни иерархов, Абелярд основное значение и самой сакраментальной исповеди полагает в том, что священник, как компетентное в духовных вопросах лицо, может назначить кающемуся грешнику соответствующее его нравственной болезни лечение1080. В качестве таковых именно духовных врачей, священники являются и наместниками Христа, Который Сам усвоял Себе это наименование, говоря: не требуют здравии врача, но болящий (Мф.9:12)1081. Подчеркивая так решительно духовно-врачебное значение сатисфакций, налагаемых на кающегося священником, Абелярд настаивает, между прочим, на полной свободе грешника в выборе духовника, подобно тому, как телеснобольной обращается к такому врачу, которого считает наиболее опытным и от которого надеется получить больше пользы1082.
–271–
Учение Абелярда об исповеди (confessio), как одном из основных моментов таинства покаяния, стоит в тесной связи с отмеченным воззрением его на сатисфакцию. Отвергая мнение «некоторых», утверждающих, что исповедывать грехи нужно лишь Богу, а не людям, Абелярд указывает основание церковной практики устной исповеди в словах ап. Иакова: исповедуйте друг другу согрешения и молитеся друг за друга, яко да исцеляете: много бо можете молитва праведного споспешествуема (Иак.5:16)1083. Сотериологический смысл устной исповеди Абелярд выясняет, рассматривая ее как своеобразную форму сатисфакции: открывая свои грехи священнику, кающийся, с одной стороны, переживает мучительное чувство стыда (виндикативный момент)1084, а с другой стороны, извлекает из нее собственную пользу, поскольку дает возможность священнику, как духовному врачу, назначить ему соответствующее бо-
–272–
лезни лечение, не говоря уже о пользе, получаемой грешником от тех молитв, какие в таинстве исповеди священник возносит за кающегося1085.
Абелярд замечателен в историй средневековой католической мысли, как первый по времени богослов-полемист против индульгенций, при чем полемические выпады его направлены не только против злоупотреблений индульгенционной практики, но имеют и принципиальный характер1086. В основе полемики Абелярда против индульгенций лежит мысль, что сатисфакционные наказания, которые несет кающийся по определению покаянных канонов, в строгом соответствии с качеством своих грехов, имеют в виду пользу самого же кающегося, заглаждая его вину пред Богом, способствуя его нравственному исправлению, и освобождая его от более мучительных наказаний здесь или в чистилище правдой Божией, которая не отпускает ни одного греха безнаказанным, а за каждый карает, как должно1087. Отсюда, если те духовники, которые, по незнанию канонов, налагая на кающегося меньшую сатисфакцию, чем какая требуется характером того или другого греха, приносят вред кающемуся, то тем более заслуживают осуждения те духовники, которые вводят в такую опасность своих пасомых по корыстолюбию, за деньги облегчая им покаянные сатисфакции или даже совершенно освобождая от них1088. Абелярд с негодованием отмечает, что не только приходские священники, но и епископы повинны в этой страсти любостяжания: под предлогом якобы христианской любви, а в действительности по корыстолюбивым побуждениям, они по случаю тех или других церковных
–273–
торжеств (освящение храмов, алтарей, усыпальниц и т, п.) делают объявления, что богомольцы, принявшие участие в этих торжествах, получать за такой подвиг отпущение то 3-й, то 4-й части канонических сатисфакций, каковые обещания, действительно, привлекают толпы паломников, приносящих щедрые пожертвования в церковную казну1089. Отмечая нравственную неблаговидность побуждений, какими руководится иерархия, раздавая индульгенции кающимся, Абе лярд оспаривает и ту богословскую аргументацию, на которой она обосновывает свою индульгенционную практику, именно, что епископы, будучи преемниками полномочий, данных Христом апостолам в словах: имже отпустите грехи, отпустятся им, и имже держите, держатся (Ин.20:23), в силу этих полномочий, могут по своему усмотрению отверзать и затворять двери в царство небесное1090. Но если
–274–
епископы действительно обладают такими полномочиями, возражает Абелярд, то почему им не отпускать не 3-ю или 4-ю часть сатисфакционных наказаний грешникам, а – половину или полностью? Даже не жестоко ли в их стороны допускать чью-либо погибель, раз в их руках имеется такое всемогущее средство даровать всем спасение?1091. Нелишне отметить, что эта аргументация Абелярда почти буквально предвосхищает 82-й и 84-й тезисы из знаменитых положений М. Лютера «о силе и власти папских индульгенций»1092.
А. Орлов
(Продолжение следует)
Смирнов И. М., свящ. Материалы для характеристики книжной деятельности Всероссийского митрополита Макария1093 // Богословский вестник 1916. Т.2. № 6. С.275–291 (2-я пагин.). (Окончание.)
Последовательное и дословное сличение текстов древнего перевода1094 и исправленной редакции Досифея1095 прежде всего приводит нас к той мысли, что действительно в основу своей редакции, как готовый уже материал, Досифей положил древний перевод.
Достаточно взглянуть, напр., на удержание Досифеевским текстом целого ряда графических погрешностей древнерусского списка первого перевода, чтобы исчезли всякие сомнения на этот счет.
| Древний перевод (Ркп. М. Син. Б-ки № 551) | Досиф. редакция (Ркп. М. Син. Б-ки № 216) |
| 1. «ꙗ̑ко и̑ а̑рии̑ (=δρακονάριος) нѣк̑то повѣда». – гл. 24 | «ꙗ̑ко а̑рїи нѣкто повѣда» 139о. II. |
| 2. «нарицає́мьй а̑къкива» (=Nακκιβᾶ) 36 гл., 190. | «нарицає́мый а̑ѓкива» 142о. 1. |
| 3. «и̑гᲂуменъ житиꙗ̑ въ о̑бьща. а̑в҆ва к̑сан́нᲂу» (=τοῦ Ἁβαξάνου), 66 л. 120 сл. | «въ ѡ̑б́щє҆̀ житїи а̑ввы ксан́фїа» – 162 об. 1, 119 гл. |
| 4. Тъ же а̑в̀ва стєфан. страньникъ (=стрᲂуньникъ, Тριχίνας), гл. 74, 39 л. | «Ав́ва стефанъ стран́никъ», 1500. гл. 73. |
–276–
| 5. «павлосъ. о̑тъ лагати (=Γαλατῶν) страны», 86о, 163 гл. | «павелъ ѿ страны лагатїискїа», 173, I; гл. 162. |
| 6. «бѣ же а̑в̾ва меᲂу̑сь» – (=ἐξ Ἀπαμειας) 205 гл., 106 л. | «бѣ же тамо а̑вва меᲂу̑съ» – 182о. 1; гл. 204. |
| 7. «въ клѣти а̑в̾ва григориіе̑вѣ» (=Εὐαγρίου) – 254 гл. | «в̾ килїи а̑в̾вы григѡѡрїа̀» – 191. II; гл. 253. |
| 8. «павла клн̾днта» (κανδιδάτου) – гл. 266, 130о. | «павла кон̾дита» – 194о. II; гл. 265. |
| 9. «ꙗ̑ко и̑ Лотъ (=лю́тѣ, χᾰλεπῶς) съгрѣшивъ», 313 гл., 174 л. | «и̑ чреⷥ҃ е̑стество ꙗ̑ко же Лотъ ѡ̑сквернисѧ», – 216, I; 312 гл. |
Вся разница между тем и другим текстами, вся новость Досифеевского изложения по отношению к древнему может быть указана исключительно лишь в тех местах Патерика, которые являются соответствующими параллелями к испорченным «иностраньскими пословицами» и «небрежением преписающих» его отделам.
Правда, у Досифея мы наталкиваемся и на одну довольно значительную вставку в текст 45-й главы, но ее нужно принять только как за лишнее доказательство разносторонности авторской начитанности в древнерусской письменности. Это место попало в Досифееву редакцию не из к. л. греческого оригинала Λειμών՛а, но только из славянского Хронографа.
| Досиф. редакция (Ркп. №216) | Хронограф (Ркп. М. Син. Б-ки № 434) |
| ... «цр҃ь ̑Анастасїе спѧщꙋ е̑мᲂу видѣ во снѣ мᲂуа ст҃ршна. и дръжаща свитокъ. и̑ ее раꙁ̑гнᲂув̾ша. и̑ а̑настасїаво и̑мѧ̑ ѡ̑брѣт̾ша. и̑ рек̾ша к немᲂу с лютостїю. бл҃гочⷭ҇тїе ᲂу̑бо бг҃ъ видѣвъ еꙁекїе̑вѡ, почте его животоⷨ дол̾гыⷨ» и т.д.; л. 140о. 2. | «Сему̀ спѧщꙋ приключи́лосѧ ему видѣти во снѣ̀, мꙋжа страшна держа́ща хартїю̀ въ рꙋку̀ свое́ю и сию̀ раⷥ҃гну́вши а̑наста́сиево и̑мѧ обрѣте. и к нему ре́кша с лютостїю Бг҃ъ ви́дѣ, иезекїи́лево бл҃гоче́стие почтѐ его̀ живото́мѣ до́лгимъ», и т. д.; л. 398о. |
–277–
Недостатки древнего перевода, по мнению Досифея, состояли, во 1-х, в употреблении «старых и иностраньских пословиц» [т. е. оставшихся без перевода греческих слов весьма разнообразной терминологии]; и, во 2-х, в неудобопонятности некоторых выражений, которые он сам относил во всем их объем к «небрежению и неисправлению преписающих», но которые, в сущности говоря, зависели не мало и от некоторой неопытности древнего переводчика.
I. Посмотрим, как Досифей выполнил свою задачу в первой ее половине, т. е. что он сделал (в смысле «поновления») с непереведенными греческими словами, чтобы придать им (якобы) удобоприемлемый для современных ему читателей вид. Терминологии церковно-богослужебного и догматико-богословского характера мы касаться не будем: – в силу своей непосредственной связи с самою богословскою мыслию русского человека, она должна быть родственна сознанию Досифея и потому не требовала пояснения. Остальную же (т. е. домашне-житейского обихода) терминологию, в виду ее многочисленности и разнообразия, классифицируем следующим образом.
| Рук. М. Син. Б-ки № 551. | Рук. М. Син. Б-ки № 219. |
| Жилища и их устройство. | |
| 1., Носохомиꙗ̑ (νοσοκομεῖον), 8 гл. | «престави сѧ в носокомїи», 1370. I. |
| 2., Пур̾гнонъ (πυργίον, τὸ), 12 гл. | «вз̾ыде в лав̾рᲂу пнр̾гїѧ», 138. 1. |
| 3., триклинъ (τρικλινον, τὸ), 97, 306 гл. | «и҆дѧше в храминоу“ 154о. I, 96 гл. |
| 4., крувукано̑нъ (κουβούκλιον, τὸ), 170 гл. | «прїиди на дроугꙋю странꙋ», – 175 л. II, 169 гл. |
| 5., поллта (παλάτιον, τὸ), 267 гл. | «и҆ введоша мѧ к немоу в полатоу», – 1960. II, 266 гл. |
–278–
| Пища, одежда, обувь. | |
| 6., (є̑) фодно̑нъ (ἐφόσιον, τὸ), 285 гл. | «ѿпоусти є҆г̑ѡ», – 2050. I, 284 гл. |
| 7., сак̑комахионъ (σακκομάχιον, τὸ), 95, 145, 178 гл. | «на сєбѣ и̑мый саккамахїонъ», – 154. II, 94 г. |
| 8., катонотин (κατανόχιον, τὸ), 178 гл. | «дахъ же є̑му поꙗ̑съ оусмїꙗнъ», – 1760. II, 177 гл. |
| 9., тер́миѥ̑ (θερμίον, τὸ), 178 гл. | «кᲂупив на девѧть мѣдниць нер̾мїа», – 176о. II, 177 гл. |
| 10., сагы (σάγη, ἡ), 63 гл. | «сан̾далїа», 62 гл. 149, I. |
| 11., мантиꙗ̑ (μαντίον, τὸ), 109 гл. | «ман̾тїꙗ», 160. I, 108 гл. |
| 12., хламида (χλαμύδιον, τὸ), 131 гл. | «в̾ бѣлы ризы ѡ҆дѣꙗ҆ны», – 165о. I, 130 гл. |
| 13., стихарь (στιχάριον, τὸ), 155 гл. | «ризоу власѧноу и̑ ман̾тию», – 166 л., I, 132 гл. |
| 14., пално̑нии (παλλίον, τὸ), 155 гл. | «имѣх же вещь нѣкоую нарѣцаемоую паллиѡ̑нїи», – 170о. II, 154 гл. |
| 15., маꙀарио̑нъ (μαζάριον, τὸ), 228 гл. | «нос҆ѧ мазариѡ҆нъ», – 185, II, 227 гл. |
| 16., малакиꙗ̑ (μαλάκιον, τὸ), 95 гл. | «плетын кѡшнїца гл҃ємыꙗ малакїѧ», – 154, II, 94 гл. |
| 17., сигьна (σίγνον, τὸ), 95 гл. | «и̑дѧшє въ свое пребывалище», – 154, II, 94 гл. |
| 18., ѿ сивниа (σίβινον, τὸ), 159. 162. | «и̑моущи ризы власѧни, и милоторѧ лежаща блиⷥ҃», – 172 л. I, 158 гл. |
| 19., мелотарь (μηλωτάριον, τὸ), 159 гл. | |
| 20., коловии̑ (κολόβιον, τὸ), 162 гл. | «носѧща ѿ сивина коловїи сирѣчь. и̑ли власенᲂу ризᲂу. и̑ли ѿ прᲂутїа ᲂу̑строє҆нꙋ», – 172, I, 161 гл. |
–279–
| 21., маргенни̑ (μαργόνιον, τὸ), 164 гл. | «взеⷨ҃ ѡ҆ влагалїща свое҆го. нѣкое блⷭ҇гвнїе», – 163 гл. |
| 22., є̑у҆логиꙗ̑ (εὐλογία, ἡ), 164 гл. | |
| 23., камасии̑ (καμάσιον, τὸ), 165 Гл. | «извративъ камилавъ свой», 1730. I, 164 гл. |
| 24., коусоулнони (κουσσούλιον, τὸ), 204 гл. | «дати мн все еже на пишоу», – 203 гл., 1820. I. |
| 25., канискы (κανίσκιον, τὸ), 228 гл. | «дѣлаꙗ пленицю», – 185, II, 227 Гл. |
| 26., конопно̑нъ (κονώπιων), 229 гл. | «дѣлꙋю҆щᲂу ми конопїѡ҆на», – 1850. 1, 228 гл. |
| 27., ѳелонь (θελόνιον, τὸ), 245 гл. | «двѣ ризѣ», – 188, II, 244 гл. |
| 28., кер̾ма (χρῆμα, τὸ), 262 гл. | |
| 29., е̑у̏крась (εὐκράς, τόῦ), 264 гл. | |
| 30., серис(ъ) (σερῆς), 264 гл. | «ꙗ҆дѧшеⷤ серес трезима зелїе», – 1840. I, 263 гл. |
| 31., троꙀнма (τρόζημα), 264 гл. 11096). | |
| 32., каѳара (καθαρός), 293 гл. | «и҆сьпроси и҆ и҆на потребнаа̀», – 293 гл., 208, I. |
| 33., марсипио̑нъ (μαρσὐππιον, τὸ), 294 гл. | «забыша е҆диноу ризоу», – 208, II, 293 гл. |
| 34., съмндаль (σεμίδαλις, ἡ), 262 гл. | «даꙗ҆ше семидаⷧ҇», – 194, I, 261 гл. |
| 35., посмагы (παξαμᾶς, ᾶ, ὁ). 262, 263, 311 гл. | «посмаги намочивъ», «посмаги даꙗ҆ше», – 194, II, 262 гл. |
| Орудия хозяйства, сосуды, экипажи. | |
| 36., лекътикиꙗ̑ (λεκτίκιον, τὸ), 39 гл. | |
–280–
| 37., ковъкалъ (καυκάλιον, τὸ), 20. 63 гл. | «древенъ сосуⷣ», 39, I, 41 гл.; «сосуⷣ древѧнъ», 149, I, 62 гл. |
| 38., моуꙀикио̑нъ (μουζίκιον, τὸ), 101 гл. | «и̑ вложи к̾ сосоуⷣ. и̑ положи въ своеⷨ҃ ков̾чецⷤе» , 157, II; гл. 100. |
| 39., а̑рмарии̑ (ἀρμάριον, τὸ), 101 гл. |
| Животные, растения, деревья, части человеческого тела. | |
| 40., кантилномъ (κανθήλιον, τὸ), 134 гл. | «влачахоу на л̾вѣ водоу каи̾пїли. и҆ ком̾рогї и҆мᲂущи четыре», 167, I; 133 гл. |
| 41., моурикии̑(на) (μυρίκινος, τὸ), 20 гл. | «и древа мꙋріикїина ѡ҆брѣтохоⷨ҃», 18 гл., 138о. II. |
| 42., а̑фродонъ (ἀφεδρών), 54 гл. | «всѧ ноутренѧꙗ е҆го а҆федроноⷨ҃», – 1460. II; гл. 53. |
| 43., платанъ (πλάτανος, ἡ), 92 гл. | «въ днѣ ѡ҆плотꙋ сътворив̾ же в неⷨ҃ малы д̾верца», – 153, II, 91 гл. |
| 44., фуинка (φοίκιξ, ικος, ὁ), 153 гл. | «и̑ финикн точїю вкᲂушаю̑ща», – 1700. I, 152 гл. |
| 45., боуволь (βούβαλος ὁ), 163 гл. | «ѿ кожь бывалиⷯ҃», 173, I, 162 гл. |
| 46., ваии̑ (βαΐον τὸ), 205 гл. | «еже в̾зѧти ваи҆ѧ», 1820. I, гл. 204. |
| 47., каркинь (καρκῖνος, ὁ), 72 гл. | «и̑мᲂущꙋ на сосцѣ кар̾кинъ», 150, II, 71 гл. |
| Светская судебно-административная и общественного благоустройства терминология. | |
| 48., ноутарии̑ (νοτάριος, ὁ), 40 гл. | «е҆динъ ѿ натареи его ꙋкраде е҆мᲂу» |
| 49., комись (κώμης), 45 гл. | «въстѡч̾нын комисъ, и҆менеⷨ҃ ефрѣмъ», – 1480. II, 41 гл. |
–281–
| 50., патрикии̑ (πατρίκιος, ὁ), 58, 281 гл. | «жена гер̾мана патрикїа», 148, II, 58 гл. |
| 51., доук̾съ (δούξ), 60 гл. | «бывый дᲂу́к̾съ в̾ палестин», 1480. I, 59 гл. |
| 52., митрополь (Μητρόπολις, ἡ), 61. 63 гл. | «скиⷮскыи҆ граⷣ҃. в̾торыꙗ ст҃ы́нї е҆сть митрѡполь», 149, I; 60 гл. |
| 53., а̑в(г)оусталии̑ (Αὐγουστάλιος, ὁ), 94. 288. 309 гл. | «послан̾никъ скѡрыи. на кѡни ѿ а҆в̾гᲂустолїа прїйде», – 154, I; 93 гл. |
| «чины а̑у̑гᲂусталиꙗ̑», 156 л., 388 гл. | «ѿ цр҃ьскїа полаты», – 206о. II; 287 гл. |
| 54., пнстикъ (πιστικός, ὁ), 101 гл. | «и҆машеⷨ҃ раба и̑менеⷨ҃ пистика бл҃гочтⷭ҇ива», – 157, II; 100 гл. |
| 55., схоластикъ (Σχολαστικός, ὁ), 127 гл. | «и҆о҆а҆нъ схоластикъ», – 1640. I; 126 гл. |
| 56., сопистись (σοφιστής, ὁ), 137 гл. | «съпистисъ» – 1680. I; 136 гл. |
| 57., софистись 187 гл. | «с съфистѡⷨ҃», – 1780. I; 186 гл. |
| 58., а̑нагностъ (ἀναγνώστης, ὁ), 246. 198 гл.1097). | «нагностᲂуⷨ҃ и зоилꙋⷨ҃», – 1880. I; 245 гл. |
| 59., филар̾хь (φύλαρχος, ὁ), 220 гл. | «наманаⷭ҇ и̑же срачиноⷨ҃ филар̾хъ», 184, I; 219 гл. |
| 60., коупоурь (κηπουρός, ὁ), 223 гл. | «ертоградар̾», – 184о. II; 222 гл. |
| 61., гео̑на (γείτων, ονος, ὁ), 229 гл. | «к вратоу близъ теве жївᲂущемᲂу», – 1850. II; 228 гл. |
| 62., а̑погогнꙗ̑ (ἀπογωγή, ἡ), 246 гл. | |
| 63., скривонъ (σκρίβων, ὁ), 251 гл. | «един ѿ бл҃городныⷯ», – 1890. I; 250 гл. |
| 64., канди(дл)тъ (κανδιδᾱτος, ὁ), 266 гл. | «павла кон̾дита»1098, – 1940. II; 265 гл. |
–282–
| 65., трапеꙀьннкъ (τρᾰπεζίτης, ὁ), 266 гл. | «и҆де на тор̾жїще», – 195о. I; 265 гл. |
| 66., коумеркнийрин (κουμερκιἀριος, ὁ), 267 гл. | «соущꙋ ми рече кꙋмеркїарїю. сирѣⷱ҇ дани збирателю», 196, II; 266 гл. |
| 67., топотрить (τοποτηρητής, ὁ), 267 гл. | «к симⷤъ сотвори и̑ топотрита», 1960. II; 266 гл. |
| 68., игемонъ (ἡγεμών, ὁ), 270 гл. | «прїиде гемѡнъ», 1980. I, 269 гл. |
| 69., кавидарио̑нъ (καβιδάριος, ὁ), 284 гл. | «е̑го наречеⷮ кавидарѧ», – 205, I; 283 гл. |
| 70., сун̾клитикии̑ (συγκλητική, ἡ), 287 гл. | «нѣкаа синьклитики», 206, I; 286 гл. |
| 71., прѣторъ (πραίτωρ, ὁ),288 гл. | |
| 72., драконарии̑ (δρακоναριος, ὁ), 24 гл. | «повѣда наⷨ҃ нѣкиѝ ѡ̑ц҃ь ꙗ҆ко а҆рїи нѣк̾то повѣда ми», 1390. II; 28 гл. |
| 73., и̑нихъ (ἡνίοχος, ὁ), 205 гл. | «минха и̑мыи с собою̀», 1820. I; 204 гл. |
| Монеты, меры веса. | |
| 74., фомера (φολερόν), 78 гл. | «сщ҃нїю̀ фомера»1099, 151, II; 78 гл. |
| 75., кератъ (κεράτιον, τὸ), 263 гл. | «старецьⷤ҃ начерьташе е҆диною чер̾тою. рек̾ше керать», – 194 II; 262 гл. |
| 76., литръ (λίτρα, ἡ), 267 гл. | «пѧⷮ литръ злата», 1960. I, 266 гл. |
| 77., кен́тинарь (κεντηνάριον, τὸ), 276 гл. | «дасть е҆пⷭ҇кᲂупᲂу злата три кентинарѧ», 201, II; 275 гл. |
| Морская терминология. | |
| 78., кольнъ (κόλπος, ὁ), 73 и 74 гл. | «левъ ꙗ҆висѧ въ тростїи», 150о. I; 73 гл.1100. |
–283–
| 79., навъклиръ (ναύκληρος, ὁ), 98 гл. | «нав̾клїра корабленаго», – 154о. II; 97 гл. |
| «видѣв̾ же е҆го нав̾клиръ», 158о. I; 100 гл. | |
| 80., скоупелъ (σκόπελον, τὸ), 103 гл. | «въ скꙋпель», – 157о. II; 101 гл. |
К этой же категории непереведенных слове можно присоединить и следующие:
| 81., дѣмони (δημός, ὁ, «д. и̑ войни», 94 гл., 47 л.) | «войни игѣмонови (восхотѣша)», 1530. II; 93 гл. |
| 82., о̑ димотѣхъ (ἐρῐ τῶν δημοτῶν, «ꙗ̑ко же о̑ д.», 207 гл. 107 л.). | |
| 83., (въ) сукритѣ (ἐν τῷ σηκρήτῳ, «вндѧше и̑ въ с.», 274 гл., 1390.). | |
| 84., къ о̑льки (πρός τὴν ὁλκὴν, «о̑брѣте къ о. ѫ̑же дасть и̑мѫще и̑ꙁобила», – 150 л., 281 гл.) | «и҆ ѡ҆брѣте болши свое҆го злата в неⷨ҃», – 2030. I; 280 гл. |
| 85., домысна1101 (τά δημοσία, «д. о̑брѣтає̑мъ», 116 л. 238 гл.) | «покоꙗ̑ в̾зыскᲂуе҆мъ», 1870. I; 237 гл. |
| 86., паналии̑скыѧ҆ (τῆς παραλίας, «гради п. финнкнꙗ̑». 61 гл.) | «палоша гради. паналїискїа финикїа», – 149, II; 60 гл. |
| 87., и̑пираи̑ (τῆς ἠπείρου, гора же межю селевькнє̑ю̑ и̑. и̑ росо килики килнкиѭ̑», 102 гл.) | «гораⷤ҃ междᲂу селев̾киею и̑ сорокиликїею, нарицае҆ма, и҆пираѝ», 1570. II; 101 гл. |
| 88., въ е̑Ꙁории̑ (ἐν τῆ ἐξορία, «ᲂу̑мьре въ е.», 91 л., 169 гл.). | «е҆гⷣа ᲂу҆мре...въ е҆ксорїи», 175, I; 168 гл. |
| 89., пролимись (πρόληψις, ἡ, «Ꙁъелоуѫ̑ п.», 227 гл.) | «зьлоую волю», – 185, II, 226 гл. |
–284–
| 90., сфекла (σπέκλον, τό, «нс о̑ставн ни с.», 128о., 262 гл.) |
Итак, что же мы видим? –
1., Бо́льшую половину (54 №№ из 90) перечисленных непереведенных греческих слов древнего текста Досифей оставил в неприкосновенном виде [1. 2. 3 (=212 гл.). 5. 7. 9. 11. 14. 15. 16. 18 (=161 гл.). 19. 20. 26. 30. 31. 34. 35. 40. 41. 42. 44. 45. 46–59. 64. 66–70. 72–77. 79. 80. 86–88], даже с сохранением прежних описок [64. 72. 86]; частичные видоизменения некоторых из них [так напр., «тер́миꙗ̑» (от θερμίον, τὸ) перешло в «нер̾мїа»; «каннилиомъ» (от κανθήλιον, τὸ), приняло неузнаваемый вид «каи̾пїли. и҆ ком̾рогї» и пр.] менее всего могли способствовать уяснению их смысла.
2., Третью часть он пробовал переводить, или, вернее, перелагать по смыслу на попятную славянскую речь, но, за редкими исключениями [3 (– 96 гл.). 13. 21. 22. 27. 37. 60],весьма неудачно. Напр. «катонокин̑» (– τὸ κατανόχιον, головное покрывало) передано – «поꙗ̑съ оусмїꙗнъ» (8); «сагы» (σάγη, ἡ, платье) – «сан̾далїа» (10)1102); «сигьнл» (σίγνα, τὸ), signum – полковое знамя; когорта) – «пребывалище» (17); «камасий» (καμάσιον, τὸ – sagum – толстый плащ) – «камилавъ» (23), и мн. др. случаи, см. выше №№ – 12. 18 (– 158 гл.). 24. 25. 32. 33. 38. 39. 43. 61. 63. 65. 78. 81. 84 (– весьма свободно). 85. 89.
В 3-х, наконец, десятую долю этих слов он совсем выбросил (см. 6. 28. 29. 36. 62. 71. 82. 83. 90. №№), очевидно отчаявшись в возможности когда-либо «познати силу, лежащую в них».
След., слова Досифея о том, что он в своем труде древний текст патерика «преписал и перевел чисто», «поновил» его, «отгнав потемнение, и показав в них первые сладости зарю», – по отношению к значительнейшей части (53 из 90 №№) «иностраньских пословиц» совершенно несправедливы. Без риска по отношению к истине,
–285–
редактор подобные выражения мог применить только к одной трети слов разобранной категории, причем самый процесс исправления, если дело брать по существу, нужно понимать весьма своеобразно. После анализа, мы больше оснований имеем говорить не об устранении неясных мест патерика, но скорее о дальнейшем затемнении их подлинного смысла.
Само собою понятно, что применение Досифеем таких упрощенных способов «исправления», как оставление в прежнем виде одних непонятных греческих слов, выбрасывание других, а в особенности беззастенчивость в «поновлении» третьих, – было вызвано исключительно отсутствием у редактора и знания греческого языка, и наличности греческого оригинала патерика1103.
II. Не отличаются новостью редакторские приемы и при исправлении тех, не особенно удачных (б. ч. там, где рассказ принимает оттенок отвлеченного рассуждения) мест древнего перевода, невразумительность которых Досифей объясняет небрежностью переписчиков. По-прежнему мы видим или, во 1-х, пересказ, т. е. свободную передачу Досифеем того смысла, который должен был, по его мнению, скрываться под той или другой темной фразой; или же, во 2-х, простое устранение (там, очевидно, где редактор не в состоянии был прибегнуть к «разъяснению» неясных частей текста.
1. Следующие сопоставления достаточно характерны в качестве примеров независимого переложения Досифеем некоторых патеричных рассказов древнего перевода.
| Рук. Моск. Син. Б-ки. № 551. Глава 86. | Рук. Моск. Син. Б-ки. № 216. Глава 85. |
| 1., «постьникы. колико прѣтрьпѣша. колико подвиꙀаша сѧ | «такоⷤ҃ и҆ бл҃нїѝ постннци колико претерьпѣша. в̾ постѣ и̑ |
–286–
| немощи тѣлесьнѣй. дх҃вьнымь мᲂуьствомь о̑долѣвше. въ нѧ же надѣа̑ше сѧ. благыꙗ̑ сᲂущимъ болѣꙀньмъ достойнѣша причаꙗ̑въше. прии̑мъше же сѧ. каꙀахᲂу ꙗ̑же на комь е вѣра и̑Ꙁвѣстаꙗ̑ | о̑во е ꙗ̑ко поболѣвъше мало» … и т. д. л. 44о. | въ мл҃итваⷯ҃. и̑ в различныⷯ҃ злостраданїихъ. колико подвиза́ше сѧ. немощи телеснѣѝ. дх҃вныⷯ҃ мᲂуьствоⷨ҃ ѡ҆́долѣвше и҆ надежею̀ бл҃гыⷯ҃ о҆ всѣⷯ҃ скор̾бехъ и҆ болѣзнеⷯ҃. не радиша. и҆ достойны дары прїѧ҆ша. по кое̑гожⷣѡ вѣре. всѣⷨ҃ и҆звѣстѡва́хᲂу. | иⷤ҃ поболѣша зⷣѣ малѡ» … и т. д. 152о. 2. |
| Глава 207. | Глава 206. |
| 2., ... «в̑сѧ бо намъ к̑нигы на польꙀѫ сѫть. печали творить не малы бѣсомъ. не тако же и҆мъ печаль творить ꙗ̑ко п́сал̑тырь. ꙗ̑ко же о̑ димотѣхъ. а̑ще о̑дина чѧсть цр҃ѧ славить. дрᲂугаꙗ̑ же чѧсть не печалᲂуѥть. ни походить на нѧ1104. ѥ̑гда же въ ѫ҆кориꙁнии̑ о̑братѧть сѧ. въ и̑нѣхъ к̑нигахъ. ꙗ̑ко о̑ п̑сал̑мѣхъ. поᲂу҆чаѭ҆ще сѧ п̑сал̑момъ. о҆во о҆ себѣ молимъ о̑во же бѣсы кльнемъ». – 107 л. | ... «и҆ всѧко писанне полезно е наⷨ҃, и҆ много ѡ҆скор̾блѧе̑тъ бѣсы. но не такѡ ꙗⷦ҃ же п̾салом̾нѡе поᲂученїе. подобае̑т̾ е наⷨ҃, ѡ҆бои̑ми частьми славити бг҃а. псаломныⷨ҃ поᲂучн҃їемъ, и̑ прочиⷨ бжⷭ҇твеныⷨ писанїеⷨ. поᲂу̑чаю̑ще сѧ бо во п̑са́лмѣхъ, о҆̀вѡ ѡ҆ себѣ мо́лимъ сѧ, о҆̀вѡ жѐ бѣ́сы проклина́емъ». – 182о. II – 183, I. |
| Глава 246. | Глава 245. |
| 3., … «о̑бѣща1105 брашьна. постьланиꙗ̑ сънѣдениꙗ̑. и̑ вьсего больша ѿлᲂучениꙗ̑. и̑ съмѣрениꙗ̑. и несънисканиѥ̑ | ... «ѿтвѣща ѡ҆бѣма е҆дино брашно и҆ питие. и҆ на хᲂудѣ постеле леганїе. и҆ всего бол̾ше ᲂу̑даленїе ѿ всего. и҆ смиренїе, и҆ нестежа- |
–287–
| и҆ довълѣниѥ̑». л. 118. | нїе. и҆ е̑же довлити сѧ хᲂудыми.» – 1880. I. |
| Глава 205. | Глава 204. |
| 4., … «о̑диноѭ̑ же о̑долѣша ѥ̑му ван̑ѥ̑мь. въсташа и̑же на часть. | ѥ̑го ꙁовᲂуще ѳилиримъ. въ градѣ ваи̑нъ не въꙁьметь». об. 106 л.1106 | «..и҆ въ е҆динъ дн҃ь възваша е҆го нѣцїи с чтⷭ҇їю. въ граⷣ ее в̾зѧти ваи̑ѧ́. ѡ҆́н̾ же рече ѳїлернⷨ҃ въ гради ванѧ. не в̾зимае҆т». – 1820. I и II ст. |
| Глава 314. | Глава 313. |
| 5., … «и̑ нѣкъде въ тайныхъ грѣхъ сѧ҆ ѥ̑мᲂу мышлѧа̑ше. о҆баче о҆бычай прьвыхъ веда꙼ше. еще нѣкако трᲂудьника. ꙗ̑ко потѧгы сп҃саше сѧ». – 177 л. | … «и̑ тѣлоⷨ҃ и҆знемогаше но мало ᲂу̑дръеваше себе перваго ради ѡ҆бычаꙗ.» – 217, II.1107 |
В других же случаях Досифей прибегал уже к форме комментария, напр.
| Глава 306. | Глава 305. |
| «онъ е ре҆че ѥ҆мᲂу. а҆ще бы не вѣдѣлъ господи҆нъ домᲂу҆ ꙗко дымъ вълаꙁить двьрьцами҆. то не бы ꙁагради̑лъ». л. 166 об. | «ѡ҆н̾ е реⷱ҇ е҆мꙋ. а҆ще бы не видѣлъ гнⷭ҇ъ домᲂу ꙗ̑ко дыⷨ҃ входить двер̾цами не бы иⷯ҃ заградилъ си рѣчь преⷤ҃нѧго ради зрѣнїа е҆же на женᲂу попꙋсти б҃ъ ѡ҆сле(п)нꙋти е҆мᲂу и҆ загради ѡ҆чьныꙗ̑ двери». – 212, I. |
Или еще пример. В тексте древнего перевода 178 гл. есть не совсем ясная фраза: «дѣла дѣланиꙗ҆ въ ꙗ҆мѣ» (– «ἔκαμνεν ἐργασίας εἰς τόν λάκκον (– in eo lacu)", MPSG. 873, 2997 col.). Судя по греческому дополнению – «ὄν ἐποίει», – опущенному в славянском переводе, здесь речь идет о вы-
–288–
рытии водоема, пруда. Досифей же объяснил так: «дѣлаше въ ꙗ̑мѣ рꙋдᲂу копаꙗ̑ ꙁлатᲂую» (177 гл., 1760. 2.).
2. Гораздо чаще Досифей пользовался более легким способом обойти затруднительные для понимания места. Копюры безнадежных (в смысле уловления к. л. Подходящего к данному моменту смысла) целых частей и отдельных фраз в новой редакции начинаются уже с первых ее листов.
| Глава 3. | Глава 3. |
| 1., «(а꙼р꙼хиепискᲂупъ) въсхотѣ о꙼тълᲂучити диꙗ҆конисᲂу женᲂу꙼ тогда. нъ сего не сътвори. понеже не прии҆махᲂу тᲂу сего живᲂущий тᲂу». – об. 4 л. | [ ] 136о,. 2. |
| Глава, 29. | Глава 28. |
| 2., «въ ѥ̑динъ же посъла и̑ принести просфоры. и҆ и҆ды въ манастырь. носѧ1108 проскомидию ст҃го въꙁнесениꙗ̑. ꙗ̑ко въ чинъ стихологиꙗ̑». – 130 | [ ] «ꙗ҆ко в̾ чинᲂу чет̾ца». – 1400. 1. |
| Глава 100. | Глава 99. |
| 3., … «а̑ꙁъ иже приложена принесᲂу къ тебѣ помощи. и̑на бо отравьникомъ и҆ дрꙋгоѥ ꙗ̑ко раꙁбойникомъ. и҆ и҆нако ѥ҆сть лихоймьцю. помаганиѥ҆. и҆ дрᲂугаꙗ̑ лѣчьба лъжю. и̑ и̑нако ꙁълопамѧтьникᲂу. и̑ и̑нѣмь исцѣлѧѥ̑ть тать. и҆ дрᲂугоѥ ꙗ̑ко рѣблᲂудьникъ вра- | … «а̑зъ тебѣ подобно сотворю̀ врачеванїе». [ |
–289–
| чюѥ꙼ть сѧ. и҆ да ти м̑ного страдании̑ не наричю. ꙗ̑ко и̑ о̑ плътьскыхъ болѣꙁньхъ раꙁличьномъ сᲂущемъ. раꙁличьна видимъ и҆сцѣлениꙗ̑. тако и҆ о҆ дш҃ьныхъ недᲂуꙁѣхъ. и҆нѣмъ и҆нацѣмъ сᲂущемъ. и҆ны и҆мᲂуть врачьбы. о҆нъ е вельми въꙁдъхнᲂувъ.». – 53 л. | ] ѡ҆н̾ же вел̾ми въздохнᲂувъ». – ibid.1109 |
| Глава 101. | Глава 100. |
| 4., ... «гражане же и҆ насельници. и҆ домачѧдьци. и҆ страньствᲂуѭ҆шии̑. ѥ̑лико же по ꙁемли ходѧть. и҆ ѥ̑лико же море плаваѭ҆ть. мᲂужи и жены и҆ старьци. и недорастъше и҆ ᲂу҆ноша. и҆ старѧди вл҃кы и҆ раби. и богатии҆ (и) нищии҆. к̾нѧꙁи и начальнии҆. прѣмᲂудрии҆ и҆ невѣждѧ. и҆же въ въдовьствѣ и҆же въ постѣ. и҆же въ говѣйнѣй женитвѣ. и҆же въ власти. и҆ и҆же въ силахъ. дл о҆ви г҃и помилᲂуй». 56 Л. | … «гражане и҆ насельници, и҆ сᲂущїи въ власти мᲂуи и҆ ены и҆ ѿрочата.» [ ] «и҆ вси въпїахᲂу ги҃ помилᲂуй» ... 1570, I. |
Не стесняясь применять крупные выпуски в тексте (примеры копюр встречаются еще в гл. 278, 311 и мн. др.), редактор всего менее чувствовал необходимость считаться с мелким лексическим материалом, выбрасывая, напр., подобные древнеславянские слова, как онминъ (στρατιώτης, ὁ, гл. 27), клѣтъка (κελλίον, τό, гл. 28), черевнѣ (τά ὑποδήματα, гл. 28) и пр.
Подобная полная беспомощность редактора, когда он при выполнении поставленной задачи принужден был прибе-
–290–
гать к такому крайнему средству, как удалению неуясненного, естественное объяснение себе находит опять только в томе соображении, что Досифей не располагал надлежащими средствами.
Незнание греческого языка и отсутствие соответствующего греческого оригинала достаточно очевидно.
Помимо всего сказанного, весьма много говорят за себя уже такие, напр., явления, когда «жьлъдь» (ἡδονή, ἡ, гл. 23, 110, ркп. № 551) Досифеем принимается за «вожⷣелѣлъ» (гл. 22, 1390, 1, ркп. № 219); «главьство» (κεφάλαιον, τὸ – в значении основного капитала, гл. 266, 1300.) – за «и꙼стинᲂу» (л. 195, 1); «въ просвѣщениѥ҆» (φωτίσαι) чѧдъ свои҆хъ» (гл. 233; 114 л.) передается – «е҆же посетити чаⷣ своиⷯ» (1860. 1); «моностриꙗ҆» (мотботона, 256 гл., 1240.) – «и҆менемъ манастрїꙗ» (192, 1), и мн. др. примеры, см. гл. 17. 22. 29. 181. 182. 218. 222. 236. 263. 266. 286. 287 и др.
* * *
Итак, разносторонний анализ текста т. наз. «исправленной» редакции Синайского Патерика позволяет составить безошибочное мнение относительно подлинного характера произведенной здесь Д. операции.
Исправление существовавшего др.-славянского текста Патерика (более чем вероятно, – по Волоколамскому списку, ныне Синодальному за № 848) было выполнено самым примитивным способом, безе сверки с греческим оригиналом.
Как работа типичного начетника 16 века, лишенного необходимых средств, эта редакция носит на себе самые ясные следы безудержного редакторского произвола. Так, подлежащий исправлению текст в одних местах переделывался [причем справщик не стеснялся даже с знанием одного русского языка переводить непереведенные греческие слова]; по мере надобности он изъяснялся [конечно, в границах собственных познаний комментатора]; наконец, в критических для редактора случаях попросту выбрасывался.
Благодаря таким – до нельзя упрощенным приемам обработки литературного памятника, не совсем точный по бук-
–291–
ве и ясный по выражениям текст древнего перевода редактированием Досифея был испорчен весьма основательно.
* * *
Последние выводы, по отношению к Макарьевским Четьим-Минеям, куда Синайский Патерик в редакции Досифея вошел под 30 июня (см. Синод. список), получают вполне определенное значение.
Идущее от времен Еп. Дамаскина и Карамзина не отвергнутое пока [насколько нам известно] и в позднейшей литературе мнение о знакомстве Макарьевских сотрудников с греческим языком и применении ими греческих подлинников должно потерять значительнейшую долю своей устойчивости. Оптимизм ученых в данном случае имеет, говоря по существу, априорный, беспочвенный характер за отсутствием к. л. положительных материалов. Отсюда нисколько не удивительно, если действительное знакомство с личностью и работою первого же из членов книжного кружка Новгородского владыки приводит, как сейчас убедились, к результатам совершенно противоположного значения. Правда, судить окончательно о сущности всей колоссальной работы М. Макария, на основании имеющихся данных, еще слишком рискованно, но едва ли будет несправедливостью утверждать, что процесс «исправления иностранских и древних пословиц» в В.-Минеях, в чем видел свою главную заслугу сам М. Макарий (см. «вкладную»), происходил не иначе, как в условиях и духе работы Досифея.
Во всяком случае, те Минейные переводные литературные памятники, которые, предполагается, были подвергнуты обработке, в смысле Макарьевско-Досифеевского «поновления» устарелых выражений, требуют к себе самого осторожного отношения.
Свящ. И. Смирнов.
Флоренский П., свящ. Приведение чисел: (К математическому обоснованию числовой символики) // Богословский вестник 1916. Т. 2. № 6. С. 292–321 (2-я пагин.).
Занимавшимся историей мысли, особенно древней, известно общечеловеческое убеждение в возможности заменять, при символических рассуждениях, число суммою его цифр. Число и сумма его цифр в каком-то смысле равнозначные, по оценке мыслителей, пользовавшихся понятием числа при разработке общего миропонимания. Уверенность в этой символической эквивалентности есть и была одною из основных предпосылок метафизики чисел. Эта предпосылка, прежде всего, важна практически, ибо, опираясь на нее, можно заменять в рассуждениях большие многозначные числа числами меньшими и даже однозначными, т. е. доступными и более непосредственному пониманию. Такая замена обычно называется «еврейским» или «каббалистическим» или «теософским сокращением чисел»; а то, что получается после подобного действия над числом, мы будем именовать «приведением» его или его «редукцией».
В чем же смысл теософского сокращения? С редукцией чисел встречаешься при чтении разных, древних и новых, писателей; с другой стороны, видишь, что некоторые жизненные явления порою до странности точно входят в рамки, назначаемые им символикой, при пользовании именно действием теософского сокращения; в иных случаях, на подобное же сокращение можно наткнуться в математике – таковы, например, всякому школьнику известные признаки делимости чисел на 3 и на 9. Все это побуждает искать, нет ли математических оснований, оправдывающих такое сокращение чисел и побуждающих в этом сокращении
–293–
видеть не прихоть воображения, подтверждаемую несколькими случайными совпадениями с действительными свойствами числовых и жизненных явлений, но подлинный закон тех и других, открытый интуитивно. Ответом на поставленный вопрос отчасти служат предлагаемые здесь соображения, надеюсь – точные, хотя и в границах первоначальных математических познаний. Отметим при этом еще лишь, что мистическая арифметика далеко не всегда держится десятичной системы исчисления, в разных случаях заменяя ее двоичной, троичной и т. д., смотря по надобности. Это побуждает и нас вести свои рассуждения, не ограничивая себя системой исчисления с тем или иным определенным основанием, но имея перед умственным взором общий случай числа, написанного по системе с любым основанием a. Рискую выразить и свое убеждение, что излагаемое, при всей несложности доказательств, может быть полезно не только историку мысли, но и исследователю самих чисел; ведь в предлагаемых наглядных схемах делаются доступными непосредственному созерцанию многие свойства чисел, обычно остающиеся формальными и, потому мало убедительными, как бы строго ни были доказаны соответственные теоремы.
§ 1. – Понятие о последовательных редукциях
Пусть мы имеем число A, действительное, целое и, – предположим для простоты, – положительное. Выраженное по α-ичной системе счисления (т.е. имеющей основанием число α) число A представится в виде:
A = α0a1 + α1a2 + α2a3 + α3a4 + … + αn-1an [1]
причем все числа a1, a2, a3, a4, …, an удовлетворяют двойному неравенству
0 ≤ ai ≤ α [2]
(i = 1, 2, 3, … n)
при этом, по крайней мере старший член, т.е.
an > 0 [3]
Возьмем сумму чисел a1, a2, a3, …, an. Эту сумму мы назовем первой редукцией числа A. Считая ее числом, выраженным по a-ичной системе, мы найдем, что она представится в виде:
–294–
R' = a1 + a2 + a3 + a4 + …+ an
= α0á1 + α1á2 + α2á3 + α3á4 + … α n'-1án' ❘ [4]
причем

и по крайней мере, старший член

Подобным же образом сумма α-ичных знаков
á1, á2, á3, …, án' даст редукцию редукции R', т.е. вторую редукцию числа A. Обозначим ее через R».

Тут

и по крайней мере, старший член

Подобным же образом третья редукция A,–R'''–, т.е. первая редукция R'' , представится в α-ичной системе так:

Тут

и по крайней мере, старший член

Продолжая так редукционный процесс далее и далее, мы дойдем до j-той редукции A,–R(j)–, выражающейся равенствами

где

и по крайней мере

и т. д. В виду того, что ряд чисел n, n', n'', n''', ... n(j–1), n(j)… составляет ряд убывающий,

–295–
а числа эти – целые, то он, по необходимости, должен кончиться, приведя к такому числу n(k), при к-той редукции, которое равно 1-це, так, что R(k) будет состоять из одного только α-ичного знака a1(k), т.е.

где

Далее редукция невозможна, т.к. все последующие редукции тождественны с R(k).
Пример последовательных редукций. – Пусть имеем число
A = 3758963790219,
написанное по 10-ичной системе исчисления, т.е. при α = 10. Тогда его исследовательные редукции R', R'', R''' представятся как:
R' = 3 + 7 + 5 + 8+ 9 + 6 + 3 + 7+ 9 + 0 + 2 + 1 + 9 = 69
R'' = 6 + 9 = 15
R''' = 1+ 5 = 6
§ 2. – Теорема о сравнимости по модулю

числа и всех его редукций
Теорема. – Число A и все его последовательные редукции R', R '', R''' … R(n), выраженные в α-ичной системе исчисления, сравнимы между собою по модулю

, т. е.

Доказательство. – Прежде всего, замечаем, что нам, собственно, достаточно доказать сравнимость по модулю

числа A и его первой редукции R', ибо каждая из последующих редукций представляет собой первую редукцию предыдущей и, следовательно, относительно каждой пары смежных редукций можно будет повторить доказанное применительно к A и R'. Итак, докажем, что

Обращаясь к формулам [1] и [4] замечаем, что A и R'' представляют суммы соответственных членов ai · 1ai и ai. Если бы мы доказали равно остаточность этих членов по модулю

, т. е. справедливость сравнения
–296–

то, придавая затем индексу ι всевозможные значения, от 1 до n, и суммируя по частям полученные n сравнения, мы получили бы сравнение

или, что то же, искомое сравнение [19'].
Итак, для доказательства формулы [19'] необходимо доказать сравнение [20].
Но, вглядываясь в [20], находим, что для доказательства его достаточно доказать сравнение

Если бы оно было доказано, то, умножая его почленно на аi (от чего сравнение не нарушится), мы бы получили сравнение [20].
Доказательство же сравнения [22] может быть получено из сравнения

которое очевидно, если представить его в форме обычного тождества

где «Ц», согласно обозначению, предложенному † Н.В. Бугаевым, означает целое число.
Умножая обе части равенства [24] на αi –2, получаем:

Подобным же образом, помножая обе части тождества [24] на αi-3, αi-4, … α2, a мы получим ряд торжеств, который, с присоединением к ним вышенаписанных [25] и [24], представится в виде:

–297–

Складывая эти

равенства по частям и замечая, что члены направо и налево сокращаются, получаем по сокращении

или

т. е. доказательство сравнимости αi–1 и 1 по мод.

(см. [22]).
Умножая сравнение [28], как сказано, по частям на aι делая ι всевозможными, от 1 до n, и складывая по частям полученные n сравнений, находим сравнение [21] или, что то же, сравнение [19']. Принимая же во внимание, что все сказанное выше относится и к любой паре смежных чисел A, R', R'', R''', ... R(k), из которых предыдущее принимается за основное число, а последующее – за его первую редукцию, мы убеждаемся в равноостаточности всех чисел A, R', R''', ... R(k) по модулю

, т.е. в справедливости формулы [19],
Ч. Т. Д.
§ 3. – Геометрическая интерпретация теоремы § 2-го
В дальнейшем мы будем рассматривать свойства чисел A, общие им и числам равноостаточными с ними по модулю

. Как видно из доказанной теоремы (§ 2), эти свойства не затрагиваются редуцированием чисел A, сколько бы ни продолжался редукционный процесс; они пребывают в процессе. Поэтому мы вправе подменить рассмотрение чисел A рассмотрением их последовательных редукций A, R', R'', R''', ... R(k), от чего интересующие нас свойства окажутся инвариантными. (Если угодно, мы можем сказать теперь, что будем изучать свойства чисел A, пребывающими инвариантными при сколь угодно далеко идущем редукционном процессе). Этим мы воспользуемся для того, чтобы подменять числа A числами R(k), которые, как видно из
–298–
неравенства [18], непременно < α. Итак, все дальнейшее изучение сводится к изучению

чисел:

Перейдем теперь к геометрическому толкованию высказанных выше положений. – Представим себе окружность, (см. чертеж 1-й). Разделим ее на

равных частей и в точках деления поставим соответственно числа ряда [29]. Т.к. каждое число A приводится к одному из чисел ряда [29], то сказанные

точек изобразят собою, с нужной для нас стороны, инвариантной в редукционном процессе, все существующие числа, и каждое из чисел A принадлежит к типу одного из чисел ряда [29]. С другой стороны, все эти

чисел [29] между собою различны и далее уже не редуцируемы. Они – элементы системы счисления с основанием α. Если α = 10, то эти элементы суть:
1, 2, 3, 4, 5, 6, 7, 8, 9 [29']
Все, сказанное доселе, вытекает из теоремы § 2-го. Но в этом же можно убедиться и непосредственно, обращаясь к геометрической интуиции. Пусть у нас имеется некоторое число A. Если A < α, то оно непосредственно изобразится одной из поставленных точек. Если же A > α, то, чтобы подойти к нему, надо было бы двигаться по часовой стрелке вдоль окружности, занумеровывая последовательно проходимые точки.

Чертеж 1-й.
Обойдя несколько раз всю окружность, мы остановимся, наконец, на A-той пройденной точке. Она и изображает исследуемое число A. Посмотрим, каков ее истинной номер – число из ряда [29]. Чтобы найти его, надо выделить из А все целые обходы окружности, т.е. разделить A на

, ибо таково число точек одного обхода. Остаток от выделения и будет искомым номером A-той точки; но этот остаток есть число, сравнимое с A по модулю

и, при том, наименьшее, т.е. последняя редукция А,–R(k). Итак, наши

точек изображают собой наименьшие редукции всех чисел, написанных по α-ичной системе исчисления.
–299–
§ 4. – Основное разделение чисел 1, 2, 3, 4, ...,

на два класса
Все числа α-ичной системы исчисления распределяются на

групп, во главе которых стоят

чисел ряда [29]. Но эти

групп чисел или, если угодно, числа [29], их возглавляющие, оказывается возможным распределить на два существенно разнящихся класса, при чем распределение это красиво схематизируется на указанном в § 3 геометрическом образе.
Пусть нам дано некоторое число a, которое предполагаем однозначным или уже редуцированным, так что:
0 < a < α [30]
Образуем, далее, бесконечную арифметическую npoгpeccию (помножая число a на 1, 2, 3, ..., n, ...), т.е. ряд
÷ 1.a, 2.a, 3.a, 4.a, 5.a, … n.a,… [31]
и редуцируем все члены этого ряда, обозначая редукции их чрез a с индексом, соответствующим коэффициенту. Первый член обозначим для симметрии через a1. Тогда получим бесконечный ряд чисел (из которых каждое более нуля и менее α):
a1, a2, a3, a4, a5, … an, … [32]
причем
0 < ai < α
(i = 1, 2, 3, … n) [33]
Двойное неравенство [33] показывает, что числа ряда [32] могут принимать не более, как

различных значений ряда [29] и потому, по необходимости, должны повторяться. Но при этом возможны два случая, и наступление того или другого из них обусловливается свойствами числа a, родоначальника (первого члена и знаменателя) прогрессии [31].
1-ый случай. – Чи́сла бесконечного ряда [32] своим повторением исчерпают все

чисел ряда конечного [29], так, что в каждой из

групп чисел непременно будут члены прогрессии [32]. Тогда каждая из точек изобразительной окружности (см. § 2) представит собой хотя один из членов прогрессии [32]. Число a, порождающее такую прогрессию, которая исчерпывает все точки окружности,
–300–
назовем полным и отнесем его к I-му классу чисел.
2-ой случай. – Чи́сла бесконечного ряда [32] своим повторением не исчерпывают всех α-1

чисел конечного ряда [29], так, что не в каждой из α-1

групп чисел непременно будут члены прогрессии [32]. Тогда не каждая из точек изобразительной окружности (см. § 2) представит собой хотя бы один из членов прогрессии [31]. Число a, порождающее такую прогрессию, которая не может исчерпать всех точек окружности, назовем неполным и отнесем его ко II-му классу чисел.
Пример чисел классов I и II. – Пусть α = 10. Возьмем для примера два числа á = 4 и á' = 3 и сделаем для них все выше-указанное. Получим, прежде всего, две арифметические прогрессии:
÷ 4, 8, 12, 16. 20, 24, 28, 32, 36, 40, 44, 48, 52, 56, 60, ... .
÷ 3, 6, 9, 12, 15, 18, 21, 24, 27, 30, 33, 36, 39, 42, 45,
Редуцируя их члены, получим соответственно ряды:
4, 8, 3, 7, 2, 6, 1, 5, 9, 4, 8, 3, 7, 2, 6,
3, 6, 9, 3, 6, 9, 3, 6, 9, 3, 6, 9, 3, 6, 9,
Мы видим, что число á = 4 дает ряд, исчерпывающей все 9 чисел [29]:
1, 2, 3, 4, 5, 6, 7, 8, 9,
соответствующего в данном случае ряду [29]. Но ряд, порожденный числом á' = 3, систематически повторяет только три числа
3, 6, 9,
тогда как остальные числа [29'] не попадают в ряд. Итак, первое число, т.е. á = 4, – класса I, полное, тогда как второе, т. е. á' = 3, – класса II, неполное.
§ 5. – Признаки чисел классов I и II
Установим теперь признаки, по которым можно было бы различить, принадлежит ли данное число a к классу I или к классу II. Прежде всего, вспоминая определение § 4, мы можем сказать, что редукция числа na, где n – какое-угодно число, для чисел класса I должна, при надлежащем подборе n, равняться произвольно выбранному числу из ряда [29]. Это последнее мы обозначим через ι. Дру-
–301–
гими словами, если a – число полное, то надлежащим подбором n можно удовлетворить сравнение

при ι произвольном и стесненном лишь условием
0 < ι < α [35]
Итак, первый признак принадлежности а к классу I или классу II можно сформулировать так: если мо́жно удовлетворить сравнение, [34] надлежащим подбором n, или, разделение, если можно удовлетворить

сравнений

выбрав

надлежащих значений для

то число a – полное, класса I. Если же это окажется невозможным ни при каких подборах системы чисел для

то число a – неполное, класса II.
Переписывая сравнение [34] в виде равенства, получаем:

и тогда предыдущей признак представится в таком виде: если, при всевозможных значениях ι из ряда [29] можно подобрать пары целых чисел n и Ц, удовлетворяющих уравнению [37], то число а – класса I, если же нет, то – класса II.
Из уравнения [37] следует, что a имеет следующий вид, если оно принадлежите к классу I:

Такова формула, изображающая все мыслимые числа первого типа.
Давая Ц и n всевозможные значения, а ι –значения [29], мы найдем некоторую группу чисел. Выделяя затем из нее те, которые соответствуют разным ι и гнездами (по

в подгруппе) равны между собой, мы отыщем все
–302–
полные числа. Иначе говоря, всякое полное число a может быть представлено в

следующих видах:

где Цi, и ni (i = 1, 2, 3,. . .

) – произвольно подобранные пары целых чисел, лишь бы они, эти числа, удовлетворяли равенствам [39] и дополнительному условию
0 < a < α [40]
Обращаясь снова к формуле [37], мы представим критерии различения классов I и II в новой форме. Определим из [37] число ι.
ι = na – Ц (α – 1) [41]
при дополнительном условии [35]. Дальнейшее исследование заключается в том, чтобы показать, при каких условиях число i может принимать все значения ряда [29], т. е. разняться между собою на 1, и при каких – этого не будет. В первом случае число a – полное, во втором – неполное. Докажем же следующую теорему:
Теорема. – Если числа a и

взаимно-просты, т.е. если общий наибольший делитель их равен 1, то число a – полное; если же этот общий наибольшей делитель отличен от единицы, то число a – неполное.
Доказательство. Должно рассмотреть два случая: 1°, когда

Случай 1-ый. – Пусть

Тогда числа a и

могут быть представлены в виде произведений:

Вставляя эти значения a и

в формулу [41] и вынося δ за скобку, находим:
–303–
ι = δ (ná – Цα') [44]
где á и α' уже взаимно-первые числа, так что
D (á, α') = 1 [45]
Из формулы [41] следует, что разность каких-нибудь значений для t, ti и ι í будет:

Выражение в скобках есть целое число, не меньшее единицы, или же нуль. В последнем случае ιi и ιí были бы тождественны между собою, а в первом, т.е. при

разность их была бы

т.е.

при всевозможных парах ni, Цi; ιí, Цí. Итак,
если

то a – число неполное, класса II.
Случай 2-ой. – Пусть

т.е. пусть числа a и α-1

взаимно-просты. Тогда выражение для разности каких-нибудь двух значений ι т.е. ιi и ιí примет вид:

или сокращенно,

где n и Ц суть числа целые, положительные или отрицательные, а в остальном совершенно произвольные, т. к. представляют собой разности произвольного уменьшаемого и произвольного вычитаемого, ничем не связанных между собой:

Т.к. коэффициенты при n и Ц, т. е. a и

, взаимно просты, то надлежащим подбором n и Ц разность

всегда может быть сделана по абсолютной величине равной единице1110. Отсюда следует, что, действительно,
если

то a – число полное, класса I,
Ч. Т. Д.
–304–
§ 6. – Примеры разделения чисел на классы I и II
Рассмотрим, ка́к именно распределяются числа на классы I и II в простейших системах исчисления. При этом ясно, что α не может быть менее 3, ибо уже при α = 2 α – 1 = 1, и, следовательно, деление на два класса, равно как и критерии разделения, основанные на рассмотрении

, теряют свой смысл. – Результаты представляем в виде таблички.

–305–

§ 7. – О числах неполных класса II
Вернемся к формуле [46]. Принимая во внимание обозначения [53], мы сможем переписать ее в виде

где n и Ц – целые числа положительные или отрицательные – безразлично, и притом произвольные. Вспоминая, далее, формулу [45], показывающую взаимную простоту чисел a' и α' и применяя на этом основании к внутри-скобочному выра-
–306–
жению правой части [57] соотношение [56], мы можем утверждать, что, при надлежащем выборе n и Ц, всегда может быть удовлетворено равенство

почему разность ιi – ιi, всегда может быть приведена к + δ, но не к числу меньшему δ .

Но т.к. величина δ зависит только от свойств чисел a и

(см. [43]), то ясно, что для всякого числа ιi, при неизменности a и

, найдется другое, ιi оттсоящее от него на +δ единиц. Другими словами, все редукции прогрессии [31], т.е. все числа [32], могут быть расположены в новую восходящую арифметическую прогрессию с разностью ± δ. Некоторый член ее будет a = áδ. Итак, вот в каком виде может быть представлена группа чисел [32]:

или еще как:

Последние формулы позволяют обобщить результаты предыдущего рассмотрения в одном общем положении, одинаково справедливом, как применительно к числам класса I, так и в применении к числам класса II. Именно, обозначив через

общий наибольший делитель чисел a и

независимо от того, к какому классу принадлежит число a, мы можем сказать: редукции всех чисел [31], получаемых через умножение a на ряд целых чисел 1, 2, 3, 4,... n,.... , образуют ряд, могущий быть расположенным в виде восходящей арифметической прогрессии:

с разностью

–307–
Для чисел полных эта разность равна ± 1, а для неполных – по абсолютной величине она > 1.
Формула [59] показываете, что для чисел неполных разность между ближайшими (по величине) числами ряда [32] или смежными числами ряда [60] и [61] по абсолютной величине равна δ. Отсюда следуете, что все те числа, которые разнятся от а менее, чем на целое δ, т. е. не на ± nδ, не попадут в ряды [32], [60] или [61]. Является вопрос, сколько же будет таких чисел опущенных. Число всех чисел =

; определим же число попавших. Это – возрастающие числа:

при чем первое из них должно быть более нуля, а последнее –менее а. Следовательно, подбирая елико возможно большие m1 и m2 так, чтобы удовлетворились неравенства:

мы можем сказать, что число чисел [63] только на одну единицу, соответствующую не вошедшему в общий счет члену a, более

. Но из [64] следует, что должны быть:

или, т. к.

то, в силу [43],

Отсюда

Вставляя значения m1 и m2 из [68] в [64], находим, что, действительно, неравенства [64] удовлетворяются. Следова-
–308–
тельно, число чисел, вошедших в ряд [63], N, будет таково:
N = m1 + m2 + 1 [69]
т. е.
N = α' [70]
или, что то же,

что всегда дает число целое, как видно из тождества этого числа с его же значением из [70].
Итак, число чисел не вошедших в ряд [29], M, будет

или

Следовательно, отношение числа чисел, вошедших к числу чисел не вошедших в ряд [29] будет:

откуда ясно, что отношение это убывает вместе с возрастанием d, а при наименьшем значении d, d = 1, делается ∞.
§ 8. – Примеры вычисления чисел N для разных α и a.
Представляем результаты вычислений в виде таблички:

–309–

–310–

§ 9. – Геометрическая интерпретация различия двух классов чисел.
Чтобы интерпретировать геометрически добытые результаты, касающиеся свойств чисел полных и неполных, вернемся к схематическому изображению α – 1 категорий чисел в α-ичной системе, которое описано в § 3. Каждая из точек деления этой окружности является изобразительницей для числа класса I или II. Но различие этих точек не видно непосредственно и становится видимым лишь из поставление в связь изучаемой точки со всеми остальными. Станем (см. чертеж 2-й) находить точки, соответствующие ряду [29]. Это можно сделать двояко: либо, исходя из точки 1, отсчитать от нее, по часовой стрелке, точку a-тую; затем, исходя из a-той и принимая ее за 1-ую, отсчитать снова точку a-тую; затем от этой точки – опять a-тую и т.д. все в одну и ту же сторону, каковым процессом мы найдем все точки
a, 2a, 3a, 4a, 5a, 6a, … (см. [31])
(написанные при них числа на окружности представят тогда редукции ряда [31], т. е. ряд [32], который, как сказано, рано или поздно должен начать повторяться), либо
–311–
прямо взяв редукции ряда [31] и находя соответственные точки окружности. Тот и другой процесс, понятно, поведут к одному результату. Но только, при последнем способе действования, мы не станем приводить ряд редукций к виду арифметической прогрессии (возможность чего доказана в § 7), но сохраним порядок членов в ряде [32] не затронутым перемещением, т. е. соответствующим порядку ряда [31]. Чтобы охарактеризовать и зафиксировать этот порядок, при соответственных числам точках поставим букву A с индексами, соответствующими номерам членов в рядах [31] и [32].

Чертеж 2-й.
Итак, мы имеем конечный ряд точек
A1, A2, A3, A4, … Ai, … AN [75]
где N определяется из формулы [70] или [71], дающей при

Станем теперь соединять прямолинейными отрезками точки смежных номеров. Получится ломанная. Т.к. число точек Ai конечно и после AN точки начнут повторяться, то, рано или поздно, при построении такой ломанной, концы ее должны сомкнуться, и она представит собой некоторый звездчатый или выпуклый N-угольник. Из самого процесса нахождения вершин его [75] явствует, что соседние вершины, ближайшие друг к другу, если отсчитывать расстояние по дуге окружности, отстоят друг от друга на одинаковые расстояние, равные разности арифметической прогрессии [62], т.е. на

единиц (между ними δ-1 точек) и, в случае взаимной простоты a и

, занимают соседние точки деления нашей окружности. С другой стороны, вершины смежные, т. е. прилегающие к одной стороне многоугольника, отстоять друг от друга на a единиц (между ними
–312–

точек), следовательно стягивают равные дуги. Из того и другого обстоятельства видно, что наш N-угольник – правильный. Если вершины его расположены так часто, что между ними нет уже точек деления окружности, то ясно, что ломанная линия своими углами исчерпает все точки деления. Отсюда понятно, что число a, – в данном случае полное, класса I, – раскрывает свои свойства, так сказать, в таком полно-лепестковом многоугольнике. Если же не все точки деления заняты вершинами многоугольника, но некоторые пустуют, то число a, – неполное, класса II, – раскрывает свои свойства в многоугольнике с неполным числом лепестков. И обратно, полному числу соответствует полный многоугольник, неполному – неполный.
Таким образом, число изображается не только точкой, но и многоугольником. Представление числа многоугольником позволяет узнать внутреннюю природу его, так сказать, кладет число под микроскоп. Точка-бутон раскрывает в многоугольнике-цветке свои потенции, и то, что ранее, в точке, было доступно одному только умозрению, тут делается интуитивно-очевидным; то, что было в своей реальности предметом убеждения, делается опытно-проверяемым.
Но, является вопрос, всегда ли такое раскрытие возможно? Или, может быть, для данных методов и средств, т. е. внутри системы с основанием а, некоторый числа α окажутся неразложимыми, так сказать, ультра-микроскопическими? Чтобы ответить на этот вопрос, необходимо обратиться к формулам [70] и [71], которые можно переписать так:

Ясное дело, что раскрытие числа a в многоугольнике будет невозможно только в одном случае – когда многоугольник, соответствующий числу a не существует. А это может быть тогда только, когда он должен был бы иметь одну (или ни одной) вершины. Другими словами, наше число a не раскрываемо, когда соответствующее ему число N = 1. Чтобы узнать, каким же a соответствует случай невозможности раскрытия, приравняем правую
–313–
часть равенства [78] единице и определим из этого условия a.

Но т.к.
α – 1 > a, [79]
то ясно, что

(а это необходимо для уравнения) только тогда, когда а = α – 1, [78]. Отсюда
а = α – 1 [80]
Итак, если построение невозможно, если число a не раскрываемо, то число a равно

. И обратно, если число a равно α – 1 , то оно не раскрываемо, и построение невозможно. В последнем убеждаемся, подставляя в [77] вместо a равное ему

. Тогда окажется, что N = 1, т. е. построение многоугольника невозможно.
Вместе с тем, найденная теорема показывает, что не существует чисел, не раскрываемых ни при каких методах. Сто́ит только увеличить основание системы, α, так, чтобы

было более a, и число a раскроется. Мы, так сказать, увеличили номер микроскопного объектива, усилили разлагающую способность нашего микроскопа, и точка раскрылась в многоугольнике. Нет ни одной точки-числа абсолютно не раскрываемой, и, подбирая надлежащим образом систему исчисления, мы всегда сможем конкретно изучить всякое число a.
При этом увеличении α, мы можем отметить еще одно обстоятельство: параллельно с возрастанием α, в общем, все пышнее и пышнее развертываются потенции числа-точки и все числа – многоугольники; исключение может представить лишь случай, когда сравнительно небольшой прирост

дает сравнительно большое приращение

так что отношение их, равное N, уменьшится. Но, в общем, чем более α, тем махровее распускается а, тем более лепестков у многоугольника, соответствующего числу, тем мощнее проявляются потенции числа a.
Случай, когда отношение a и

, есть единица, т.е.
N = 1 изображается, как сказано, одной лишь точкой. Дру-
–314–
гие интересные построения получаются тогда, когда a является какой-либо из аликвотных частей

, т. е. когда

Тогда

и потому соответственные значения N будут таковы:
N – 2, 3, 4, 5, 6, … [83]
Случай N = 2 изображается «дву-угольником» и возможен, конечно, только при α нечетном, вида (2β + 1), где β = 1, 2, 3, 4, …. Диаметр окружности, соединяющий точки a и 2a

служить сказанным «дву-угольником».
Случай N = 3 изображается треугольником, имеющим вершины в точках а, 2a и 3a:

Точно также, случаи N = 4, N = 5, N = 5 и т.д. соответствуют четырехугольнику, пятиугольнику и т.д. Все они интересны тем, что получаемые при них многоугольники правильны и выпуклы, тогда как в иных случаях многоугольники оказываются звездчатыми.
Из всего сказанного ясно, наконец, что взяв
α = m! + 1, [84]
где
m! = 1 . 2 . 3 . 4 . 4 … m,
мы создадим систему исчисления, в которой каждое число a, удовлетворяющее условию
а < m [85]
представляется правильным выпуклым многоугольником. Увеличивая m, мы изображение всякого a можем превратить из многоугольника звездчатого в многоугольник выпуклый.
§ 10. – Примеры геометрической, интерпретации числа
Мы дадим тут несколько примеров раскрытия точки-числа в многоугольнике и воспользуемся для этой цели таблицами § 6 и § 8. Сами схемы вычерчены отдельно (см. чертеж 3-й).
–315–

Чертеж 3
–316–
α = 3. Возможен один только многоугольник – «двуугольник» или, диаметр окружности, раскрывающий полное число 1. Неполное число 2, как равное

, не раскрываемое и представляется одной только точкой 2.
α = 4. Возможны два многоугольника – оба треугольники, – раскрывающие полные числа 1 и 2. Неполное же число 3 не раскрываемое, как равное

.
α = 5. Возможны два многоугольника – четырехугольники, – раскрывавшие полные числа 1 и 3. Кроме того, возможен еще двуугольник, раскрывающий одно из неполных чисел, 2.
α = 6. Четыре полных числа: 1, 2, 3, 4 изобразятся соответствующими пятиугольниками.
α = 7. Полных чисел – два: 1, 5. Они изобразятся шестиугольниками. Неполных – четыре: 2, 3, 4, 6. Из них: число 2 изобразится треугольником, два других – двуугольниками и, наконец, последнее не раскрываемое.
α = 8. Неполных чисел – шесть: 1, 2, 3, 4, 5, 6. Все они представятся семиугольниками,
α = 9. Чисел полных – четыре: 1, 3, 5, 7. Они представятся восьмиугольниками. Чисел неполных – тоже четыре: 2, 4, 6, 8. Из них 2 и 6 представятся четырехугольниками, а 4 – двуугольником.
α = 10. Чисел полных – шесть: 1, 2, 4, 5, 7, 8. Они представятся девятиугольниками. Чисел неполных – три: 3, 6, 9. Первые два из них изобразятся треугольниками.
§ 11. – Сродные числа класса
Редукция позволила нам уменьшить число объектов изучения с бесконечно-большой группы до группы мощностью в

. Вновь вводимое понятие о сродстве чисел снова сократит эту мощность.
Назовем два числа: a1 и a2, написанные по одной и той же системе исчисления с основанием α, сродными, если они могут быть представлены в виде:

–317–
Сродными мы называем их по причинам, которые обнаружатся впоследствии. Ясно, что каждая пара сродных чисел а1 и а2 удовлетворяет соотношению

т. е. одно число дополняет другое до

Отсюда видно, что сродство чисел уничтожается с изменением системы исчисления. Два числа, сродные при данном α, перестают быть сходными при α ином, и обратно, всякие два произвольно выбранные числа а1 и а2 окажутся сродными в системе исчисления с соответственно подобранным основанием α, так именно, чтобы:
α = а1 + а2 + 1 [88]
Построим для каждого из сходных чисел а1 и а2 раскрывающей его многоугольник и рассмотрим, в каком соотношении находятся оба многоугольника между собой. – Мы знаем, прежде всего, что соседние вершины того и другого многоугольника должны отстоять друг от друга на равных расстояниях: δ1 для многоугольника, соответствующего, а2 и δ2 для многоугольника, соответствующего а2 (см. чертеж 4-й). При этом:

Но, в силу формул [86],

А т.к. D (á1, α'1) = 1 (см. [89]) и, следовательно,

то ясно, что общим наибольшим делителем у

и

является δ1, почему разности наших арифметических прогрессий оказываются одинаковыми:
δ2 = δ1 = δ [93]
Отсюда следует, что
α'1 = α'2 = α' ; α'1 = α' – α'2 [93]
Кроме того, формула [92] показывает, что сходные числа, всегда принадлежат к одному классу: если δ = 1, то – к классу I, если δ > 1, то – к классу II.
–318–
Число вершин многоугольников для a1 и a2, N1 и N2 тоже равны между собой:

что, впрочем, понятно и само собой из равенства расстояний соседних вершин. Наконец, стороны многоугольников, а следовательно и углы, равны между собой. В самом деле, для многоугольника, раскрывающего a1, дуговое расстояние между смежными вершинами, отсчитываемое в положительном направлении окружности, есть а1 = a, отсчитываемое же в отрицательном направлении дуги – оно будет

. А для многоугольника, раскрывающего a2, – наоборот, – расстояние смежных вершин, считаемое в положительном направлении дуги, есть

; но отсчитываемое в отрицательном направлении дуги, оно равняется

. Итак, по абсолютной величине, дуги, стягиваемой сторонами наших
N-угольников, а потому и сами стягивающие стороны, равны между собой. Но только, одна стягивает бо́льшую дугу, а другая дополнительную к первой, ме́ньшую, если принимать в расчет и направление дуг. Поэтому, считая хорду направленной так же, как и стягиваемая дуга, мы можем сказать, что хорды обоих N-угольников равны, но взаимно-обратны по направлению.

Чертеж 4-й.
Итак, доказано, что число вершин у многоугольников, раскрывающих a1 и a2 одинаково и что расстояние вершин соседних, равно как и вершин смежных, равны между собою. Следовательно, многоугольники наши тождественны по своей форме, но, в силу взаимной обратности хорд,
–319–
приходятся в противоположных направлениях. Остается рассмотреть, ка́к они расположены относительно друг друга. Посмотрим, не совпадают ли какие-либо из их вершин. Очевидно, что если будет обнаружено совпадение какой-нибудь одной, произвольно взятой, пары, то eo ipso будет доказано-совпадение всех вершин попарно. – Совпадение какой-нибудь пары вершин, k-той, А1(k), из первого многоугольника, и l-той, А2(k) из второго, требует равенства соответствующих этим вершинам чисел, приписанных около окружности, т.е. должно быть
a1 + k. δ1 = a2 + 1. δ2 [95]
где k и l произвольные целые числа. Принимая во внимание [86] и [92], находим:

откуда, принимая во внимание [89], получаем:

Итак, k-тая вершина первого многоугольника совпадает с l-той вершиной второго, причем, вершины второго отстают, запаздывают относительно вершин первого на величину

или, что то же, на величину α' – 2á.
Следовательно, чтобы найти, с какой вершиной первого многоугольника совпадает l-тая вершина второго, надо к числу ее придать вышеуказанную разность фаз

.
Таким образом, окончательно выяснилось, в какой связи стоят раскрытия двух сродных чисел a1 и a2. Это – совпавшие, между собой совершенно тождественные многоугольники, из которых первый повернут около центра окружности в положительную сторону дуги (по часовой стрелке) на величину

или, что то́ же, повернуть относительно первого в отрицательную сторону дуги против положительной дуги (против часовой стрелки) на ту же величину

Но каждая сторона этих
–320–
многоугольников проходится в этих двух раскрытиях в прямо противоположных направлениях, причем обход многоугольника в первом случае начинается с a-той точки окружности, а во втором – с

Но т.к. для характеристики числа нам не важно ни направление обхода раскрывающего его многоугольника, ни начало движения, а только вид многоугольника, то мы можем признать полное сходство у многоугольников, раскрывающих сродные числа. Этим число изучаемых чисел снова уменьшается, как сказано в начале § 11. В самом деле: всего различных чисел

. Из них наибольшее,

, изучать нечего, т. к. в пределах данной системы исчисления оно не раскрываемо (§ 9, [74]). Итого – остается

чисел. Из них половина,

(если

четно), или

(если

нечетно и, следовательно, четно

) может быть оставлена без рассмотрения, т.к. тождественна по своим раскрытиям с начальными. Следовательно, в каждой системе с основанием а надо изучить а чисел, при чем

или

где E есть символ целой функции своего аргумента, entiere от x.
Таким образом, изучение всех чисел каждой α-ичной системы сводится к изучению а основных существенно различных символов:

распределяющихся на классы I и II и раскрывающих свою внутреннюю структуру в а несводимых друг к другу правильных многоугольников. Таковы подлинные кирпичи, атомы α-ичной системы исчисления, и с одним из них сходно каждое число в этой системе, как бы оно ни было велико. Как известное число несводимых друг к другу фонетических элементов, – корней, – лежит в
–321–
основании группы языков и производит из себя все многообразие лексики, так же эти а основных символов являются фундаментом α-ичной системы исчисления и порождают из себя все многообразие арифметического лексикона данной системы. Поэтому было бы уместно эти а символов назвать корнями или элементами
α-ичной системы исчисления. Для системы десятичной формула [99] дает а = 4. Из этих 4-х чисел к классу I принадлежат: 1, 2 и 4, а к классу II – число 3. Нижеследующий чертеж 5-й представляет 4 многоугольника, раскрывающее эти 4 элемента десятичной системы.

Чертеж 5-й.
§ 12. Примеры вычисление чисел а
α = 3 а = 1
α = 4 а = 1
α = 5 а = 2
α = 6 а = 2
α = 7 а = 3
α = 8 а = 4
α = 9 а = 4
α = 10 а = 4
α = 11 а = 5
α = 12 а = 5
α = 12 а = 6
α = 14 а = 6
α = 15 а = 7
α = 16 а = 7
α = 17 а = 8
α = 18 а = 8
α = 19 а = 9
α = 20 а = 9
α = 21 а = 10
α = 22 а = 10
α = 23 а = 11
…
Священник Павел Флоренский.
Волжский А. С. О правде и кривде: (К вопросу о семейном разладе Л. Н. Толстого)1111// Богословский вестник 1916. Т. 2. № 6. С. 322–373 (2-я пагин.).
«Возсмердеша и согниша раны моя, от лица безумия моего. Пострадах и слякохся до конца, весь день сетуя хождах: яко лядвия моя наполнишася поруганий, и несть исцеления в плоти моей» (Псалом 37).
Когда хочется понять, хочется уловить живую правду о чем-нибудь, всегда вернее обращаешься к выразительным мелочам, к частностям и случайностям жизни, к маленьким черточкам, к тем бесконечно-малым психологии человека, в которых правда, как равно и неправда, чаще всего и схватывается живьем. Здесь, в этих извилистых складочках, пестреющих подкладочках, маленьких узелках, в тени незаметных уголков неслышно
–323–
прячется самая интимная, потайная душевная глубь, та тончайшая цветистая пыльца, из которой только и добывается мед внутреннего понимания, без которой душевный мир теряет все свои очарования и краски. Здесь, в этих невидимых пылинках и пушинках, в этих неразложимых психологических атомах, в этих дифференциалах души, трепетно бьется самое сердце жизни, загадочно темнится клубок противоречий, тех противоречий, которыми жизнь живет и дышит, и движется, и растет. Только здесь можно расслышать тихий, едва слышный шёпот той стыдливой, внутренней правды, которая боязлива на громкие слова и видные поступки, на внешние, показные заявления и заметные выражения, для которой так больно, так странно выговаривать себя... Без внимания же к этим чутким малостям понимания всякая правда похожа на ложь, всякое знание о чем-либо становится обидно-безжизненным, беспсихологическим, бескровным, отвлечённо-пустым, слишком общим и общественным.
Конец семидесятых годов, годы перед «Исповедью» – время самого острого кризиса в жизни Л. Н. Толстого, время перелома, а вместе и начало пока еще смутного, только еще надвигающегося разлада в семейных отношениях Толстых. «Исповедь» пишется в 1879–81 гг.; но пережитое в ней падает на предшествующие годы, Бирюков считает их с 1876 г.
Лев Николаевич пишет «Исповедь», а Софья Андреевна записывает 8-го ноября 1878 г. в своем дневнике; «Левочка теперь совсем ушел в свое писание. У него остановившиеся странные глаза, он почти ничего не разговаривает, совсем стал не от мира сего и о житейских делах решительно неспособен думать».
А летом того же года, Л. Н., как сообщает биограф, в одном письме к Софье Андреевне, пишет, между прочим и такое Во всем будет воля Божья, кроме наших дурных пли хороших поступков. Ты не сердись, как ты иногда досадуешь при моем упоминании о Боге, я не могу этого не сказать, потому что это самая основа моей жизни».
Вот уже «начинается», уже образовалась трещинка, и душевный мир семьи дребезжит из-за этих самых беспокойств
–324–
при упоминании о Боге, что-то есть у «него» здесь такое, отчего «она», добрая, религиозная женщина, любящая, близкая и родная, уже «досадует» может «рассердиться»... Обособляется, ответвляется что-то в ней, с этими упоминаниями, «его» одинокими упоминаниями о Боге и «его» своей тревогой. Обо всем вместе, о Боге – вдруг стали врозь.
А было большое, простое и сильное, правдивое своей простотой, интимное своей глубиной, нерассказанное в своей несказанности. А то, что было в семье Толстых до разрыва, и хорошо тем, что не расскажешь о нем: не тронутое словом – правдивее, значительнее, глубже и чище там «внутри-то». Заботливый и обо всем подробный биограф здесь краток.
Берем беглые записи из дневника Л. Н. перед женитьбой.
Опасения: «Я боюсь себя, что ежели и это желание любви, а не любовь? Стараюсь глядеть только на её слабые стороны и все-таки люблю». И в другой раз: «так грустно, как давно не было. Нет, у меня друзей нет. Я один. Были друзья, когда я служил Мамону, и нет, когда я служу правде».
«Получив согласие, – рассказывает Бирюков, – он дал своей невесте прочесть дневники холостой жизни, в которых с обличением и голой искренностью описаны были все увлечения молодости, все падения и все душевные бури. «Ну, конечно», – высокопарно рассказывает г. Бирюков, «чтение... было ударом и невыразимым страданием для молодой девушки, видевшей в своем герое идеал всех добродетелей. Страдание было так сильно и борьба пережитая была так трудна, что она минутами колебалась, не порвать ли уже установившуюся связь. Но любовь разрешила все сомнения и колебания и она, выплакав ночами свои страдания, отдала Льву Николаевичу дневник, и он прочел в её взоре прощение и еще более сильную, уже закаленную любовь».
Они поженились, и Л. Н. писал Фету: «Фетушка, дяденька и просто милый друг Афанасий Афанасьевич, я две недели женат и счастлив и новый, совсем новый человек».
Много позже, когда встревоженная душа ушла в свою, чуждую и холодную для жены, борьбу с собой, когда проклятые вопросы душили его, Л. Н. так записал об этом:
–325–
«Я тогда же, быть может, пришел бы к отчаянью, если б у меня не было еще одной стороны жизни, неизведанной еще мною и обещавшей мне спасенье – это была семейная жизнь». «...Так противно мне стало мое вилянье в журнале, состоявшее все в одном и том же – в желании учить всех и скрыть то, что я не знаю, чему учить, что я заболел более духовно, чем физически, бросил все и поехал в степь к башкирам – дышать воздухом, пить кумыс и жить животною жизнью. Вернувшись оттуда, я женился. Новые условия счастливой жизни совершенно уже отвлекли меня от всякого общего смысла жизни. Вся жизнь моя сосредоточилась за это время в семье, жене, в детях, и потому в заботах об увеличении средств жизни. Стремление к усовершенствованию, подмененное уже прежде стремлением к усовершенствованию вообще, к прогрессу, теперь подменилось уже прямо стремлением к тому, чтобы мне с семьей было как можно лучше. Так прошло еще пятнадцать лет».
Но семейная жизнь не спасла, и эти 15 лет стали чувствоваться как тяжесть, как помеха в проснувшихся мыслях о Боге. В годы смутных исканий, не разрешившихся томлений – «она отвлекала от всякого искания общего смысла жизни», а теперь, когда Толстой нашел «самую основу своей жизни», семья тяготит, давит, ломает крылья... В том же 1879 году – в дневнике записано от 28 октября: «Есть люди, равномерно отращивающие себе крылья и медленно поднимающиеся и взлетающие. Монахи. Есть легкие люди, воскрыленные, поднимающиеся легко от тесноты и опять спускающиеся – хорошие идеалисты. Есть с большими сильными крыльями, для похоти спускающиеся в толпу и ломающие крылья. Таков – я. Потом бьется со сломанным крылом, вспорхнет сильно и упадёт. Заживут крылья, воспарю высоко. Помоги Бог». Что же мешает лететь? Не то ли давящее сознание связанности со своим близким, земным, родной берег, семья своя родная, жена своя, очень личная. Земнородная, она вся о земном и сыта, довольна, и крепка, любовна этим влажным дыханием земли, землистым испарением.
А мучительно томящие упоминания о Боге у Льва Николаевича, отслояющие от «своего» летучего искания общего
–326–
смысла жизни, обособляющие его в этом общем, слишком общем, своем, одиноко-душевном, немного пустом, отвлеченном, холодном и чуждом «ей», все эти «религиозности» его – для её чувства только подозрительное религиозничанье, умности, грозящие обессмыслить, уничтожить ее, жену его, Софью Андреевну, со всем, что в ней, что за ней, там, в узорчато-плотяном, цветисто-землистом, бытовом, житейском покрове. И не могла она, послушная воле жизни, – доброй же, хорошей, религиозно-праведной житейской правдивостью послушная, непосредственно, а не через посредство гордого своеволия смиренная, любящая и заботливая, не могла она со всей необходимой для её непосредственно-целостной, женски-деятельной натуры правдивостью и цельностью искренно и безбольно отдаваться дребезжащей, испытующей, вымогательской правде «его» религиозных порывов. Что-то жестокое, чужое и холодное было для неё в этой правде. И вот что находим у Софьи Андреевны в записях того времени 8-го ноября 1878 г.: «Левочка теперь совсем ушел в свое писание. У него остановившиеся странные глаза, он почти ничего не разговаривает, совсем стал не от мира сего и о житейских делах решительно не способен думать». 5-го марта 1879 г, «Левочка читает, читает, читает... пишет очень мало, но иногда говорит: теперь уясняется, или: ах, если Бог даст, то-то, что я напишу, будет очень важно». И еще с ноября 1879 г. «...Левочка все «работает» как он выражается: но – увы, – он пишет какие-то религиозные рассуждения, читает и думает до головных болей, и все это, чтобы показать, как церковь несообразна с учением Евангелия. Едва ли в России найдется десяток людей, которые этим будут интересоваться. Но делать нечего, я одно желаю, чтобы уж он поскорее это кончил и чтоб прошло это, как болезнь»...1112.
Но он так и не кончил, – а обиженный за него Бирюков приписывает после этих слов «неразумной жены»: «Жизнь рассудила иначе. Миллионы людей интересуются теперь тем, что тогда писал Л. Н-ч». И дальше пытается «дать понятие о самой сущности этой гигантской работы».
–327–
Эх! Работа вправду гигантская и у гиганта она брала, надо думать, все силы, всасывала в себя все живые соки, всю питательную влагу и тепло души, так что засыхало вокруг самое близкое, отчуждалось самое родное, холодело и замерзало. И вот образовывался уже некоторый лёгонький ледок отношений, не чувствие того, что «здесь», «подле», не сочувствие «своего», «своих» насчет жгуче-совестливого порыва участия к «тамошнему», «дальнему», любви и понимания «общего», «чужого» любовь к настоящему, живому ближнему иссыхала, сжималась, переливаясь и расплываясь в любви к дальнему. Устающее любить сердце для оживления и освежения требовало дали, перспективы, и вот особенную силу забрала тогда в Толстом его давняя тяга к народу, к «простому рабочему человеку». Изведанная и уже не обещавшая больше спасения семейная жизнь не питала душу; звала к себе, тянула, обещала спасение жизнь простых людей, манила надеждой обрести ею – Бога. И опять шел на зов, и опять радовался, обретая, опять: «новый – новый человек»... У Льва Н-ча идет сближение с разными людьми из простого народа, зоркое око ощупывает находку, смотрит еще и еще, извиваясь в сладостях добра, а Софья Андреевна продолжает беспокоиться... Наконец, со многим примирилась, обжилась, поняла и по-своему приняла. «Если бы, – пишет С. А. своему брату, – ты знал и слышал теперь Лёвочку. Он много изменился. Он стал христианин самый искренний и твердый. Но он поседел, ослаб здоровьем и стал тише, унылее, чем был. Если бы теперь послушал его слова, вот когда влияние его было бы успокоительно твоей измученной душе» (3-го февраля 1881 г.). А в дневнике Л. Н. 5-го мая записано: «Вчера разговор с В.И. о Самарской жизни. Семья – это плоть. Бросить семью – это второе искушение – убить себя. Семья – одно тело. Но не поддавайся третьему искушению, служи не семье, но единому Богу».
В свое время, от первого искушения, – от соблазна убить себя, – Л.Н-ча непосредственно то удержала не столько слабость не решающегося на самоубийство человека, даже не огромная животная жажда жить, а больше всего неуверенность, неполная уверенность в отчаянности своего положения и связанная с нею не успокоенность, искание большого Тол-
–328–
стовского ума – разума. «И мне приходило в голову: а что, как я чего-нибудь не знаю?»...1113. И теперь удерживает его от «второго искушения», быть может, та же неполная уверенность в правоте своего отпадения от «плоти» – семьи, плоти жизни всего прежнего житья бытья. И смутное, глухое сознание того, что не все ясно в том, от чего отвращается душа, чем тоскует, на что жалуется, вызывает тяжесть, духоту, неясное томление. Томление переходит в досаду, даже в раздражение. Обвинение за неудачу обновления, за «поломанные крылья за бессилие вспархиваний переносится, по стародавнему человеческому навыку, на «них», на людей своих близких, на обстановку, на быт. Вот и «Фетушка», «дяденька», чужим, далеким кажется и даже «враждебным». «Милый друг Афанасий Афанасьевич», такой всегда нужный Толстому своей оземлившейся, сочно-красочной душевностью, вдруг стал, вправду сказать, постылый недруг, чужой человек. Жена, Фет, друзья, знакомые, все они не понимают, делают большие глаза, противятся ему и, главное, такому, «каким» он еще не сделался, тому, «что» он еще не сделал. «Враги человеку домашние его» – это евангельское указание лежит придорожным камнем на пути идущего ко Христу. Идущий же по «своему» пути, – прежде всего сам враг домашним. Вот запись дневника, словно изваяние, высеченное на камне рукою скульптора-гиганта: «Прошел месяц. Самый мучительный в моей жизни. Переезд в Москву. Все устраиваются, когда же начнут жить? Все не для того, чтобы жить, а для того, что как люди. Несчастные. И нет жизни». Или: «Вон, камни, роскошь, нищета, разврат. Собрались злодеи, ограбившие народ, забрали солдат, судей, чтобы оберегать их оргии, и – пируют. Народу больше нечего делать, как пользуясь страстями этих людей, выманивать у них назад награбленное. Мужики на это ловчее. Бабы дома, мужики трут полы и тела в банях и ездят извозчиками».
И «томит его тоскою однообразный жизни шум», гнетет жизни «мышья беготня». Облачное небо, бегут барашки зовущих впечатлений, но «бьется со сломанными крыльями, вспорхнет сильно и упадет», больно зацепляясь за на-
–329–
рядные платья, шампанское, пеструю мишуру повседневной барской жизни. «У нас обед огромный с шампанским. Таня наряжена. Пояса пятирублевые на всех детях. Обедают, а уже телега едет на пикник, промежду мужицких телег, везущих измученный рабочий народ».
Волнующейся, волнистой линией бегут унылые дни, а все нет лучше: «Самарин с улыбочкой: «надо их вешать». Хотел смолчать и не знать его, хотел вытолкать в шею. Высказался. «Государство». Да мне все равно, в какие игрушки вы играете, только чтобы из игры зла не было» (запись 15-го мая 1881 г.), а 28 мая: «Целый день Фет»...
29 мая. «Разговор с Фетом и женой. Христианское учение неисполнимо, так оно глупость? Нет, но не исполнимо. Да вы пробовали его исполнять? Нет, но не исполнимо». А он сам «пробует» и «не так выходит», «не то» и становится врагом домашним из-за этого «не то». Как раньше, обессилив в попытках войти в церковь, споткнулся там об разное и ушибся... После беседы с одним духовным лицом, с сердцем отписал отказ свой в краткой «Исповеди». «Я все понял. Я ищу веры, жизни, а они ищут наилучшего средства исполнения перед людьми известных человеческих обязанностей». «Я» ищу, а «они» не ищут. «Я» хочу, а «они», – Фет и С. А., – не хотят, говорят – «неисполнимо». «Иго Мое благо и бремя легко», а Толстому вот дышать нечем, «бремя» давит и он досадует, раздражается на «них».
Мы с Вами знаем, что на Олимпе люди жили, просто греки увеличенные до размера богов и богинь. Здесь и бога нет, а явственно человек: большущий, большущий, огромный, непомерно – сильный... Но ощущение «своего», нашего – поразительное. Как в кинематографе покажут вдруг человечью ступню с гору, изумишься, за то в величине с гору – видишь все неладности, нескладности в размере горы же. Толстой давно стал для нас чем-то совсем «вне нас», каким-то большим, большим человеком, почти нечеловеческого размера, сверхличным, природным. Громадная, прекрасная в гигантски-сильных очертаниях своих человечья глыба, но совсем не в человеческих
–330–
размерах; человеческая глыба, нависшая над нами, хотя из «нашей же» плоти и крови. Пусть когда-то были люди – богатыри десяти-саженного роста и жили по тысяче лет, но если бы среди нас, за нашу жизнь, явился такой, что в храме Христа Спасителя в Москве не уставился,.... вот это – Толстой. А между тем, Толстой более чем кто-либо от плоти и крови нашей. Увеличьте то и это, что по песчинкам, по крупинкам в нас, в отцах и детях наших, и вот Толстой. Величина до ужаса большая, почти до потери способности увеличивать, слагать, множить и возводить в степень, но все это только математика, бесконечно большое «Мы», более чем кто-либо из других великих людей. Чтобы не далеко за примером: как не увеличивайте «наше», не выйдет Достоевского, нечего и говорить не выйдет Франциска Ассизскаго или Амвросия Оптинскаго, а Толстой выйдет, но непомерным увеличением, неисчислимой величиной так поднимется в высь, в чужь, в природу, что на него приходится смотреть... ну вот так, как дети глядят на зверей (замечательно это их в зверинце видеть: детей смотрящих на зверей, детей и зверей вместе), как-то слишком глядят. Так на Толстого смотрели на улицах, в домах, так смотреть многие ездили в Ясную Поляну. Когда-то один студент рассказывал мне с трепетом, как он видел Толстого... в Сандуновских банях. Смотрят все, как ребенок смотрит на бегемота: у, какой! Смотрит, ничего не понимая или все понимая, одно и то же, потому что оба – одно, одной самости животной, природной, потому что оба слишком живут, слишком живы в одной стихии, друг через друга неизъяснимо подлинные и только размеров не постигают: маленький зверь большого, а большой маленького... И как не жил Толстой под стеклянным колпаком, у всех на виду, как не много писал о себе, показывал, проявлял, себя, – понимается он только через такое ребячье наше на него гляденье, а иначе всегда останется под стеклом и, притрагиваясь, почувствуешь холод стекла, безжизненность понимания, мертвенность изучения: живого тепла не прощупаешь. И только изнутри увидишь этого большого человека нечеловеческих размеров растерявшимся, подавленным грузностью собственных переживаний.
–331–
Сколько уже раз сказал Толстой и написал: «нашел», «обрел», «понял», и не находит места себе, места не находит, душа мятется, мечется. Отсюда и поездки эти в Киев. Оптину пустынь и т. п., но ищет не в этих местах, а более около них, в случайных встречах на пути, в отдельных прикосновениях, болящих, но притягивающих, зовущим новых трепетом и заставляющих по новому вздрагивать усталую душу. Заметками о встречах, более всего с людьми простыми, полны страницы дневника этих лет. Читать их – удивительное ощущение, словно смотришь на Л. Н., ловишь беспокойные движения разметавшейся души заболевшего большою болью великана, ощущаешь тревогу этой души и видишь узоры, что ложатся от мира на сетчатку глаза. Объять их – дело невозможное. Подведу им маленький итог записью от 22 августа того же 1881г. «Тургенев – канкан1114; грустно. Встреча на пути народа радостная».
Тургенев – канкан, это символ разложения того, что по сю сторону кризиса, а вот живая радость, – как славно пахнуло ей в «осунувшееся лицо» Льва Н-ча – это радость о том, что открывается по ту сторону «дома», обещающая встреча на новой дороге, нить спасенья, только бы тянуть, да тянуть за нее, что есть сил. «Исповедь» хорошо рассказывает о том, как жизнь простых людей своим непреложным смыслом спасла Л. Н. от гибели. «Сближался я с народом, слушая суждения его о жизни и вере и я все больше и больше понимал истину. То же было со мною при чтении Четьи Минеи и Прологов: это стало любимым моим чтеньем. Исключая чудеса, смотря на них, как на фабулу, выражающую мысль, чтенье это открывало мне смысл жизни. Там были жития Макария великого, Иосафа царевича (история Будды), там были слова Иоанна Златоуста, слова о путнике в колодце, о монахе, нашедшем золото, о Петре мытаре; там – история мучеников, всех заявлявших одно, что смерть не исключает жизни; там – история о спасшихся безграмотных, глупых и не знающих ничего
–332–
об учениях церкви». И хотя потом Толстой отошел от религии народа, создавая «своё» евангелие, «свою» веру» «своё» Толстовское спасение и «свой» Толстовский крест, но жизнь народа продолжала оставаться для него всей правдой и звала к себе, притягивала до ссоры с собой, со своими, и обесценивала, обессмысливала жизнь своих близких, своего родного гнезда. Создавалась характерная для всех мировых опростителей, обманчиво-завлекательная перспектива вчуже своей «народной правды». «Далёкое», «не моё», чуждое, мужицкое, народное «ты» – слепило и его зоркий, пытливый взгляд. И «там» примирялся с фактом того, чем возмущался «здесь». Завлекался фикцией спасения «туда», от того, что «здесь», фикцией – не только потому, что не мог уйти «туда», «к ним», не унося с собой «здешнего», «своего», не перенося в «ты» немножечко от «я», а потому еще, что «тамошнее», прекрасное в душе, народное «ты» также нуждается в спасении, как и свое здешнее устало личное «я». Спасаться приходится не оттуда сюда, не отсюда туда, но и здесь, и там, потому что и там, как здесь, тоже самое: – разница количественная. Толстому же, в увлечениях его, она, эта разница – качественной казалась и порождала, и питала в душе его стародавнюю иллюзию спасения народом, томление о жизни простых людей, как о зовущей дали, обещающей глуби. И чем дальше, недосягаемее эта жизнь, тем обманчивее перспектива, заманчивее иллюзия, острее тоска и больнее боль оставаться собой самим. Но было знание, было чутьё народной жизни, была живая радость видеть и любить, замечать и понимать вот «того» и вот «этого», это и то, все в особенности, как оно есть: был глаз художника, зоркий до красок, теней и оттенков, любящий, любовно сострадающий. Все это давало пищу «иллюзии». Слишком от народного корня Л. Толстой, русский, полевой, деревенский, барски-крестьянский, роскошно-простой, народно-большой. Потому, быть может, не раскрыл, не расскорлупил этого, как многого. Да и здорово было ему все это, хорошо освежало, бодрило. Софья Андреевна по-настоящему это видела. «Теперь он (Л. Н.), – пишет она о муже в момент тяжелой для обоих жизни, как она сложилась с переездом их в Москву (14-го октября 1881 г.) – наладился заниматься во флигеле, где он нанял
–333–
себе две маленькие, тихие комнатки за 6 руб. в месяц, потом уходит на Девичье Поле, переезжает реку на Воробьевы горы и там пилит и колет дрова с мужиками. Ему это и здорово и весело».
«Маленькие тихие комнатки за 6 р.», «пилит дрова с мужиками», уйдет пешком с Хамовников на Воробьевы горы, да еще Москву-реку переедет, это «здоровое и веселое» для Льва Николаевича всегда, всегда ему нужное – под разной «идеологией» проделывается им всю жизнь, и «до» и «после» кризиса, и в самый, самый кризис. Он здесь и вправду с народом запросто, простонароднее, ближе к правде, к воздуху, к земле. Здесь, под открытым небом, натуральнее, безмятежнее. И, конечно, все это не та паутина, что «Тургенев – канкан», «пояса в 5 рублей», «пикники, гости», «свой быт», «свои комнаты», «свои дела». Вот идет Л. Н. в «Оптину пустынь», и, объятый путевым миром, пишет с дороги жене. «Главное, новое чувство – это сознавать себя перед собою и перед другими только тем, что я есм, а не тем, что я – вместе со своей обстановкой. Нынче мужик в телеге обгоняет. «Дедушка, куда Бог несет?» – «В Оптину». – «Что ж, там и жить останешься?» – И начинается разговор... «Только бы тебя не расстраивали и большие и малые дети. Только бы гости не были неприятны, только бы сама была здорова, только бы ничего не случилось, только бы... я делал все хорошее и ты тоже, и тогда все будет хорошо» (Июнь 1881 г.).
«Главное, главное» это новое, несущее новый трепет души, по-новому заставляющее вздрагивать усталую душу, сознавать себя тем, что, «что я есмъ». Это, пожалуй бы, и «дома» можно – «перед собой», но перед другими – «дома» нельзя. Главное и новое для себя и перед другими в этом «вне своей обстановки». «Только бы», «только бы» – то все «старое», «свое» осталось «по хорошему», а ему с этим новым так хорошо, так привольно, пока влечет «правда» жизни простых людей, и гнетет «неправда» «своей жизни», – жизни «своих». Идя на зов этой влекущей правды силится взлететь, уйти от того, что есть, было, бывает, и «пойти» на встречу тому, чего не было, нет и не бывает, что однако, кажется, – так легко может быть, так непререкаемо должно быть. Ежечасно томящая мука обыденщины, ободнявший,
–334–
всегдашний лик мира сего, своей жизни кажется оскорбительным и плоским, душа влечется сменить все это на радугу небывалых цветов жизни, на неизведанную бездну чужой были. Чуждая быль для себя, далёкого, «свое» осудившего, «своего» стыдящегося, минутами небывалой правдой представляется, мучает страстно, как нерешённая жизни загадка.
Перед переездом в Москву это опростительская тенденция совестливого народничества в Толстом сказывается с особенною силою, остротой и болью, болью от необходимости выносить себя такого, какой есть, и «со своей обстановкой». Проникаясь правдой жизни простых людей, не только как отрадным сердцу заманчивым видом, но скорее, как поучением, более – как обещающим спасенье житием, как святыней, как живою иконой, Толстой пытается добыть эту «их» правду для себя, спастись ею, смутно допуская возможность все же остаться с собой и своими, добыть сердцем «главное», «только бы ничего не случилось» и со «старым». Связь со своими, прежними кое-где потрескалась, но еще не разорвана: старое, прежнее осуждается во многом, но не осуждено совсем. Уже пережита «Исповедь», но пока нет еще всей полноты нового, всех последующих обновлений. В это время Л. Н. обожгла как огнем, потрясла как падучая болезнь, городская нищета своим тревожным стыдящим видом. По-новому застыдила, опрокинула, уязвила как ядом змеиного жала. Толстой, как укушенный, как отравленный больной лев, прибежал из Ляпинского дома, как разбуженный набатом, мечется и стонет в лихорадочных припадках совести, то в ознобе, то в жару покаянного трепета, в жгучей боли извивается, но все-таки упрямо ищет исхода, разрешения, успокоения.
Это было время «переписи в Москве» и Л. Н. хватается за неё, создает свою известную деятельность около переписи, разоблаченную после им самим в статье «Так что же нам делать?».
«В тот же вечер» – рассказывает здесь Толстой – «когда я вернулся из Ляпинского дома, я рассказывал свое впечатление одному приятелю. Приятель – городской житель – начал говорить мне, но без удовольствия, что это самое естественное городское явление, что я только по провинциализму своему вижу в этом что-то особенное, что всегда это
–335–
так было и будет, что это так должно быть и есть неизбежное условие цивилизации. В Лондоне еще хуже... стало быть, дурного тут ничего нет и недовольным этим быть нельзя. Я стал возражать свое неприятелю, но с таким жаром и с такою злобою, что жена прибежала из другой комнаты, спрашивая: что случилось? Оказалось, что я, сам не замечая того, со слезами в голосе кричал и махал руками на своего приятеля. Я кричал: «так нельзя жить, нельзя так жить, нельзя». Меня устыдили за мою ненужную горячность, сказали мне, что я ни о чем не могу говорить спокойно, что я неприятно раздражаюсь, и, главное, доказали мне то, что существование таких несчастных, никак не может быть причиной того, чтобы отравлять жизнь своих близких. Я почувствовал, что это было совершенно справедливо, и замолчал; но в глубине души я чувствовал, что и я прав, и не мог успокоиться. И прежде уже чуждая мне и странная городская жизнь теперь опротивела мне так, что все те радости роскошной жизни, которые прежде мне казались радостями, стали для меня мучением. И как я ни старался найти в своей душе хоть какие-нибудь оправдания нашей жизни, я не мог без раздражения видеть ни своей, ни чужой гостиной, ни чисто, барски накрытого стола, ни экипажа, сытого кучера и лошадей, ни магазинов, театров, собраний. Я не мог не видеть рядом с этим голодных, холодных и униженных жителей Ляпинскаго дома. И не мог отделаться от мысли, что эти две вещи связаны, что одно происходит от другого. Помню, что как мне казалось в первую минуту это чувство моей виновности, так оно и осталось во мне, но к этому чувству очень скоро подмешалось другое и заслонило его. Когда я говорил про свое впечатление Ляпинского дома моим близким друзьям и знакомым, все мне отвечали то же, что и мой первый приятель, с которым я стал кричать, но, кроме того, выражали еще одобрение моей доброте п чувствительности и давали мне понимать, что зрелище это так особенно подействовало на меня только потому, что я, Лев Николаевич, очень добр и хорош. И я охотно поверил этому. И не успел я оглянуться, как вместо чувства упрека и раскаяния, которое я испытывал сначала, во мне уже было чувство довольства перед своей добродетелью и желание выказать ее людям».
Замечательно, что Л. Н., когда он устыдился на минуту в правоте своей «сердящейся» правды, все же «в глубине души чувствовал, что прав» он, именно этою виновностью своею прав. Не искупаясь видимым господством зла и всею силою души отдаваясь невидимому добру, Л. Н. не заподозрил до конца это видимое «свое» добро, не застыдился до конца самой своей совести, а между тем здесь, в этих своих настроениях, он особенно был близок к соблазну добра1115, искушался его видом, находился, как
–336–
говорится на языке писателей Церкви, в прелести. Потом, когда острота впечатления ужасов Ляпинского дома зажила, обросла шерсткой житейскости, обыденности, когда рана зарубцевалась обидной властью времени, он подпал, как и все мы, греху зла, греху «окамененного нечувствия», недочувствия... Но сколь же меньше этот видимый, ощутимый простой грех человечьей слабости, грех – забвения, чем тот другой, не столь ощутимый, однако отравляющий тонким ядом гордыни искушающей совести, гордой силы добра, страшный своей обманчивостью правоты. Не став «блаженным» Л. Н. оступился и стал «благим», закричал благим матом, и С. Ан. прибежала из другой комнаты.
Как всегда чуткий к самопротиворечиям и неугомонный в самобичевании, Толстой минутами как бы сознает это. Когда ради своей благотворительной деятельности около переписи «он блуждал, но Ржановскому дому», стыдящийся себя и с раздвоившейся, расколовшейся душою, усталый и измученный, уже без веры в правоту своего дела, ему пришлось пережить такое впечатление, во время той же переписи.
«Студент1116 прошел в каморку хозяина, а я остановился во входной каморке и расспросил старика и женщину. Старик был мастеровой, печатник, теперь не имеет средств к жизни. Женщина – жена повара. Я прошел в третью каморку и спросил у женщины в блузе про спящего человека. Она сказала, что это гостья. Спросил женщину – кто она? Она сказала, что московская крестьянка. «Чем занимаетесь?» Она засмеялась, не отвечая мне. «Чем кормитесь?» – повторил я, думая, что она не поняла вопроса. «В трактире сижу» – сказала она. Я не понял и вновь спросил: «чем вы живете?». Она не отвечала и смеялась. Из четвертой каморки, в которой мы еще не были, тоже смеялись женские голоса. Мещанин хозяин вышел из своей каморки и подошел к нам. Он, очевидно, слышал мои вопросы и ответы женщины. Он строго посмотрел на женщину и обратился ко мне: «проститутка», сказал он, очевидно, довольный тем, что он знает это слово, употребляемое в правительственном языке, и правильно произносит его. И, сказав это, с чуть заметной почтительной улыбкой удовольствия, обращенной ко мне, он обратился к женщине. И как только он обратился к ней, так все лицо его изменилось. Особенной презрительной скороговоркой, как говорят с собакой, не глядя на нее, он сказал ей:
–337–
– Что болтать зря: «в трактире сижу?». В трактире сидишь, значит и говори дело, проститутка, – еще раз повторил он это слово. – Себе имени не знает тоже...
Тон этот оскорбил меня. «Нам ее срамить не приходится, – сказал я. – Кабы мы все по Божьи жили, и их бы не было».
– Да, уж это такое дело, – сказал хозяин, неестественно улыбаясь.
– Так нам их не укорять, а жалеть надо. Разве они виноваты?
Не помню, как я именно сказал, но помню, что меня возмутил презрительный тон этого молодого хозяина квартиры, полной женщинами, которых он называл проститутками и мне жалко стало этой женщины, и я выразил и то, и другое. Только что я сказал это, как из той каморки, из которой слышался смех, заскрипели доски кроватей, и над перегородкой, не доходившей до потолка, поднялась одна спутанная женская голова с маленькими запухшими глазами и глянцовито-красным лицом, а вслед за ней другая и еще третья. Они, видимо, встали на свои кровати и все три вытянули шеи и, сдерживая дыхание, с напряженным вниманием молча смотрели на нас.
Произошло смущенное молчание. Студент, улыбавшийся перед этим, стал серьезен; хозяин смутился и опустил глаза. Женщины все не переводили дыхания, смотрели па меня и ждали. Я был смущен более всех. Я никак не ожидал, чтобы случайно брошенное слово произвело такое действие. Точно поле смерти Иезекииля, усыпанное мертвыми костями, дрогнуло от прикосновения духа, и мёртвые кости зашевелились. Я сказал необдуманно слово любви и сожаления, и слово это подействовало на всех так, как будто все только и ждали этого слова, чтобы перестать быть трупами и ожить, Они все смотрели на меня и ждали, что будет дальше. Они ждали, чтобы я сказал те слова и сделал те дела, от которых бы кости эти стали сближаться, обрастать плотью и оживляться. Но я чувствовал, что у меня нет таких слов, нет таких дел, которыми бы я мог продолжать начатое; я чувствовал в глубине души, что я солгал, что я сам такой же, как они, что мне дальше говорить нечего, и я стал записывать в карточки имена и звания лиц в этой квартире».
Тогда, в этот момент еще смутного сознания стыда за свое «хорошество», за свою благую блаженность, Толстой не осознал до конца, что с ним сделалось: «Этот случай ввел меня в новое заблуждение, в мысль о том, что можно помочь и этим несчастным. Мне тогда в моем самообольщении казалось, что это очень легко. Я говорил себе: вот мы запишем и этих женщин и «после» мы (кто такие эти мы, я не отдавал себе отчета), когда все запишем, займемся этим» («Так что же нам делать»).
Но, ведь, позже-то Толстой ощутил же, как записал о том в «Так что же нам делать», что тут было что-то уже
–338–
совсем страшное для его посягательств; здесь он, добром искушенный, покусился гордым взмахом нечаянного доброго слова почти что на чудо... Только чудо помощи Божией могло сделать то, чего ждал, чего хотел здесь Л. Н.
Только слово, ставшее тогда же, тут же плотью, могло иметь спасающую силу там, где всякое другое слово бессильно, бессильно все только человеческое, а он, гордый верою в самочинное, своеумное, своевольное добро от рук человеческих, взмахнул своим «большими, сильными крыльями», но крылья не выдержали и вот он бьется опять со сломанными крыльями, взмахнет сильно и... упадет.
Страшно это сказать, но нельзя не сказать, – хотя бы потому, что в его большом грехе правдивости, непомерно увеличенные, до огромности выпуклые – наши маленькие грехи. Бессильный объять зовом открывающейся правды своих близких, жену, детей, друзей, – Толстой идет к «дальним», в безбрежность необъятного мира, и там (странно, что прежде всего там) пытается спасти, помочь, очистить. И обессиливается в этих порывах видимо и ощутимо, как здесь, около своего и своих, невидимо и не столь ощутимо бессилен до недвижимости, до гневливости; оттого-то и обвиняет других.
В опыте с «перепиской» Толстой почувствовал, что сознание правоты дела, которое он затеял, бледнеет, слабеет и как-то болезненно дребезжит от соприкосновения со своими близкими, перед лицом своего будничного дня, своей обыденности, обыкновенности.
«Отдав в печать статью, я прочел ее в корректуре в думе. Я прочел её, краснея до слез и запинаясь: так мне было неловко. Так же неловко было, я видел, и всем слушателям. На вопрос мой, по окончании чтенья, о том, принимают ли руководители переписи мое предложение оставаться на своих местах для того, чтобы быть посредниками между обществом и нуждающимися, произошло неловкое молчание. Потом два оратора сказали речи. Речи эти как бы поправили неловкость моего предложения: выражено было мне сочувствие, но указано было на неприложимость моей всеми одобряемой мысли. Всем стало легче. Но когда я потом, все-таки желая добиться своего, спрашивал у руководителей порознь, согласны ли они при переписи исследовать нужды бедных и оставаться на своих местах, чтобы служить посредниками между бедными и богатыми, им всем опять стало неловко. Как будто они взглядами говорили мне: ведь вот смазали из ува-
–339–
жения к тебе твою глупость, а ты опять лезешь с нею? Такое было выражение их лиц, но на словах они сказали мне, что согласны, и двое из них, каждый порознь, как будто сговорились, одними и теми же словами сказали: «Мы считаем себя нравственно обязанными это «делать». То же самое впечатление произвело мое сообщение и на студентов – счетчиков, когда я им говорил о том, что мы во время переписи, кроме целей переписи, будем преследовать и цель благотворительности. Когда мы говорили про это, я замечал, что им совестно смотреть мне в глаза, как совестно смотреть в глаза доброму человеку, говорящему глупости. Такое же впечатление произвела моя статья на редактора газеты, когда я отдал ему статью, на моего сына, на мою жену, на самых разнообразных людей. Всем почему-то становилось неловко». «Вернувшись домой в этот день, я лег спать не только с предчувствием, что из моей мысли ничего не выйдет, но со стыдом и сознанием того, что целый этот день я делал что-то очень гадкое и стыдное. Но я не оставил этого дела. Во-первых, дело было начато, и ложный стыд помешал бы мне отказаться от него; во вторых, не только успех этого дела, но самое занятие им давало мне возможность продолжать жизнь в тех условиях, в которых я жил; неуспех же подвергал меня необходимости отречения от своей жизни и искания новых путей жизни».
И делая с упрямством дело, от сознания неправдивой правоты которого все время как бы дребезжало что-то, саднило и томило его душу, Толстой не мог довести его до конца и уехал в Ясную Поляну, «раздраженный, – по его словам, – на других, как это всегда бывает, за то, что сам сделал глупое и дурное дело».
Позже, спустя три года после этой попытки, когда снова и снова прозревая, Толстой сам изобличил себя и свое «добро» в статье «Так что же нам делать», он подводит, между прочим, также краткий итог.
«Прежде чем делать добро, мне надо самому стать вне зла, в такие условия, в которых можно перестать делать зло. А то вся жизнь моя – зло».
И далее: «Я дам 100 тысяч и все не стану еще в то положение, в котором можно делать добро, потому что у меня еще останется 500 тысяч. Только, когда у меня ничего не будет, я буду в состоянии сделать хоть маленькое добро, хотя то, что сделала проститутка, ухаживая три дня за больною и её ребенком. А мне казалось это так мало! И я смел думать о добре! То, что с первого раза сказалось мне, при виде голодных и холодных, у Ляпинского, дома, именно то, что я виноват в этом и что так жить
–340–
как я жил, нельзя, нельзя и нельзя, – это одно была правда». И спрашивает: «Так что же делать?» И отвечает по-своему, новой болью вымученному: – как и что нам делать, чтобы спастись. Ответ поражает бессилием – успокоения около пустого места.
Большая и совсем голая правда Толстого, вечно новая, всегда снова рождающаяся и никогда не вырастающая в меру возраста житейской правды обыденности, иногда не обрастающая греющей шерстью, сложной пушистостью этой из мига в миг питающей живую жизнь старой правды. Правда озаряющих мгновений, правда полета на ломких крыльях приподнятых настроений, правда зовущих далей, с одной стороны, она такая робкая, беззащитная. Безжалостно опрокидывают ее прикосновения властных сил жизни; безответно изобличает ее простая укоризна привычной обыденной жизни. С другой стороны, – она, самодержавно гордая своей правотой, грозно посягает на чудо, на ту любовь, на то совершенство и добро, что не от рук человеческих. «Желанием чудным» полна, она томит, зазывает «добром», соблазняет «прелестью» блаженства «стать вне зла» = «стать вне этой жизни» = «стать богом»... – Это кричит здравый смысл, логика, все то рационалистически-человеческое, за что так держался Толстой, из чего пробовал выжить чудо, выделать шапку-невидимку, ковер-самолет, волшебные чары правды.
И не потому же, конечно, нельзя своевластно «стать в такие условия, при которых можно перестать делать зло», что трудно, больно и всячески невозможно было в то время Л. Н. разорвать с женой, с семьей и со всем тем, что в житье бытье его, в быту, в истории и культуре времени оказывалось продолжением все тех же линий, утолщением их. Разгадка тут в чем-то другом, очень тонком и сложном или уж очень простом и осязательно-грубом...
И вот в ту нору, в начальном узле своей домашней драмы, а тем паче позднее, Толстой при всей упрямой прямоте своих деланий, при всех сетованиях на помехи «со стороны», от жены, семьи, быта, ощущал также и всю сложность извилистой линии своего поведения, чтобы не сказать, как Адам Господу – Богу: «Жена которую Ты мне
–341–
дал, она дала мне от дерева, и я ел». Толстой скорее сказал бы: «я сам взял от дерева и сам дал ей, и мы ели, и все ели и едят, но я в глубине души прав, я чувствую грех свой больше всех и не буду, не хочу есть, и могу сам так сделать своей волею, не прибегая к Божественному Спасителю и Искупителю, в которого я как в Бога, не верю, и сам спасу себя и мир своими усилиями и своим умом без всякой тайны и всякого чуда, одною явью своей человеческой совести, одним усилием своей человеческой воли, земною властью человеческого добра».
«Самому стать вне зла», «сильно вспорхнуть», так сильно, чтобы улететь от себя, от всего «своего», самому создать свою религию, написать свое евангелие, взять свой крест, сказав самому себе «ныне отпущаеши», самому взять спасение себя в свои руки, заняться само освящением, самому все переделать в Божьем мире сызнова, «по новому и по своему», по своевольно-хорошему, «самому одному жить, самому одному и умереть» – вот куда твердой поступью, оступаясь и поправляясь, но никогда не отчаиваясь и не сомневаясь в последней, конечной правоте «своего», шел Толстой, и других звал вместе идти. И разве уже не застыдится он теперь в ту или иную минуту перед будничным лицом жизни, перед обыденностью, перед правдою были и бывания, мудрою, но не мудрящею. Всем все время, по-разному, немного неловко за него, но он не дрогнет, не законфузится перед этими взглядываниями, не застыдится их, не засовестится и своей собственной совести, не даст ей обратиться на самое себя. Жена и дети, друзья и знакомые, общество, Россия и весь мир в конце концов привыкли не совестясь смотреть «в глаза доброму человеку», привык и сам «добрый человек».
Но эти привычки нового самоличного добра ужаснее привычек старого безлико-житейского зла. Здесь на новых ранках новой необычной жизни чаще возможны нагноения, чем на старых хронических шрамах, почти родимчиках старой привычной жизни.
Начать хотя бы с опытов незаурядного, необычного делания добра, как сам Толстой осветил их в статье «Так что же нам делать».
«Если я иду по улице, а он («бедный»), стоя на этой улице, просит
–342–
у меня в числе других прохожих и проезжих три копейки, и я даю их ему, то я для него прохожий и добрый, хороший прохожий, такой, который дает ту нитку, из которой составляется рубашка голому; он больше нитки ничего не ждет, и если я даю её, он искренно благословляет меня». Эта обыденщина добра, обыкновенность его, бытовое доброе делание по взгляду простых людей – вековая милостыня Христа ради, по взгляду культурных людей – просто добрая вежливость, добро – приличие. А вот первая, «совсем маленькая» попытка делать необычно – доброе, сотворить добро по новому, по своему, за личною ответственностью... и сейчас рой напастей, выходит странно, страшно, стыдно, смешно и детски беспомощно... Сразу, как наказание за что-то, появляется выражение укоризны на строгом лике старой жизни, всегда неуступчивой, скупой на ласку и признание, недоверчивой к порывам, к полетам, к хорошествам. Сразу на пути такого своеобычного доброго делания появляется что-то опрокидывающее своеволие личных добрых порываний, изобличающее в этом добре нечто совсем недоброе, не простое, а непременно раздражающее, вызывающее, удивляющее, нечто душное, вымученное, деланное, ломкое, внутренне – хилое и всячески – противное. И всегда, всегда не то, не так, как хотелось, как зародилось, как стремилось... «Но если я остановился с ним (с нищим), поговорил с ним, как с человеком, показал ему, что я хочу быть больше, чем прохожий, если, как это часто случалось, он плакал, рассказывая мне свое горе, то он видит во мне уже не прохожего, а то, что я хочу, чтобы он видел: доброго человека. Если же я добрый человек, то доброта моя не может остановиться ни на двугривенном, ни на 10 руб., ни на 10 тысячах. Нельзя быть немножко добрым человеком.> Положим, я дал ему много, я оправил его, одел, поставил на ноги, так, что он мог жить без чужой помощи; почему бы то ни было, по несчастью или по его слабости, порочности, у него опять нет и того пальто, и того белья, и тех денег, которые я дал ему, он опять голоден и холоден, и он опять пришел ко мне – почему я откажу ему? Ведь если бы причина моей деятельности состояла в том, чтобы достигнуть определенной материальной цели, дать ему столько-то рублей или такое-то пальто, я бы мог, раздав их, успокоиться; но причина моей деятельности не эта, причина та, что я хочу быть добрым человеком, т. е. хочу видеть себя в каждом другом человеке. Всякий человек так, а не иначе понимает доброту. И потому, если он 20 раз пропил все, что вы ему дали, и он опять холоден и голоден; если вы добрый человек, вы не можете не дать ему еще, не можете никогда переставать давать ему, если у вас больше, чем у него. А если вы пятитесь»...
Хорошо тут сказано: «нельзя быть немножко добрым человеком». Но это и не совсем так, почему же нельзя быть немножко добрым? Но вот немножко по-своему добрым быть уже никак нельзя. Нельзя быть немножко оригинальным, немножко радикальным, немножко пророком и апо-
–343–
столом. А сказать «немножко полететь» совсем смешно и даже фальшиво. Ведь, это значит просто прыгнуть.
Вы стоите у отвесного скалистого обрыва над бурным морем, бездна внизу странно тянет вас, бурное море властно манит, над вами синее небо и летают смелые, чуждые, вольные чайки. Как дивно хорошо быть свободной чайкой, летать так, как они над бушующим морем, отвесными скалами. И если под властью иллюзии «стать, как чайка», вы попробуете немножко «полететь к морю», то, без помощи Божьего чуда, конечно, упадете на скалы. В таком положении со своей попыткой «стать вне зла жизни», наконец, очутился Толстой у скалистого обрыва старой жизни, старой правды. «Мы вольные птицы – давай улетим», говорит он С. А-е и всем окружающим. Не умеем, не можем, – от слабости человеческой голова кружится, грешны!., слышатся за ним голоса, сначала удивленные, смущенные, потом испуганные, наконец, рассерженные, возмущенные, обиженные. «Голова кружится» – это, ведь, и волнует Л. Н-ча, это и прельщает его.
«Людям, находящимся на верхней ступени лестницы, ужасно трудно понять то, что от них требуется. У них голова кружится от вышины той лестницы лжи, на которой они находятся, когда им представляется то место на земле, до которого они должны спуститься, чтобы начать жить не добро, но только не вполне бесчеловечно; но и от этого эта простая и ясная истина кажется этим людям странной» («Так что же нам делать»). Л. Н. умел «прать против рожна», потому что верил «немножко» в свое чудо от добра, как в «свою» веру, «свое» евангелие и т. п. И после всяческих неудачных прыжков у обрыва, все упрямее, настойчивее приближался к обрыву; все неотвязнее вымогал чудо из себя, из своей воли, своей мысли, своей жизни. Он из всех своих человечески-могучих сил пытался «стать вне зла жизни», оставаясь живым смертным и грешным, пытался «сам один» и пытал жизнь... Так что же нам делать? Стать вне зла жизни прыжком в пустоту. Божья милость не покидала Толстого, когда он обрывался и летел – падал, цепляясь за гордые камни скал. Господь невидимо берег его, а он упрямо шел путем своего восстания, бунта, протестующего своеволия.
–344–
И делал – проделывал все это так, что самые великаньи падения от великаньих же прыжков не были смешны, – и это уж очень много. Прыжки были страшны иногда, чаще чудачески-странны, порою заманчиво-красивы, даже благообразны, нередко раздражающе-упрямы, вызывающе-дерзки, кощунственно-грубы. Вблизи, вплоть около него, многое, конечно, совсем по иному выходило, по другому открывалось, как бы истлевало в семье, в будничности, в интимной жизни, движущейся изо дня в день, из часа в час, из минуты в минуту, а внутри её из секунды в секунду, из мига в миг.... И думаю, не один из самых замордованных поклонением и восхвалением журнально-газетный трубач не верит, что у Л. Н. – не было буден. В легенде, в «житии», в венчании славы, во всех этих снимках со сцены жизни Толстого, которыми полны биографии, тлена буден – нет. А в подлинном житье бытье они были, и очень были. И улавливая как бы самый центральный нерв, нерв нервов, разгадку силы – слабости этого современного богатыря, хочется прощупать именно здесь, в бесконечно-малых капельках жизни души, невидимую, незамеченную, неотмеченную тайну убегающих мигов, ту точку, где вершина, спускаясь, переходит в долину. Вот как рассказывает Толстой о своем первом посещении того Ржановскаго дома, который он выбрал для своих благотворительных дел.
«Как только я вошел во двор, я почувствовал отвратительную вонь. Двор был ужасно грязный. Я повернул за угол и в ту же минуту услыхал налево oт меня, наверху, на деревянной галерее топот шагов бегущих людей, сначала по доскам галереи, а потом по ступеням лестницы. Прежде выбежала худая женщина с засученными рукавами, в слинявшем розовом платье и ботинках на босу ногу. Вслед за ней выбежал лохматый мужчина в красной рубахе и очень широких, как юбка, портках, в калошах. Мужчина под лестницей схватил женщину: «не уйдешь» – проговорил он, смеясь. «Вишь косоглазый черт», начала женщина, очевидно польщенная этим преследованием, но увидела меня и злобно крикнула: «кого надо»? Так как мне никого не надо было, я смутился и ушел. Удивительного тут ничего не было: но случай этот вдруг с совершенно новой стороны показал мне то дело, которое я затевал. А затевал я облагодетельствовать этих людей с помощью московских богачей. Я понял тут в первый раз, что у всех несчастных, которым я хотел благодетельствовать, кроме того временя, когда они, страдая от голода и холода, ждут впуска в дом, есть еще время, которое они на что-нибудь
–345–
да употребляют, есть еще 24 часа каждые сутки, есть еще целая жизнь, о которой я прежде не думал. Я понял здесь в первый раз, что все эти люди, кроме желания укрыться от холода и насытиться, должны еще жить как-нибудь те 24 часа каждые сутки, которые им приходится прожить так же, как и всяким другим. Я понял, что люди эти должны и сердиться, и скучать, и храбриться, и тосковать, и веселиться».
24 часа в сутки у голодных-холодных – это, вправду, большое, большое осложнение на пути идущего к ним помочь доброго, чуткого человека. Здесь, от простого накопления количества, вырастает нечто сложное, качественное. Тайна здесь в том, что и у них день 24 часа, 1440 минут, а сколько маленьких секунд, маленьких, капельных мгновеньиц времени жизни, а следовательно, и движений души, настроений, состояний, мыслей, чувств, вообще человеческих монад... Тут бездна в малостях жизни, в бесконечной делимости её атомов; делятся, дробятся, мелькают, мелькают живые частицы души во времени и уходят в безбрежную даль, в неисследимую глубь; уходят, приходят оттуда, – «откуда-то», – принося с собой чью-то волю, чьи-то веления, ничтожно малые, но страшно сильные, у каждой по невидимой крошечке своего соку жизни, своей сладости и яду, и все вместе страшно, что делают, жизнь живой делают, а вот сделай все это своими руками, сотвори человеческой волей, заговори гордым словом своим: «да будет».
В собственной жизни, жизни будничной проповедника-подвижника 24 часа = 1440 минут, а движение души еще подвижнее колебания маятника, несравненно быстрее, смена пестрых узоров душевного опыления куда же прихотливее. Такой-то вот всего менее защищен от бесов, прячущихся в воздушных пылинках, едва видимых глазу – малых невидных паутинках. И эти 1440 минут и N-oe число мигов каждого дня в месяце и году надо изжить своевольному подвижнику только своею силою и только своею волею, изжить (подумайте!) по-своему, по небывалому, по своеумно-хорошему и неустанно, поминутно, ежесекундно творить себя и свое, отвечать самому за себя, устроиться так, чтобы обезвредить себя от их страшной власти, обезопасить, отвоеваться от них, словом сделать так, чтобы в каждую частицу житья бытья своего (а их сколько) «стать вне зла», в такие условия, в которых можно перестать
–346–
делать зло... Да, ведь, так поставленная задача – задача богов, изживать так жизнь, значит освятиться, обожиться, в ангела обратиться. Были такие, что сподобились и даже в миру. Невозможное человеку – возможно Богу. Но Толстой же сам один, в разрыве с историей, с верой отцов, с Церковью, пытался прямо голыми руками сотворить вместе со «своим» евангелием свою религию – веру, вместе со «своим» добром также и свою жизнь, вместе со своей любовью также и «своего Бога»... Вымогая, испытывал, покушался... разрушить храм и в три дня создать, кассировал дело Спасителя и Творца... Вот почему нельзя немножко... немножко полететь. Можно, пожалуй, выкачать воздух из жилища, но... чем сопротивляться давлению извне. А в начале пути, у начала казалось, что только упал нечаянно волос с головы без воли Божьей... и человек, остро осознав неправду жизни, с силой захотел искать правду, добро делать.
В исходной точке разрыва семейного разлада, помните, были только рождающие досаду жены свои «упоминания о Боге», немножко своего о религии, немножечко своего о добре, о правде, о людях, минутами щемяще остро, жгучею болью мучила совесть и пошла сама одна добиваться своего. Достоевский как-то записал наскоро в записной книжке кратко и жестко: «совесть без Бога есть ужас, она может заблудиться до самого безнравственного». И много-много потом словами, образами, символами твердил об этом и о Церкви. Толстой, запнувшийся (см. Исповедь) в своем подхождении к Церкви, за непонятность Херувимской и ненужность молитв о Царе, этого бы никогда не понял, не услышал, не расслышал у Достоевского.
Но вернемся к семейному разладу Л. Н., к тому, как странно волею своею падали волоски с головы и росли ссоры со старой жизнью, с близкими, со своим пережитым, прошлым, изжитым. Совсем ли изжитым? Страшно в пустоте строиться, в безвоздушном пространстве устраиваться, каждую-то, каждую минуту из 1440 в день, да еще с семьей, да еще с бытом и каким роскошным бытом, да еще с тем богатейшим душевным полнокровием, которое так характерно для Толстого, с многообразием всяческих связей с миром в бесконечных
–347–
проявлениях жизни. Все это никак не хочет залезать под безвоздушный колпак новой веры. Тем более что там еще ничего нет нового, положительного, кровно питательного, кроме одного только отрицания старого... Там душно, страшно, пусто. С. А. понимает, что он, Л. Н., гордый и сильный, по своему не может иначе, но она, здешняя, не может же. «Я все читаю твою статью или, лучше, твое сочинение. Конечно, ничего нельзя сказать против того, что хорошо быть совершенными и непременно надо напоминать людям, как надо быть совершенными и какими путями достигнуть этого. Но все-таки не могу не сказать, что трудно отбросить все игрушки в жизни, которыми играешь, и всякий, и я больше других, держу эти игрушки крепко и, радуясь, как они блестят и шумят и забавляют» (письмо от 27 июня 1883 г.). Вот еще более простое, женское, наивно-доверяющее, само умаляющееся, женино: «Левочка – пишет гр. С. А. своей сестре 30-го января 1883 г. – очень спокоен, работает, пишет какие-то статьи, иногда прорываются у него речи против городской и вообще барской жизни. Мне это больно бывает, но я знаю, что он иначе не может. Он человек передовой, идет впереди толпы и указывает путь, по которому должны идти люди. А я, толпа, живу с течением толпы, вместе с толпой вижу свет фонаря, который несет всякий передовой человек и Левочка конечно тоже и признаю, что это свет. Но не могу идти скорее, меня давит и толпа, и среда, и мои привычки».
Это она говорит, но многого не говорит, не может выговорить, не подозревает, что значит то страшное, когда волосок падает своею волею с головы, не подозревает, какая мудрая тайна в том, что час жизни имеет 3600 секунд, не выговаривает, не умеет сказать, что жить своей самодельной религией ей любящей, доброй, религиозной русской женщине, хозяйке, жене, матери, бабушке, изжившей ¾ своей жизни, нельзя – без смешных, неблагообразных припрыгиваний за ним, без тоски и фальши само поедающих противоречий. Ну, у него, Л. Н., свои усилия, своя тревога, своя тоска: мужская, отъединяющая его от неё, от семьи, от быта и всего прежнего, зародившаяся в одинокости, в отрыве, с того времени как он стал
–348–
в семье, со своими сам один, все равно у себя ли в кабинете, на воле, в деревне, на улице, в поездках и встречах, У неё – детская, столовая, хозяйство, пестрота и плоть жизни, и как могла бы она быть не собой, если она не своя, а жизненная, живая – житейская, неразрывно сросшаяся с душой людей, с душой вещей вокруг себя. Он свой собственный, она – не собственная, божья, земляная. Она вся в жизни, в ежеминутных долгах и только успевай расплачиваться, делать так, чтобы не быть виновной в несделанном, а он ищет долга по-мужски, уясняет вину вне житейских действий, он не «в жизни», а «о жизни». У неё думы – заботы, у него немножко выдумывания, у неё – быт, у него – события, у неё – бывание, то что есть, что было и будет, может быть, у него то, чего не было, не бывает, но должно, хочет быть, у неё – обыденщина, у него – небывальщина, у неё – старое, будничное и серое, у него – цветное, праздничное, у неё – быль, у него – небыль, не быль, да и не сказка. В жизни есть хозяин, требовательный, Л. Н. сам хозяйничает волею своею. У неё все в жизни дано, предуказано, она на послушании, покорствует воле хозяина жизни, смирная, кроткая; у него все задано, все добывается, вымогается, все – свое: своя религия, свое евангелие, свое добро, свое спасение, главное же – своя воля, свой мужской, непоседливый, испытующий, вопрошающий ум и все это немножко как бы невсамомделишнее, невзаправдашнее, не обжившееся, не воплотившееся, – одиноко мужское, даже не мужнее, не семейное, а душевно-бродячее, и в смысле сердечного обихода – «из дому, а не в дом» тянет он, в поле, в лес, в пустоту одинокости, в заманчивое ничто, в упоение умалением, в сладость изничтожения... А она вся делающая, заботливая, созидающая и покорилась «суете не добровольно, но по воле покорившего её». И не могла же она «такая какая есть», какая ни на есть, взять да жить всем тем, чем он живет. Л. Н. сам, один, а ей одной, собой никак нельзя быть, не своя она – раба Господня. Уступить, «по его» делать – значило бы для неё ничего не сделать, оболгать себя и свое. Вот «интеллигентка» могла бы, сухенькая «истеричка» могла бы, а С. А., влажная от соков жизни, этогоне могла, не смогла. На ней, как ветви и листья на развесистом дереве, выра-
–349–
стают зовущие побеги жизни, живая ответственность, тревога за них каждый миг жизни; она – женщина, жена, мать, бабушка и корни её глубоко в почве, в плоти жизни, в рождении и ращении жизни, он – муж, мужчина, его мир беспочвеннее, бесплоднее, безответственнее. Бросает семена, а надо их растить, семени нужна влага, питание из почвы, n+1 забот, тревог и вот образуется вокруг узловатый клубок извилистой землистости, любовной мглистости, житейской паутины. Он к одному своему внимателен, она ко всякому многому, он монист, она плюралиста, его религиозно-духовный мир в бескровном идеализме, она в конкретном реализме.
И вот Л. Н. стал сам по себе, а С. А.? Пусть и она сама по себе, как знает... Сиротство в любви у обоих, оба не могут «так», оба не понимают отчего «так». Гневные жалобы с обоих сторон – оба остались одни. Разошлись, устраиваясь сначала жить в одиночку, наконец, и умирать врозь. Отходит Л. Н. и... одумывается: оглядываясь на себя и свое, видит порою, что не все там то, что многое «не то, не то». Порою оглядываясь на себя, как бы на миг застыдится самой этой совести своей, требовательной и царственно-непослушной, индивидуалистически-капризной, барственно-упрямой. Задумается, откроет душу примирению, смиренному обвинению себя и прощению её, подойдет к старому и совсем по-новому все оговорит, обличит, как в «Переписи», в статье «Так что же нам делать?», как раннее – поздним. Не сживаясь с новым, мучаясь, изнемогая, опять назад обернется с любовным примирением, с чутким послушанием старому, своему, родному, подойдет к ней, С. А., посмотрит в глаза глубоко-глубоко и увидит все «насквозь с любовью», поймет так, что устыдится, наконец, чего-то, прощения, примирения запросит. Потом снова и снова уходить-приходить, чтобы уйти, пока совсем не уйдет, «правый», от «неё», от «них», бесправедных, ограбленных его правдоискательством, отуманенных его светом...
Линия отношений извивается долго и больно, не уловить её извивов, но вот светотени их из писем того же 1881 г. Л. Н. живет в Самарской губ., разлад и искания, кумыс и встречи, В. И. Сютаев, А. С. Пругавин («инте-
–350–
и степенный человек»), молокане, о них записано: «я читал свое – горячо слушали» (Толкование VI главы о чуде хананеянки), старец-пустынник – «записал его историю» и т. д. записанное в дневнике. А жене пишет от 24 августа: «Ты не поверить, как меня мучает мысль о том, что ты через силу работаешь и раскаяние в том, что я мало (вовсе) не помогал тебе. Вот уже на это кумыс был хорош, чтобы заставить меня спуститься с той точки зрения, с которой я невольно, увлеченный своим делом, смотрел на все. Я теперь иначе смотрю. Я все то же думаю и чувствую, но я излечился от заблуждения, что другие люди могут и должны смотреть на все, как я. Я много перед тобой был виноват, душенька, бессознательно, невольно виноват, ты знаешь это, но виноват. Оправдание мое в том, что для того, чтобы работать с таким напряжением, с каким я работал, и сделал что-нибудь, нужно забыть все. И я слишком забывал о тебе и каюсь. Ради Бога и любви нашей как можно береги себя. Откладывай больше до моего приезда, я все сделаю с радостью и сделаю недурно, потому что буду стараться». И еще от 6-го августа: «Хозяева наши так же неусыпно и естественно добры. Сейчас (утро) вошла Лиза1117. «Что ты?» – «А, вы тут? А я хотела подмести, убрать». А у них еще и нянька ушла, бросила их, и одна кухарка на все дела. Что ты пишешь в одном письме, что мне верно так хорошо в этой среде, что о доме и своем быте я буду думать с неудовольствием. Это как раз наоборот. Все больше и лучше думаю о вас. Ничто не может доказать яснее невозможность жизни по идеалу, как жизнь Бибикова с семьей и Василия Ивановича. Люди они прекрасные и всеми силами, всей энергией стремятся к самой лучшей, справедливой жизни, а жизнь и семья стремятся в свою сторону, и выходит среднее. Со стороны мне видно, как это среднее хотя и хорошо, как далеко от их цели. То же переносишь на себя и поучаешься довольствоваться средним. То же среднее в молоканстве, то же среднее в народной жизни, особенно здесь. Только бы Бог донес нас благополучно ко всем вам благополучным, и ты увидишь,
–351–
какой я в твоем смысле стану паинька». Значит – «новый, новый человек», излечился от заблуждения, что «другие могут и должны смотреть на все как я». Он уже не думает о доме, о своем быте «с неудовольствием» видит, что везде выходит «среднее», только то, что бывает и быть может. Почти раскрывает фикцию соблазняющую его совесть мечтой о иной, новой, спасающей правде «тех», «простых людей». Лед тает – наплывает примирение, понимание, смиряющаяся правдивость. Такое же пишет в 1882 г., когда уехал после «переписи» в Ясную Поляну. «Не тревожься обо мне и, главное, себя не вини. «Остави нам долги наша, яко же и мы». Как только других простил, то и сам прав. А ты по письму простила и ни на кого не сердишься. А я давно уже перестал тебя упрекать. Это было только в начале. Отчего я так опустился, я сам не знаю. Может быть года, может быть нездоровье... но жаловаться мне не на что. Московская жизнь мне очень много дала, уяснила мне мою деятельность, если еще она предстоит мне и сблизила нас с тобой больше, чем прежде... Я нынче думал о больших детях. Ведь они верно думают, что такие родители как мы, это не совсем хорошо, а надо бы много получше, и что когда они будут большие, то будет много лучше. Так же как им кажется, что блинчики с вареньем это уже самое скромное и не может быть хуже, а не знают, что блинчики с вареньем это все равно, что 200.000 выиграть. И потому совершенно неверное рассуждение, что хорошей матери должны бы меньше грубить, чем дурной. Грубить желание одинаково – хорошей и дурной; а хорошей грубить безопаснее, чем дурной, потому ей чаще и грубят. ...Боюсь я, как бы мы с тобой не переменились ролями: я приеду здоровый, оживленный, а ты будешь мрачна, опустишься. Ты говоришь: я тебя люблю, а тебе этого теперь не надо. – Только этого и надо. И ничто так не может оживить меня, и письма твои оживили меня. Печень печенью, а душевная жизнь своим порядком. Мое уединение мне очень нужно было и освежило меня, и твоя любовь ко мне больше всего радует в жизни».
От этого все так хорошо, что немножко конфузно читать, совестно печатать, но... это не все, не точка... Напи-
–352–
сана уже Исповедь, Евангелие, пишется «В нем моя вера», «Так что же нам делать» и т. п. Ставится и обостряются порою до режущего острия вопросы о вере, об имуществе, о том, как быть со всем этим. От 3-го марта 1882 г. С. А. пишет мужу: «Первое, самое унылое и грустное, когда я проснулась, было твое письмо. Все хуже и хуже. Я начинаю думать, что если счастливый человек вдруг увидел в жизни только все ужасное, а на хорошее закрыл глаза, то это от нездоровья. Тебе бы полечиться надо. Я говорю это без всякой задней мысли, мне кажется это ясно, мне тебя ужасно жаль и если бы ты без досады обдумал и мои слова, и свое положение, ты, может быть, нашел бы исход. Это тоскливое состояние уже прежде было давно, ты говоришь, от безверья повеситься хотел? А теперь? Ведь ты не без веры живешь, отчего же ты несчастлив? И разве ты прежде не знал, что есть голодные, больные, несчастные и злые люди? Посмотри получше: есть и веселые, и здоровые, счастливые и добрые. Хоть бы Бог тебе помог, а я что же могу сделать». А теперь? «Ведь ты не без веры живешь?» Отчего же ты... такой, какой есть, не новый, совсем не новый человек. Это вопрос удивления – из близи, от своих, не упрекающий, а скорее тоскующий голос бессильной помочь любви, быть может, все же немножко ненужной любви, не той, не такой, какой ему надо. Живые люди любят чем-нибудь, ведь, в пустоте отрицаний нечем любить, как и негде жить. «А клейкие листочки? А дорогие могилы, а голубое небо, а любимая женщина. Как же жить-то будешь, чем ты любить-то их будешь», спрашивает у Достоевского Алеша Карамазов брата Ивана, затрепетав в испуге от его исповеди, обнаружившей, что нечем Ивану жить – нечем любить.
С. А. любит своим землистым существом, любит «игрушками жизни», которыми не может перестать играть, а в глубине души как-то чувствуется, что Господь Бог послал их, создал ее такою для такой жизни, положив предел, его же не прейдеши... Л. Н. пробует любить ее тем, от чего ему самому все «хуже и хуже», любить тем, чего не имеет, а только добивается, и в любви этой боль, адская боль о том, «что нельзя уже более любить». А Л. Н. так любит любить, так знает сладость добра и его ласку,
–353–
так чудовымогательски напрягается одолеть зло, что, казалось бы, откуда же боль бессилия любить. Но в «добре» своем он именно... любит любить, кого – это второе. Его любовь «глубокая как море»... имеет какое-то внеличное направление. Она во всем и вся, но ни в чем особенная и особенно, не знает она единственности, исключительности, незабвенности, невозвратимости, не повторяемости.
Но оттого, что он слишком сам по себе, один и свой собственный, – так трудно, такими усилиями дается это самое простое и самое глубокое, то, что всегда подле и чем всего труднее овладеть. Чудо любви он брал на разум, на трезвый упрямый свой ум, и здесь охладевал до смертельного холода, до стеклянного покрова, отделяющего все и всех вокруг. Давил на стекло всею силою толстовской мощи, а из-за стекла волшебными силами искушающего добра показывалось пламя зовущего огня правды и любви, но не жгло, а холодило из-за стекла, пламени же никак не удавалось коснуться. Хлеб питающий в камни превращался... Л. Н. очень знал и слишком понимал такие холодные волны. Уже о последних днях его В. Булгаковым записано несколько наивно, но мило наивно: «удивительно меняется Л. Н. по состоянию здоровья: если он болен, он – угрюм, неразговорчив и пишет в дневнике», та даже борется в такие минуты с «недобротой», хотя никогда я не видал у него её проявлений». Раньше видывали и «проявления», но боль вопроса не в них. Эти маленькие искушеньица, умещающиеся в капельке» одной из «случайных» минут бесчисленных дней жизни, пострашнее больших видимых препятствий, всего того, что рукою, глазом, мыслью так легко и просто устранить, это же, как ядовитая моль, забирается в невидимые складочки души и, как моль, изъедает, испепеляет рукотворный храм на пути всякой новой жизни, новой любви и правды. Тленное вытягивает длинную уродливую шею из-за спины самодельной правдивости, тленное в нетление не преобразится от рук человеческих. Это простое всегдашнее человеческое так убийственно для задания Л. Н. «стать вне зла жизни». Не без веры живешь, но самодельною верою... «Хоть бы Бог тебе помог, а я что же могу сделать», говорить С. А. и больше сказать и сделать не в челове-
–354–
ческих силах. С той поры, как волосок волею своей упал с головы и Л. Н. не раскаялся, он сделался до ужаса одиноким в своем новом и жутко сиротливом, беспризорном житии, это он-то: громадно большой и сильный, любящий любить и бессильный полюбить до конца, в бессилии дерзающий на чудо. И вот пошла мука вопросов о жизнеустройстве, суета из-за сует мира сего, споры и ссоры из-за собственности, из-за излишка тепла в гнезде.
Тут с самого начала нужно подчеркнуть, что дело не о простом человеческом желании помочь чужому горю, чужой беде и нужде, когда всё это близкое и живое дано непосредственному чувству, а о чем-то другом, неизмеримо большем, и существенно, радикально отличном, даже, быть может, противоположном этому простому деланью возможного добра, возможной помощи единичной беде, конкретной нужде. Дело шло не о милостыне, а о помиловании себя перед лицом имущественной неправды жизни, о чудесном пересоздании посильной доброты во всесильное добро, о перерождении путем отказа от неправды своего и приобретения правды чужого, о волшебном само преображении.
В тот же мучительный 1881 г. Л. Н. пишет жене из Самарского имения 24 июля: «ожидания дохода самые хорошие. Одно было бы грустно, если бы нельзя было помогать хоть немного, это то, что много бедных, но деревням и бедность робкая, сама себя не знающая».
На это С. А. отвечала ему 30 июля: «Хозяйство там пусть идет, как налажено, я не желаю ничего переменять. Будут убытки, но к ним уже не привыкать; будут большие выгоды, то деньги могут уйти и не достаться ни мне, ни детям, если их раздать. Во всяком случае, ты знаешь мое мнение о помощи бедным: тысячи самарского и всякого бедного народонаселения не прокормишь, а если видишь и знаешь такого-то или такую-то, что они бедны, что нет хлеба или нет лошади, коровы, избы и пр., то дать все это надо сейчас же, удержаться нельзя, чтобы не дать, потому что жалко и потому что так надо». Тут глубокая правда в этих простых словах, тоже «робкая, сама себя не знающая».
Обоим жалко, но у него эта – любовь – жалость силою неустанно работающего ума, ищущего общих истин, по-
–355–
следних крайних решений, силою воли, требующей руководящих начал и целестремительных точек, у него эта любовь-жалость изливается вдаль, распыляется вширь, обращается в решение о том, «так что же нам делать?», «нам» и «вообще делать», обращается в проповедь хотя бы и себе, своим, именно в проповедь раздачи имения, отказа от собственности, самоотрицания, в отрицании своего и своих. У него боль конкретных впечатлений разрастается в рационалистически-евангельский морализм, в отвлеченно требовательный гуманизм. Кровянистая, живая и теплая любовь к ближнему разматывается как клубок, в бескровную, безличную и холодную воздушную ленту любви к дальнему, хочет охватить этой тонкой и длинной лентой вообще людскую беду, вообще народную нужду, вообще зло жизни. С. А., живущая непосредственной данностью жизни, боится перейти за грань непосредственного чувства, чтобы не оболгать единственное живое в чувстве тем безликим и бездонным, что чуется ей в его постановке вопроса, боится обмануть «робкую, саму себя стыдящуюся» правду живого чувства необъятным разливом вширь, общим, слишком общим и в этой общности неощутимом добром, опасается оступиться и упасть в сверхличную мировую бездонность горя и зла. У С. А. любовь к ближнему... Любовь же к ближнему в противоположность любви к дальнему, как она взята была на чувство Достоевского, на его чувственную мудрость, как она часто бралась в других терминах и берется, – что она такое? Что-то трепетно-живое, сгущенно-личное, что-то согретое теплым дыханием внутреннего человека, вниманием и лаской изнутри и внутрь личности, испарениями сердечной влажности, искренней душевности. Она чаще принимается за нечто духовное, христианское по преимуществу в противоположность рационалистическому худосочию любви к дальнему, отвлеченному безличному гуманизму с его далекими последними человеками, безличными человеческими единицами. Но в Евангелии есть и совсем другое, явственно враждебное личной крови и плоти, скорее, пожалуй, наружно похожее на любовь к дальнему, во всяком случае, совсем другое. ... «Я пришел разделить человека с отцом его, и дочь с матерью её и невестку со свекровью её. И враги
–356–
человеку домашние его»... Разделяющее начало есть, есть это как бы враждебное такой, «слишком ликой» любви к ближнему и в христианстве, – в истории, психологии, в метафизике Церкви, в самом существе, в самом составе церковно-христианском, в духовном опыте. Именно оно, именно духовное, попаляющее кровь и плоть около любви, духовный огонь и от пламени его вянет вот то, и вот это – живое, свое в лице ближнего, в чертах близкой жизни, туманится настоящее. Большая тема и не уместная для трактования здесь, но во всяком случае духовная любовь, испепеляющая на каком-то невидимом нам грешным огне всякую душевность близкого и ближних, теплокровность душевной любви, – есть тоже глубоко личная тайна; здесь мистическое постижение, проникновение духовностью через чуждость и отдаленность в личное существо людей и вещей мирового бытия, в лично-сущее всего и всех. Несомненно одно: и евангельское «враги человеку домашние его» и церковно-аскетический возглас – мольба к ближнему: «ради Бога, бегу от тебя», и всякое такое, если уже вне непосредственной, любви к ближнему, то во всяком случае и не любовь к дальнему. Здесь начинается в подлинном церковном смысле опыт духовный, а С. Л. и Л. Н., каждый по своему, со своим, только в опыте душевным: она, с её любовью к ближним, – в христиански бытовом, православно-житейском опыте будней жизни, он – в буддийско-нигилистическом, протестантски-евангелистическом опыте празднования обновления, беспрестанного освежения своего Толстовского хорошества. Казалось бы, та же подлинно Христова духовность добывается в подвиге церковного аскетизма, но она не уявима в литературе. Несомненно, совсем иною духовностью духоборствовал Толстой. Даже и Достоевский был только на крайней грани душевности христианской религии... едва предчувствуя, чуть предвосхищая то, что там... Но и этот едва брезживший свет слепил его и нас в нем. Из русских больших людей литературы, быть может, только Гоголь знал опыт духовной любви; потому-то так не умел он выговорить то, что жило в нем, не вмещаясь в бренное жилище души. Что-то было в нем сильнее литературного слова, даже слова интимного собеседования, не потому ли и покрылось оно
–357–
пеплом слов «Переписки», сокрылось от глаз. И не увидала, не узнала этого даже так называемая религиозная литература. Литература религиозных исканий последних лет не сумела понять здесь почти ничего, сделав из этой духовной сокрытости Гоголя затейливую литературную загадку – игрушку. Скажем и так, там, в сфере подлинной духовности Христовой любви светит нам далекий образ евангельской Марии, а ведь здесь, в семейной драме Толстых, драме душевной по преимуществу, мы около Марфы. И не только С. А., но и Л. Н., оба о земном пекутся, но пекутся по разному. Нельзя заспорить того, что Л. Н. весь о земном, но только он – «о земном» – «в конце концов» и «вообще», «обо всем земном», она – непосредственно печется только о земности, данной ей в удел. Она – за помощь единичной беде, отдельному личному горю; в чувстве жалости к ним и боль, вину чувствует, только за них печется около житейски-возможного, но и житейски-правдивого добра. Он подавлен огромностью зла, ищет всеобщего облегчения, всех жалеет, всех и любить хочет, и вину за все ощущая в себе, развивая и вымучивая у других, ищет постижения и достижения всей полноты соблазняющего его добра, полного воплощения житейски – конфузной правды. А прежде всего хочет всецело не чувствовать неправду: «стать вне зла жизни». Но отдаваясь своему «праведному» теряет ощущение, понимание её «неправедного». Зорко вглядываясь вдаль, не досматривает вблизи. Еще не овладев своим новым, уже отщепился, отошел от старого; еще не объяв душою всего чужого, отринул это свое. Минутами оглядывается на себя, как бы замечает это, но йотом опять так выходит, что иначе не может и обессиливается в упорном движении к зовущим далям. И вот слышится С. А-е это как бы брезгливость его к той общей их жизни, вместе созданной семейной были, к их общему, но не его теперешнему, к заботе по дому, к боли о детях, к мелочам, к деньгам, к имуществу. Свой стал как чужой далекий. Например, в октябре 1884 г. Л. Н. пишет жене: «Не могу я душенька, не сердись, приписывать этим денежным расчетам какую-либо важность. Все это не событие, как, например, болезнь, брак, рождение, смерть, знание приобре-
–358–
тенное, дурной или хороший поступок, дурные или хорошие привычки людей нам дорогих и близких, а это наше устройство, которое мы устроили так и можем перестроить иначе и на сто разных манер. Знаю я, что это тебе часто, а детям всегда невыносимо скучно (кажется, что это все известно), а я не могу не повторять, что счастье и несчастье всех нас не может зависеть ни на волос от того, проживем ли мы что или наживем, а только от того, что мы сами будем. Ну, оставь Костеньке миллион, разве он будет счастливее? Чтобы это не показалось пошлостью, надо пошире, подальше смотреть на жизнь. Какова наша с тобой жизнь с нашими радостями и горестями, такова будет жизнь настоящая у наших детей, и потому важно помочь им приобрести то, что давало нам счастье, и помочь избавиться от того, что нам принесло несчастье, а ни языки, ни дипломы, ни свет, ни еще меньше деньги не принимали участия в нашем счастьи и несчастьи. И потому вопрос о том, сколько мы проживем, не может занимать меня; если приписывать ему важность, он заслонит то, что точно важно». Биограф приписывает такое нравоучение: «Но эти – благие намерения и эти благие советы не всегда принимались и одобрялись теми, к кому были обращены». А С. А. очевидно в ответ на это письмо писала мужу от 23 октября того же года: «Вчера получили первое письмо; мне стало грустно от него. Я вижу, что ты остался в Ясной не для той умственной работы, которую я ставлю выше всего в жизни, а для какой-то игры в Робинзона. Отпустил Андриана, которому без памяти хотелось дожить месяц, отпустил повара, для которого тоже это было удовольствие не даром получать свою пенсию и с утра до вечера будешь работать ту неспорую физическую работу, которую и в простом быту делают молодые парни и бабы. Так уж лучше и полезнее было бы с детьми жить. Ты, конечно скажешь, что так жить – это по твоим убеждениям и что тебе хорошо, тогда это другое дело и я могу только сказать: «наслаждайся» и все таки огорчаться, что такие умственные силы пропадают в колоньи дров, ставленьи самоваров и шитье сапог, что все прекрасно как отдых и перемена труда, но не как специальное занятие. Ну, теперь об этом будет. Если бы я не написала,
–359–
у меня осталась бы досада, а теперь прошла, мне стало смешно, и я успокоилась на фразе: «чем бы дитя не тешилось, лишь бы не плакало». «И в тот же день, – по словам биографа, – как бы спохватившись в нанесении Л. Н боли, С. А. спешит исправить свою ошибку и пишет ему теплое слово: «Я вдруг себе ясно представила тебя и во мне вдруг такой наплыв нежности к тебе. Такое в тебе что-то есть умное, доброе, наивное и упорное и все освещено только тебе одному свойственным светом нежного участия ко всем и взглядом прямо в душу людям». Тут все говорит за себя: «взгляд прямо в душу людям», но, высказывая благие намерения и давая благие советы, Л. Н. смотрит совсем уже не таким взглядом. В письме его прощающий и любовно ласковый тон, большое понимание и тепло около «своего доброго», но, несомненно, некоторое недочувствие «её злого», сопротивляющегося. Хорошо помочь детям избавиться от того, что «нам принесло несчастье», однако, тут дело не в устранении языков и дипломов, а в том, в чем не только она, но и он слишком человечески беспомощны. Его бессилие задрапировано её сопротивлением и, быть может, – не знаю, – даже чуточку питается им и вообще всяким «нашим» сопротивлением. Сопротивление, помехи вообще часто облегчают, дают видимость возможности, подобие правды. Ну, Л. Н. благообразно брезгует её жизнью, их жизнью, С. А. – просто без щитов проникновенности, по старому, по жениному сердится: «игра в Робинзона, наслаждайся» и т. п... Он говорит мягко и больно уязвляет, она раздражается, от «добра» его «злого» делается и выходит обидно. А скажи она по другому, и возразить, пожалуй, нечего. Она как-то с сердцем, с раздражением понимает, он без раздражения не хочет знать и чувствовать. И вот выходит как-то так, что правдивее она во зле, чем он в добре. Та правдивая неправда, которой живет С. А., уже всегдашняя, вековая, она дана – передана давным-давно, её не надо заново измышлять, создавать, за неё нельзя нести личную ответственность, нужно только покорствовать ей, послушествовать, переживать честно и ответственно и в пределах своего поведения выполнять. «Не я хочу-то, хочет жизнь», могла бы и она сказать, ей нужно только хотеть по воле этой данности.
–360–
угадывать эту волю, чутко и совестливо послушествовать ей и любовно, покорно принимать к сердцу её веления как свои. Не то у Л. Н.; его неправедная правда, лично требовательная, самочинная, своеумная, не данная, а самовольно заданная, с нею надо заново устраиваться, за свои страх и риск в каждом из бесчисленных мгновений этой новой жизни, в каждый миг дня ужиться по такому-то, по новому, подъять в этой своей зачинательной жизни ту же правду жизненности, простоты, искренности, которая так властна, так стихийна в старой, изначальной. Не устыдиться, не убояться своего нового, небывалого, неоправдавшегося, перед ликом бывалого, оправданного1118. Нужно истинно новое рождение – неудержный зов.
Толстой понимал это и в последние годы жизни, почти накануне ухода, ответил на одно из бесчисленных внешних подталкиваний его к уходу со стороны «доброжелателей»: сделать это надо никак не для того, чтобы подействовать на других. Это не в нашей власти и не это должно руководить нашей деятельностью. Сделать это можно и должно только тогда, когда это будет необходимо не для предполагаемых внешних целей, а для удовлетворения внутреннего требования души, когда оставаться в прежнем положении станет так же нравственно невозможно, как физически невозможно не кашлять, когда нет дыханья»1119.
Но так ли это понимал Лев Николаевич задолго до ухода в 80-ые годы, когда не уходя – уходил и, уходя – не уходил, когда боролся и воевал, не завоевывая; одолевая, ослабевал, обличая, себя изобличал, вымогая – не мог... Когда в своем обновлении там и тут оставался по-старому и со старым, в своем сам не свой был, взлетал – и падал со сломанными крыльями.
Выше говорилось о том, как «нельзя немножко добрым быть», т. е. нельзя на бунт идти – немножко, немножко с обрыва слететь, – нельзя и проклясть немножко. А от проклятия
–361–
старой, осужденной Толстым, жизненной данности во имя самочинной заданности, постоянно, в тот или иной миг жизни, в том или ином повороте её, движениях души, встречались в нем и сплетались, срастались с необходимостью изживать эту данность, старую, отринутую сознаньем. И не только изживать, как что-то внешнее, уже чуждое. Изживать, значит и внутренне принимать, все еще любить и все еще радоваться, греться около неё. Голой механической необходимостью двигаться может только механическое же, живая душа живет иною необходимостью. Есть и жить это ведь не вращение колеса в машине, а жизненный религиозный факт, и если не проливается на него тепло и свет из новых алтарей, то волею-неволею согревается и освещается он святыней старой отринутой правды. Жизнь не может стоять ни на чем. Живая душа правду изживаемого, – пусть скрыто, без мысленно, – носить в себе в самой возможности жизни, движений, поступков. В движущей силе их тайно присутствует эта осмысливающая их правда. Вне смысла нет жизни. И Лев Николаевич в те 80-ые годы, как раньше и после них, ел и пил, двигался и жил, был в общении с семьей, с женой, у него даже дети родились, он любил как-то и чем-то всю эту жизнь вокруг себя, сорадовался с этой отвергнутой им плотью старой житейскости. А чем любил, новым ли своим человеком или старым, об этом излишне спрашивать, слишком ясно: и старым. И никак нельзя допустить, что он только осуждением этой данности жизни изживал её неизбывность. Пришлось бы допустить, что, если не прямо проклятьем, то отрицанием жизни – жил и дышал Толстой. А если так, если внутренне продолжал прикасаться он к этой старой жизни и вдохновляющей её святыне, если внутренне срастался, сплетался с нею, соединялся душою и телом, продолжая и даже рождая ее вновь и вновь, и в себе и от себя, то не мог же он, не должен был только тайком, крадучись брать её. Сорвав покровы со старых алтарей – как-же можно просто питаться от этих алтарей, по животному! Просфору можно только вкушать, но никак нельзя по необходимости жрать. Нельзя оторвать идеальное начало жизни, её смысл, правду, тепло и свет от таинственной мглистости житья бытья, акта ядения-питья,
–362–
рождения-зарождения, нельзя это ни в одну из минут дня в году, нельзя разъединить то, что прежде всего соединить стремится всякая правда, всякая религия. И разрыв, разъединение, это – смерть всякой правды, всякой религии, всякой святыни, как старой, так и новой. И с той, и с этой стороны здесь или утаивание, или уже кощунство, мертвящее, страшное; здесь зарождается яд самых убийственных противоречий, гнойного, червивого лицемерия, сосущей душу лжи. Изживать жизнь – и не хотеть знать, не осязать правды изживаемых поступков своих, влечений, желаний, жить без «оправданий», это – загадка. Еще большая загадка отринуть эту правду и изживать осмысливаемое ею действие в часах и мигах, вне ощущения её живого дыхания. Быть и не добыть правду этого бывания, не овладеть ею, обессмысливать силу своих переживаний в самый момент их «проживания», нет этого нельзя понять, тут что-то неладно, не так и никак не может быть так.
Чувствую, что повторяюсь, много говорю, мало выговаривая, не умею выговорить всей остроты и боли вопроса. А мучительно хочется возможно приблизиться к недосказанной тайне этих вопрошаний, как бы зацепить, завязать петелькою слов в узелок загадочно манящий и невидимо тонкий уголок вопроса... А острие здесь в тайне брака и объемлемой этой тайной проблеме плоти жизни, в неуловимо-убегающем вглубь и оттуда загадочно-темнеющем завитке тайны.
Трудно и страшно до конца почувствовать, ну хотя бы то, как мог Толстой писать то, что писал он об этом в «Крейцеровой сонате», и потом в «Послесловии», в то время, когда жена его носила его ребенка. Она носила ребенка, а он писал «Крейцерову сонату».
Так чувствовать пол, так с сознанием проклясть его и в то же время быть в нем, – значит разорвать связь правды и жизни до кощунства, значит в проклятии зарождать, значит в любви быть вне правды и в правде своей самодельной – вне любви. Вот объективный рассказ иностранного биографа Толстого, когда-то пытавшегося ужиться «около правды» Толстого.
«Его младшая дочь, Александра, родилась 18 июня 1881 г. при очень тяжелых обстоятельствах. Толстой в это время
–363–
как раз был в периоде острой тоски, вызванной у него тем, в чем он видел зло внешних условий его жизни. Вечером, накануне родов, он оставил дом, говоря, что не может больше выдерживать жизни в такой роскоши, и графиня осталась в неизвестности, возвратится ли он когда-нибудь назад. Скоро начались предродовые муки и продолжались долго. Графиня сидела или лежала, плача, в саду и отказывалась идти в комнату. Утром в 5 часов, когда она услышала, что её муж вернулся, она вошла к нему в кабинет и спросила его, что же она такое сделала, чтобы ее так наказывали: «моя вина только в том, что я не изменилась, а ты изменился». Толстой сидел унылый и мрачный и не утешал её. Борьба, происходившая в его душе, была для него важнее жизни и смерти. Наконец, графиня удалилась в свою комнату, и ребенок родился почти сейчас же. Но молоко матери было совершенно испорчено страданиями, испытанными ею, и ей запрещено кормить младенца, чему она приписывает тот факт, что её младшая дочь кажется менее похожей на неё, чем кто либо из других детей» (Моод).
Как можно с таким отношением к полу подходить к женщине, любя её и не обижая. Если в душе «к этому» одно только проклинающее нет, без тени света от святыни правды, без капельки благословляющей влаги, то это возможно только при сообщничестве в преступлении. Но если она чувствует по-иному, то тогда его преступление – обман, измена и предательство.
Разгадка тут, быть может, просто в рационалистичности «да» и «нет» Толстого, в одноцветности его утверждений и отрицаний, в том, что Толстовская «правда» только мертвая маска живых чувств, рационалистически – грубая запись около мистической глуби жизни. Брак – тайна Божия, таинство Церкви Христовой, и глубокую ночную тайну эту и тем более свет от святыни таинства никак невозможно до конца выговорить, сделать без тайным, вытащить на дневной свет «и прилепиться к жене своей, и будет два во плоть едину. Тайна сия велика есть». В «Анне Карениной», пока Китти носит, кормит, растит, Левин теряет непосредственное ощущение данности смысла своей жизни, опустевшим сознанием запрашивает о нем,
–364–
один, без неё, вне соединившей их тайны брака. Задает себе вопросы об этой тайне... Просыпается старое, добрачное в нем, мужское, духовно-бродячее. Он, словно заблудившись, недоумевающе ищет утраченного ощущения правды жизни, смысла её; изумленно и странно оглядываясь, пробует зацепиться за него разумом, отщепившись волею, чувством, и, цепляясь, вытягивает упрямый свой разум на свет солнечных лучей. И чуть ощутив присутствие тайны в сознании, изумляется изумлением дивным простоте мудрости, питающей силу жизни, глубокой, не дающейся сразу простоте правды о жизни. А жена? … «Нет, не надо говорить ей, это тайна для меня одного нужная, важная и невыразимая словами». И вот с этою, для себя одного тайною, мужской, а не мужнею, внебрачной тайной и начинает жить Левин в заключительном моменте романа. И затем, привыкнув к ней, ободняв в дневных и будничных узорах рационалистической мысли, уже не Левин, а настоящий Лев Николаевич, после Анны Карениной, дальше и смелее пытается поднять покров, решает, что можно не только уже открыть, проявить рационалистически эту правду о жизни, но и явить, создать, сотворить её заново из себя одного. И вот «Исповедь» пред всеми и попытки, всё новые и новые, религиозно строится заново, самому – одному, и «разрушая» творить по-новому по-своему. И разрывается ниточка за ниточкой связь, освященная и закрепленная в таинстве брака, – с женой, в тайне рождения с семьей, с бытом, с домом с собственностью, родиной, с почвой, с землей, жизнью земною.
Новая истина раскрывается для Л. Н. отрицанием старой, она – отрицательная истина по преимуществу, «стоит только человеку не желать иметь земли и денег, чтобы войти в Царствие Божие. Он убедился, что зло, от которого мир погибает – собственность – не есть закон судьбы, воля Бога или историческая необходимость, а есть суеверие, нисколько не сильное и не страшное, а слабое и ничтожное, и что освободиться от этого суеверия, разрушить его так же легко, как разрушить слабую паутину». И он всею душой захотел разрушить родное гнездо, покинуть и дом, и жену, и детей, и поля, и капиталы, и таланты, и все данное ему судьбой, отринуть и сделаться ничего неимущим, чтобы
–365–
заново и самому добывать своё добро, своё право быть добрым, свою личную правду.
О внешней стороне, разрыва в семье Толстых, имущественной его стороне, еще в то время откровенно поведал брат С. А. Толстой, С. А. Берс. «Об отношении к своему состоянию, сообщает он, Л. Н. говорил мне, что он хотел избавиться от него, как от зла, которое тяготило его при его убеждениях; но он поступал сначала неправильно, желая перенести это зло на другого, т. е. непременно раздать его, и этим породил другое зло, а именно энергический протест и большое неудовольствие своей жены. Вследствие этого протеста он предлагает ей перевести все состояние на её имя, и когда она отказалась, он то же, и безуспешно, предлагал своим детям». С откровенностью рассказывал Берс и о тогдашних отношениях Л. Толстого к жене: «Теперь к жене своей Л. Н. относится с оттенком требовательности, упрека и далее неудовольствия, обвиняя ее в том, что она препятствует ему раздать состояние и продолжает воспитывать детей в прежнем духе. Жена его, в свою очередь, считает себя правою и сетует на такое отношение к себе мужа. В ней поневоле развились страх и отвращение к учению (толстовскому), последствиям его. Между ними даже установился тон взаимного противоречия, в котором слышатся жалобы друг на друга. Раздать состояние чужим людям и пустить детей по миру, когда никто не хочет исполнять того же, она не только не находит возможным, но считала своим долгом воспрепятствовать этому, как мать».
– «Мне теперь трудно – писала об этом времени С. А. – я все должна делать одна, тогда как прежде была только помощницей. Состояние и воспитание детей – все на моих руках. Меня же обвиняют за то, что я делаю это и не иду просить милостыню. Неужели я не пошла бы за ним, если б у меня не было малых детей? А он все забыл для своего ученья».
Жена Л. Н., чтобы сохранить состояние для детей, готова была просить власти об учреждении опеки над его имуществом.
Это было в 80-х годах, с той поры, в течение 30 лет, много наросло, много пережито с обеих сторон, но поло-
–366–
жение в существе оставалось тем же. Имущество переведено на имя Софьи Андреевны, переведено на её имя и все земное, житейское, бытовое, будничное, землисто-грешное, «вся та жизнь, с которой так тягостно считаться». За именем же Льва Николаевича остается отрицание всего этого, протестующая совесть, пассивно сопротивляющаяся правда новой веры. Он ушел, не уходя, – ушел задолго до ухода, ушел, оставаясь только внешне, пространственно, «дома», в гнезде, внутренне же, душою отринул все, со всем разорвал и, рассорившись, устанавливал только внешнее тридцатилетнее перемирие до смерти, худой мир, чтобы с ними быть и их не знать, быть вместе и не жить вместе, послушествовать и бунтовать, прощать и осуждать, переносить и жалобиться, смиряться и гордиться, любить и холодеть, прикасаться и брезговать... словом, жить и не жить.
Так и стало два берега, на одном С. А. с семьей, теплом и сорным добром жизни, во всякой паутине житейскости, с всякою «кривдою», на другом – Л. Н. со своей самодельной верою, с холодом и пустотою чистоты, с одного голою «правдою» отрицания. И как тогда, оставшись, Л. Н. ушел, так, много позже, накануне смерти, уйдя, остался. Остался отрицанием, отрицательным осудительным касанием всему, питательным отрицанием и питательным осуждением. По сю сторону, на его берегу, минус ставится всему, что по ту сторону, «там у них», плюсом отмечается; не надо ему того, что там нужно, не важно, что там важно, для него просто, что там сложно, и сложно, что там просто, безответственно и легко, что там ответственно и трудно, обессмыслено и обездушено все, что там полно души и смысла. Но минус и плюс к одной и той же абсолютной величине относятся, абсолютно реальной на обоих берегах: у них положительно, у него отрицательно. Отказываясь, Л. Н. не преодолевал, а отрывал; уходил, а не поднимался. Его своеобразный аскетизм не над миром, а только против мира. Не преодолением мира, не спасением личности, не победою над злом, не воскресением, а отрицанием мира, мертвенностью личности, пассивным сопротивлением злу, бессильным отрицанием смерти, – упрямой нетовщиной творил он свою веру, «свое житие».
–367–
Так страстно, так напряженно стремился начать создавать житие свое, начать жизнь просвещающую, во тьме светящую светом, но именно близких своих менее всего мог просветить, «темным» для них сделался, «темным» – остался1120. Из всех сил стараются обратить жизнь Толстого в житие. Булгаков так и пишет последние дни Льва Николаевича. Однако – темнота, пустота и что-то душное ощущается в этой атмосфере самодельного подвига, самосочинённой правды, мучительно тревожит что-то неулаженное, неуспокоенное, непросветлённое, обидно неблагостное, неблагоговейное, – словно где-то совсем недалеко незапертые ставни хлопают от ветра, и в стекло кто-то скребется или, может быть, это ветер воет в трубе, тоскливо-холодно... Чувствительнее всего это в мелочах повседневности, в тусклости буден.
«....К чаю Л. Н. вышел мрачный и, не помню – почему, сказал, что на свете жить тяжело.
– Тебе-то, почему тяжело? – спросила С. А. – Все тебя любят.
– Еще как тяжело-то, – возразил Л. Н. – Отчего же мне не тяжело-то может быть? Оттого, что кушанья-то хорошие, что ли?
– Да нет, я говорю, что тебя все любят.
– Я думаю, – снова возразил Л. Н., – что всякий думает: проклятый старикашка, говорит одно, а делает другое и живет иначе; пора тебе подохнуть, будет фарисействовать то. И это совершенно справедливо. Я часто такие письма получаю, и это – мои друзья, кто мне так пишет. Они правы. Я вот каждый день выхожу на улицу: стоят пять оборванных нищих, а я сажусь верхом на лошадь и еду, и за мной кучер»1121.
–368–
И такое много-много раз повторяется, много-много раз слышится в семье Толстых в долгие-долгие годы их жизни. Ободнявшее непокорное покорство, смирившаяся жалоба, жалующееся своеволие: оставшись – ушел, уйдя – остался, и все-то, все приговаривал, пришёптывал, прицепляя боль свою к будням жизни, к чужому – свое, к радости близких свою обжившуюся среди них тяготу...
Наступает весна, которая, 79-я-ли, 80-я ли в жизни Л. Н, распускаются зелёные листочки, воздух струится, ласкаясь, просится радостью в душу, о чем-то просит, куда-то зовет. Весна в Ясной Поляне.
«Обед. Л. Н. выходит на террасу, где накрыто в первый раз.
– Что, хорошо? – обращается к нему С. А.
– Да нет, нехорошо. Что же на позор выставлять? Ходит народ, все это видит.
Я видел, как огорчилась С. А.
– А я думала, что ты скажешь: ах, как хорошо, – говорила она ему после тихо за обедом. – Такая природа...»
«Истинный прогресс идет медленно, – ведет Л. Н. беседу за тем же обедом, – потому что зависит от изменения миросозерцания людей. Он идет поколениями. Теперешнее поколение состоит, во-первых, из бар, из таких, с которыми совестно вот здесь обедать, и из революционеров, которые ненавидят их и хотят уничтожить их насилием. Нужно чтобы оба эти поколения вымерли и заменились новым. Поэтому всё – в детях, все зависит от того, как воспитывать детей. После обеда все пошли на деревню – показывать крестьянам граммофон, что давно, задумал Л. Н. Я понёс ящик, Ив. Ив. – трубу, а Л. Н. и Хорада – по свертку с пластинками. Затем установили граммофон на площадке у избы, где помещается библиотека, созвали обитателей Ясной Поляны – деревни и завели машину. Ставили и оркестр, и пение, и балалайку. Балалайка особенно понравилась. Под гопак устроили пляску, которую Л. Н. наблюдал все время с живым интересом»1122.
–369–
Все это рассказывает простодушный ученик – зритель одно за другим, не подозревая, сколько тут мучительных, воистину страшных в простоте своей глубоких противоречий и добрых ужасов. Наступил ногой на зелёную радость, раздавил лепесток тихой ласковости, сверлящей «совестью» проколол живое тело, затемнил темнотой этой самой совестливости улыбку ясную весны. Застыдился обедать с «такими» снаружи, а не застыдился изнутри совести своей, взял граммофон и «завел машину».
Медленно изменяется миросозерцание людей, поколениями, во мглистой дали дней и годов таятся питающие их источники, а вот преображающая сила новой правды скора и стремительна – воспитывать детей, воспитывать, учить, научать... и вот ученик с нежностью рассказывает, как Л. Н. просит направить трубу граммофона к двери, «тогда бы и они могли слышать». «Спи – это были лакеи, какой-то мальчик, какая-то женщина и еще кто-то, одним словом, прислуга, которая в сенях толпилась на ступеньках лестницы и сквозь перильцы заглядывала в зал и ловила долетавшие до неё отрывки «слов графа» – как они говорили, что я слышал, проходя по лестнице».
Или еще: – «Право, нам бы нужно в нашем обиходе одно блюдо сократить. К чему оно? Совершенно лишнее»... Так, так, очень хорошо, но отчего все это не столько трогательно, сколько томительно, не столько хорошо, светло, сколько тягостно, душно, сказать прямо, противно... Заведена бытовая многовековая машина, а Л. Н. упрямо заводит свою машинку и себя, и всех своих надоедливо томить ею, как браминским решением Пифагоровой теоремы (см. об этом у того же Булгакова), в поезде едучи, свои самодельные поезда пуская внутри вагона, в обратном направлении... И всех, приглашает в соучастники, серьезно и величаво. Главное же, все это делается трезво, размеренно, бескровно из мыслительно, как-то плоско, без огня и без хмеля, без всяких бродильных ферментов. В упрямом уродстве его нет и тени юродства. Ради них, – «какой-то мальчик, какая-то женщина и еще кто-то», – делается что-то, какое-то хорошество, насильно обращающее свое родное в чужое и дальнее, а чужое далекое – в близкое своё. Личное, живое, конкретный трагизм жизни уродуется в общее, мертвенно безжизненное...
–370–
Заменив своим отрицанием чужие утверждения, изменив плюс на минус, он оставил абсолютную величину неприкосновенной. Из мудро-покорного раба мира сего обратился в мудрено непокорного раба этого же мира. Сам посягая на чудо верой в самочинное превращение плюса в минус, в чудо Божьего преображения не верил и у Бога чудес не просил; призывая Бога, спасения от Него не хотел и в Спасителя не верил; молясь, неумолимость Божию утверждал, бессилие Его над миром... И вот, пройдя мимо тайны Искупления, тайны вечности бессмертной личности, разрешимой только в Воскресении, мимо брачной тайны индивидуального слияния, упрямо и бессильно пытаясь сделать тайное явным, обратил всё здесь в без тайное, отщепился душой от трагедии личности, личного зла и личного добра, от личного в себе, в своем, в семье, в жене и детях, в людях и в мире, обрёл, наконец, безличность в себе и вокруг себя, в Чертковых, Бирюковых, Булгаковых. В бессилии внутренне преобразить, убелить, освятить сам свое, родное, кровное, отдался чуждому, безродному, бескровному в толстовщине, чертковщине, стал, старался стать не самим собой, чтобы и все вокруг было не само собой, обезличилось, обескровилось, обезжизнилось – омертвело.
Страшно то, что в семью Толстых, через жизнь, через душу Льва Николаевича явился Чертков, символизируя холод и пустоту, тупое добро, безликую, бестрепетную правду, прямую, как аршин, совесть, добродетельную духоту, тяготу, нудную надуманность добра. Ты царь – живи один, сказал поэт о гении. Гений Толстого ни с кем, ни с чем живым не ужился, ни с чем человечески-личным не сливался, и, как гений, предпочитал нечеловеческое, подчеловеческое. Завел около себя мохнатое, жиром лоснящееся, мускулисто животное, послушное, верное, отдохновенное. Такова сокровенная психология отношения Л. Толстого к толстовцам. И вот это безликое, чуждое, индивидуально-мертвенное, человечиной не пахнущее существо обжилось около гения Толстого, ободняло... И уже покушается на глубокую личную тайну его жизни, поглотило все собственное, самородное, лично-ценное и стало для Льва Николаевича лучше, ближе, роднее, важнее и нужнее своего
–371–
собственного, своей жены и своих детей, своего гнезда, своего гения. Аляповатая гуттаперчевая фигура Владимира Черткова вместо и на месте личной тайны и живой близости к своей семье и самому себе.
Гениальный старец любил-таки играть в куклы. И вот его любимая резиновая кукла надулась воздухом, задвигалась на пружинах и, как мяч, подскакивая, пошла плясать, производя беспорядок среди живых. И вот пошло все личное обезличиваться; все глубокое и топко-психологическое, интимно-житейское и неприкосновенно-личное стало захватываться идейными лапами общественной требовательности, рациональной притязательности, фальшивой выдуманности. А, ведь, Толстой жил все-таки в не разгибаемом завитке иррациональной житейскости, и вот живые нити семейной паутины, где материальное приросло к душевному и даже духовному, где души слились с вещами, – вдруг стали разматываться и размериваться по грубо внешним, насильственно идейным, общественно-рационалистическим шаблонам, развешиваться и расцениваться на фальшивых весах газетного благородства и журнальной справедливости.
И велика была глубокая, несказанная обида Софьи Андреевны, правда подлинная в неизъяснимой боли всей семьи, когда кровные, родственные, глубоко-интимные нити их жизни стали резать и кромсать ножом общественности и идейности, когда из-под лика своего родного умирающего, умершего мужа, отца, деда, Льва Николаевича, проснулась маска Черткова и «засвистали казаченки»... по газетам, журналам, обществам и собраниям о том, к чему у них нет и не может быть никаких, ни правых, ни лживых, просто никакейших подходов, касаний, пониманий. И величие гения Толстого со смертью его еще раз накрыло тьмой жену и семью, отозвалось болью в их душах, обесчестило, обезсовестило, обездобрило, обезнравило их честью, совестью, добром и правдой Льва Толстого.
Уходом и смертью, как жизнью, Л. Н. обелился светом от тьмы домашних своих. Наконец, в защиту себя от великого мужа, С. А., семья, быт, родина, земля, все грешное, земное могло бы сказать – огрызнуться жестокими словами Катюши Масловой, сказанными Неклюдову в
–372–
«Воскресении»: «Ты мной хочешь спастись... Мною в этой жизни услаждался, мной же хочешь и на том свете спастись»...
Через это грешно-праведное «хотение» прошел в семью, вглубь её, включительно до посяганий наследственных, символический и живой Чертков, а за ним и вся идейно общественная, интеллигентская улица.
Прав был Лев Львович Толстой, когда как укушенный, закричал от боли, прав своей правдой и в том, что закричал: «как гордый сын своего отца...»
Тогда много указывалось, что Л. Л. Толстой восставляя отца жертвой «неумного влияния», умаляет «величие отца». Так высказался и другой сын Льва Николаевича – И. Л. Толстой. Однако правдой умалить величие нельзя, а что здесь правда жизни была, это так понятно, если не закрываться величием Толстого, как внешним оплотом. Великий старик был человек, сложный человек и в сложности слабеющий Чертков – слетел, как ничтожная галка с крыши, а что ничтожество галки прямизной своей решает судьбу великих сомнений великих людей, это не редкость в истории и общее место психологии. Конечно, дверь открыл к себе в комнату Л. Н. сам, один, а тот, вчуже милый ему, вошел и уселся в сердце гения на самом видном месте русской культуры, уселся с ногами на мягких подушках толстовского величия, рычит на домашних господина и тем люб господину, соблазнителен своей внеисторичностью, внепсихологичностью, галочьей прямизной...
Не быть Львом Николаевичем Толстым, а стать, вне себя самого, Владимиром Чертковым, так сказать, с предметом в уровень, только это и могло дать некоторый хмель в наслоении мотивов ухода Льва Толстого. Главное же в литой маске были все нужные черты живого лица Толстого, кроме собственного самого его, но от себя он искал ухода и черты правдоподобия оживляли толстовство в Толстом... Он ушел в объятия призрака... и умер. А маска осталась на месте лика Льва Толстого, и стали отрывать мужнее от жениного, отцовское от сыновнего, семейное от семьи, явное, обидно ясное от тайного, молчаливого большим молчанием, отрывать чем-то холодно
–373–
режущим, пусто-бездушным, мертвенно-слепым, чем-то толстовски-чертковским.
Пришли идейные тётушки-салопницы, кумушки-общественницы – наследство делить, поминки справлять, покойника, как своего, оплакивать – величать. Осмотрелись, зловеще пошептались в прихожей, пошушукались, хамски-горделиво прошмыгали в гостиную, посидели чинно и далее проследовали, как свои в кабинете рассеялись, и через идеи-принципы отца, цепляясь за них уже не по-отцовски бережно, стыдливо, а, ухватившись мертвой хваткой, залезли и в комод к матери, в столовую, в семейную кладовую, всюду забрались, разбрелись по дому, по саду, по цветникам, по тайным уголкам, всё защупали, затрогали, готовые растащить по общественным дворам, натоптали, наплевали жеванными семечками идейных мелочей общественных дрязг, домашних перессорили, и вот уже тащат все на потребу мира, злобы дня, благовидной своей злобы, огрубляют, оболванивают по общественному, по разумному, опутывают живое, житейское, интимное, изнутри правдивое фальшивыми тенетами кажущейся правды, видимостью сочинённого добра, рассудочным печатным правдоподобием.
Но Лев Толстой умер, «Господь Бог да будет милостивым Судиёю».
А. С. Волжский.
Журналы собраний Совета Императорской Московской Духовной Академии за 1915 год // Богословский вестник 1916. Т. 2. № 6. С. 257–320 (3-я пагин.).
–257–
ются в некоторых старых руководствах психологии, дерзающих в отделе эмоций подняться несколько выше среднего позитивного уровня, ограниченного в своем верхнем пределе чувствами эстетическими и нравственными (в русской литературе к руководствам подобного рода относятся: малоизвестная «Опытная психология» архимандрита Гавриила, труды Снегирева, Ушинского, отчасти – Владиславлева, Грота, Кавелина и других). Ближайшим толчком к развитию этой отрасли знания послужили, по-видимому, работы Джемса (особенно его «Многообразие религиозного опыта») и, отчасти, – Гефдинга. Но причины более глубокие лежат, конечно, в самом духе современной науки, освобождающейся все более и более от юношеского задора и простого игнорирования всего, выходящего из заранее установленных позитивных норм. Это не значит, что наука соскучилась по неведомому, но просто старый позитивизм отбора переходит постепенно в позитивизм метода, уже не стесняющегося никаким материалом, подлежащим исследованию. Все, что может быть подведено под понятие опыта, хотя бы ультра-субъективного, все удостаивается милостивого внимания науки, подлежит ее объективному суду. «Многообразие опыта» становится лозунгом новых дней.
Одним из видов такого многообразия и является религиозная психология. Ориентируясь на факте религиозных переживаний верующей души, она стремится, не уклоняясь ни в метафизику, ни в физиологию, возможно беспристрастнее изучить эти переживания и установить для них общие законы или нормы. Кое-что ею уже и сделано в этом направлении, и изложению добытых результатов посвящена вся первая часть исследования г. Колосова, тогда как вторая рассматривает те же проблемы в общем виде. С этой (главнейшей) своей стороны сочинение его производит очень благоприятное впечатление. В авторе, виден прилежный и внимательный работник, вооруженный недурным знанием трех новых языков и легко разбирающийся во многих запутанных вопросах. Конечно, несмотря на свою молодость (по вычислению автора ей всего лишь двадцать лет), религиозная психология, как и все науки во дни интенсивных международных сношений
–258–
имеет уже столь значительную литературу, что автор не был в состоянии обозреть ее всю, однако главнейшее им, кажется, не упущено из вида. Вместе с тем он, по-видимому, и не стремился к библиографической полноте, так как его целью было не изложение самых сведений, добытых данной наукой, а всего лишь выяснение ее задач и методов. Поэтому его внимание сосредоточилось почти исключительно на тех литературных произведениях новой школы, где принципиальные и методологические соображения преобладают над собственно эмпирической стороной дела. Только благодаря этому обстоятельству из поля зрения автора выпали целые школы данного направления, например, психоаналитическая и, в частности – школа фрейдистов, о которой он даже не упоминает. Жаль также, что язык автора находится в рабской зависимости от языка тех западных исследователей, которыми он пользовался. К числу новейших варваризмов нужно отнести такие выражения, как «констатация (I, 271, II, 125)» или новые формы старых: «католистический (I, 204, 207)», «социологистический (I, 207)», – такие сочетания, как «натур-существа (I, 98)», «натур-боги (II, 151, 154)», выражения вроде: «народно-психологическая религиозная психология (I, 223, 228, 234)», «психо-органическая конституция (II, 33)», «субъективно-индивидуальная религия (II, 85)», «индивидуальная личность (II, 146)», «интеллектуальные души (II, 219)» и под. К числу неудачных выражений домашнего производства относится такая, например, фраза: «Люди, испытавшие на своем веку много страданий, всегда глубже понимают жизнь, вернее оценивают ее смысл, чем бесшабашные легкомысленные баловни судьбы, подобно тому, как гастроном легче распознает вкусовые впечатления, чем аскет (II, 175)». Но все это, конечно, мелочи, не затрагивающие существа дела; с внешней стороны работа автора безупречна.
Но не такова она с точки зрения философской. Там, где автор забывает свою скромную роль наблюдателя и переходит к установлению норм объективной оценки, он сбивается с пути чистой методологии и оказывается во власти дурной метафизики. Первую такую оценку автор производит в сфере гносеологии, где он сперва констатирует
–259–
наличность двух типов познания – интуитивного и дискурсивного, а затем останавливает преимущественное внимание только на одном. Критикуя учение о. П. Флоренского о том, что истина есть интуиция-дискурсия, автор наставительно замечает: «интуиция недоказуема... потому и ставить ее в связь с дискурсивностью – по меньшей мере опасно (II, 83)». Однако в дальнейшем эта недоказуемая интуиция во мнении автора начинает заметно преобладать над дискурсией и оказывается далеко не недоказуемой. Не только объекты внешнего мира, но даже трансцендентное становится доступным лишь через интуицию. «Могущественный метафизический (?) ум Канта, сообщает он (мы оставляем на совести автора все эти философские перлы), с таким рвением старался проникнуть в самые сокровенные глубины религиозной проблемы (?), что хотел казалось схватить Самого Бога на небе и представить Его на земле в форме ясных неопровержимых логических категорий (?!). До некоторой степени эта попытка, быть может, и удалась (?!). Но только до некоторой степени. Так как представить Бога в логических понятиях, хотя бы и ясных (?), еще не значит показать Его реально... (I, 2)». Последнее возможно лишь через интуитивный опыт (ib. 3 и сл.). Но, мало того, не только объекты, как таковые, воспринимаются интуитивно, но даже самые продукты чистой рассудочной дискурсии требуют для своего усвоения интуитивного фактора – веры. «Философы, сообщает г. Колосов далее долго верили в рассудочную априористическую (?) теорию элеатов, Гераклита, Платона, Аристотеля и позднейших стоиков и неоплатоников, однако априоризм был низвержен онтологизмом схоластической философии Спинозы и отчасти Лейбница (?!). В свою очередь и вера в онтологизм была разбита и т. д. (II, 223)». Короче говоря, только «интуитивное познание безошибочно и убедительно (II, 221)», поэтому его, наряду с мистицизмом, «нужно считать лучшими методами объяснения (?) религиозных явлений (ib. 222)».
Такова первая стадия метафизического падения, наблюдаемая у сторонника чисто-эмпирического метода. Мы не будем подвергать философской критике эту подмену истины о бытии интуиции и дискурсии истиной о бытии одной лишь интуиции,
–260–
так как здесь все дело ограничивается одной лишь гносеологией. Однако отсюда недалеко уже и до подлинной измены всему эмпирическому методу, и г. Колосов ее не избег.
В разных местах своего исследования он называет принятую им точку зрения в вопросах религиозной психологии «принципом исключения трансцендентного (I, 34, 177, 181–182; II, 14)» или – «онтологического (II, 172)». Как это нужно понимать? Ведь по его собственным словам, во всяком явлении религиозной психологии «психологический анализ может констатировать наличность двух главных факторов: человеческой воли и Божественной благодати (II, 88)». Что же останется от такой картины, если мы в ней изолируем один момент, по существу, не отделимый от другого, и станем его изучать отдельно? Или может быть мы неверно поняли автора, и он рекомендует нам простое воздержание от чисто догматических богословских утверждений? Но его собственные дальнейшие слова опровергают это. «Анализировать эту последнюю (т. е. благодать), говорит он, и связать ее известным образом с человеческим фактором психология религии не может (ib.)». Но, может быть, он будет все же постоянно иметь ее в виду и относить на ее счет все те явления в религиозной сфере, которые не могут быть выведены из человеческой воли? Однако целым рядом утверждений автор отнимает у читателя и эту последнюю надежду. Забегая вперед, объясним в чем дело: автор включает трансцендентное в сферу имманентного, последнее он и называет принципом его исключения. Действительно, трансцендентное, как таковое, исчезает, тонет в имманентном. Но, правда ли, что с ним исчезает и всякий онтологизм и всякая метафизика, и мы остаемся с одной чистой эмпирией? Конечно, нет. Имманентное, поглотив в себе трансцендентное, само расширяется до пределов новой онтологической сущности, которой автор дает имя нормальной религиозности, ограниченной одним лишь субъектом. Посмотрим, как автор приближается к этой новой ценности, отобранной им из двух соотносящихся между собой религиозных факторов, подобно тому, как в сфере гносеологии он признал достойной внимания одну лишь интуицию.
–261–
«Религия, свидетельствовал он в начале своей работы (I, 6), предполагает нечто мистическое, некую сверхчеловеческую личность, некую всесовершенную трансцендентную реальность», но уже через несколько страниц уверяет: «религия прежде всего есть жизненная функция, биологический закон (ib. 7–8)». «Христос, говорит он далее, не создал религиозной системы, Он посеял лишь семена истинной и искренней религиозности (ib.)» и, говоря так, не замечает, что за крайностями простой религиозности и абстрактной системы упускает из вида Лицо Самого Христа. Утвердив далее на целом ряде блестящих страниц высшую «психологическую нормальность» мистических озарений восточных святых в противоположность «ненормальным» состояниям западных стигматиков (II, стр. 118 и смежные), автор затем уверяет, что нужно изучать по преимуществу факты «обыденной религиозности», а ограничиваться одними лишь вершинами святости «значит обрекать психологию религии на безжизненность и отвлеченность (II, 213–214)». Идя далее, автор все упрощает религиозную проблему и суживает круг явлений, притязающих на религиозную значимость. Так, соглашаясь, что «Итог» мог влиять на выработку естественной религиозности, он, однако, совершенно устраняет его из области религии откровенной, которая связана с прирожденной человеческой религиозностью иного порядка (в чем она заключается?), чем страх (II, 8–9 и сл.). Такое разделение, как легко догадаться, дает автору право устранить из сферы религиозных явлений опыт с грозным Богом, которого он попросту приравнивает к злому. «Отношения... к злым богам, говорит он, не могут быть названы чувствами религиозными, потому что последние предполагают стремление к общению и единению с Богом, предполагают радость этого единения, между тем... отношения к злым богам... аналогичны отношению животного к той палке, которая его бьет (II, 99–100). Наконец и политеистические представления, даже при сплошь добром Олимпе, не имеют права считаться одним из видов религиозности. По мнению автора, кажущийся политеизм происходит только от того, что «человек в силу тех или иных несовершенств своего психического склада в данный момент эволюции не
–262–
может сделать из своих религиозных переживаний (Окончательных выводов (дискурсивных?). Внутренняя же психологическая тенденция к монотеизму несомненна. Личная религия (?) психологически монотеистична (ib. 100)». – Если далее согласиться с автором, что все «виды заклинаний» возвращают нас ко временам фетишизма, когда царил «timor», и след. еще не было настоящей религиозности (II, 189–190), то из сферы религии выпадет весь культ и мы останемся с одной «личной религией». Но, что же, наконец, представляет собой последняя? Если она исчерпывается смутным чувством любви к чему-то, или кому-то, притом как-то нам имманентному и ничуть не страшному, то не грозит ли нам опасность попасть в школу эротогенетиков? Но, здесь автор нас предупреждает: «религии сексуального характера, говорит он (на предыдущей странице сочинения они перечислены, – это: «египетские, ассиро-вавилонские, греко-римские и другие политеистические религии») не являются религиями в собственном смысле слова, а просто народными увеселительными обычаями или институтами, подобными современным каруселям, балаганам или опереточным театрам (II, 24)».
Итак, вот куда привел г. Колосова его метод отбора, его принцип исключения одного в пользу незаконного преобладания другого. Исключенная им трансцендентность, под видом имманентной или личной религии, вновь проникла в его систему. Психологи религии, говорит он, «не увлекались в водоворот метафизических и философских абстракций. Они стояли на строго эмпирической почве, характеризуя религиозную психологию, как науку позитивную (I, 192)». С ним самим, однако, случилось как раз обратное. Чем же это объяснить? Ведь сам г. Колосов не собирался писать метафизическое исследование. Нам думается, что причины этого нужно искать отчасти в недостаточности его философской подготовки (что ясно и из вышеприведенных справок его по истории философии, полных вопиющих несообразностей), отчасти в том обстоятельстве, что ему пришлось иметь дело преимущественно с западными исследователями. Хотя последние большею частью действительно избегают погружаться в водоворот метафизических абстракций, как это правильно заметил
–263–
г. Колосов, однако это не значит, что у них нет вовсе никакой метафизики. Тип крайне-субъективной религиозности и для них является не только эмпирическим фактом, но и некоторой вещью в себе. Им только не нужны те метафизические подходы к ней, тот метафизический отбор, который вынужден проделать г. Колосов, т. к. он начинает с типов церковной религиозности, устраняющей самое понятие религиозности личной в той форме, как это понимает религиозная психология, между тем как на Западе, особенно в странах протестантских, давно уже выработался этот тип крайне-субъективной религиозности, наряду с институтом молниеносных обращений и публичной исповеди (не даром один из лучших представителей религиозной психологии Старбек считает последнюю обязательным моментом в картине, такой религиозности, – см. I, 44). Но, если в отношении к западным исследователям их метафизическая ошибка извинительна, и они могут от нее освободиться, включив в сферу своего научного опыта явления настоящей церковной религиозности, то что сказать о г. Колосове, который пытается эту односторонность Запада логически обосновать. Конечно, он совершает невольный грех не только против эмпирической науки, но и против той Церкви, к которой принадлежит и учение которой сам так ревностно защищает на многих страницах своего исследования. Но, тут мы подходим к главной ошибке, автора (которая, однако, в другом отношении может быть поставлена ему в заслугу): он не эмпирик по природе, он человек веры, и он им остается не только тогда, когда исповедует свое православие, но и тогда, когда расценивает простые данные эмпирического метода с точки зрения их нормальности, в бытие которой он верит твердо. Но, не говоря уже о том, что понятия нормального и субъективного взаимопротиворечивы, не есть ли норма, взятая в чистом виде, та самая интуиция-дискурсия, которую автор так решительно отверг? Ведь, нормальность некоторых явлений религиозной психологии, с точки зрения автора, самоочевидна, но самоочевидным мы и называем то, что в себе самом заключает весь дискурсивный ряд своих обоснований, т. е. именно интуицию-дискурсию. Или м. б.
–264–
автор сознательно обосновывает понятие нормального на каких-нибудь метафизических соображениях? Но, тогда зачем же он обвиняет религиозных психологов (вроде М. А. Новоселова) за то, что у них «религиозная психология недостаточно разграничена от философских и богословских предпосылок (II, 38)». – Их системы, говорит он, «мы образно представляем в виде каменного здания, построенного на деревянном фундаменте и крытого парусиной, причем отдельные кирпичи здания, по какому-то странному недоразумению, заменены пучками соломы (ib. 37–38)». Но, у того же Новоселова автор мог бы найти страничку, которая вероятно заставила бы его более внимательно отнестись к вопросу о нормальном и ненормальном в сфере религиозной. В документах, которые Новоселов приводит в своей статье, соблюдена вся видимость строго эмпирического отношения к делу, и, тем не менее, выводы, которые делают из них их авторы, поражают своей трансцендентностью. «От лица, служащего в одном из психиатрических заведений, пишет Новоселов, я получил недавно копию с документа, который настолько интересен, что я счел не лишним познакомить с ним читателей... Вот этот документ.
Протокол.
(Действие происходит во 2-м участке К. части).
«Вследствие с некоторого времени ненормального поведения городового означенного участка Дмитрия И-ва за №, околоточный надзиратель С., по поручению господина исправляющего должность пристава, штабс-капитана Ю., произвел дознание, причем оказалось: И-в 27 лет от роду, православного вероисповедания, запасный старший унтер-офицер 148-го К-го пехотного полка, из крестьян П-ской губернии, Оп-ского уезда, С-ской волости, деревни К-ва, образования не получил, научился писать и читать в деревне, поступил в полицию на службу 9-го сентября 190* года, до службы военной занимался хлебопашеством. По объяснению его товарищей-городовых того же участка И-на Я-ва за №, И-на П-ва за № и других, проживающих с ним в общем казарменном помещении, И-в с июля месяца сего года в свободное время от службы начал увлекаться чтением книг священного пи-
–265–
сания – Евангелия, Псалтири и т. п., начал покупать образа, развешивать их по стенам в казарме, стал усерднее и чаще молиться, затем отказался от артельного продовольствия из общего котла, чтобы не употреблять скоромной пищи, отдался посту, питаясь лишь хлебом с водой и солью, солеными огурцами, иногда варит себе картофель и ест с маслом в сухомятку, мяса вовсе не ест, постной пищи горячей лишен вследствие неимения возможности приготовлять таковую, почему с означенного времени много исхудал телом. С товарищами не общается, говорить лишь о религиозном, старается во всем выказать доброту души, даже там, где, по требованиям полицейской службы, делает упущения тем. Вообще увлекся духовным, о чем и составлен сей протокол.
Околоточный надзиратель С.
И-в водки не пьет, с женщинами сношений не имеет.
Ок. надз. С.
Настоящий протокол имею честь препроводить господину частному врачу на заключение, 27 октября 190* года.
К. части 2-го уч. и. д. пристава шт. капитан Ю.
«Возвращая настоящую переписку г. приставу 2-го уч. К. части, имею честь уведомить, что означенный в сем протоколе городовой вверенного Вам участка Д. И-в, по освидетельствовании мной, оказался одержим религиозным сумасшествием в вступительном периоде и подлежит отправлению в больницу для специального лечения.
Помощник частного врача д.»
Препровожденный в указанную больницу, продолжает Новоселов, городовой И-в явился виновником другого литературного произведения, именуемого «скорбным листом».
«Скорбный лист. Запись дежурного врача.
Больной доставлен при протоколе полиции и препроводительной надписи частного врача К. части.
Среднего роста, удовлетворительного сложения, худощав, зрачки равномерны, реагируют на свет; коленные рефлексы слегка повышены, во внутренних органах патологических изменений не обнаруживается. Больной спокоен, сознателен, ориентируется относительно места и времени,
–266–
дает точные ответы на вопросы статистического листка; память и сообразительность удовлетворительны; относительно себя, больной сообщил, что он с детства любил чтение, сам научился читать, предпочитал книги духовного содержания; во время отдыха уединялся от своих товарищей городовых, не вступал с ними в разговор, а занимался чтением; при чтении книг он иногда замечал, что не может сосредоточить внимание на прочитанном, – часто не понимает, что читает, – появлялись иногда мысли совсем другие; происходило это от врага рода человеческого, который старается сбить с толку всякого человека, желающего жить по Божьему, читающего духовные книги, посещающего церковь, «кому Бог открывается»; на эту тему больной охотно говорит, высказывает свои толкования св. Писания, напр.: главная добродетель – рассуждение; ранее он при исполнении своих обязанностей поступал без рассуждения и из-за всякого пустяка отправлял в участок лиц, нарушающих порядок, а теперь этого не делает; обязанности же свои исполняет точно, но с рассуждением. Больной утомлен: ночь провел на посту. Помещен на 2-е отделение.
Diagnos paranoia simplex? (subacuta?)»
Запись палатного ординатора.
«1–5, XI. Вял, малоподвижен, жалуется, что ему скучно в больнице, просится на выписку, считая себя вполне здоровым; уверяет, что он помещением своим в больницу обязан наветам своих сослуживцев, которые уверили пристава, что он болен; последний и отправил его в больницу. Высказывает прежние мысли, что, если человек желает жить честным образом, то враг рода человеческого начинает мешать; каким образом он «мешает», – он не в состоянии объяснить, но советует обратиться за разъяснением к священнику.
Также враг человеческий «путал его мысли», когда он занимался чтением божественных книг или думал о религиозных предметах.
6–12. Без перемены.
15-го взят братом без поправки».
(«Полицейско-врачебный протокол и христианские добродетели». «Мисс. Обозр.» 1904. № 17 и отдельно).
–267–
Приведя эти курьезные документы, Новоселов далее к каждому из перечисленных здесь пунктов психической ненормальности подбирает свидетельства св. Писания и отцов Церкви, причем, конечно, оказывается, что все отмеченные в протоколах и записях явления должны быть признаны самыми нормальными проявлениями истинной христианской настроенности, г. Колосов, как эмпирик, признает такой метод подстановки ненаучным, но, как человек православный, несомненно согласится с тем, что между протоколами научными и протоколами полицейскими наблюдается порой трогательное единство не только по форме, но и по существу. Это бывает тогда, когда к простому сообщению присоединяются разъяснения, и из донесения получается донос.
Таким-то метафизическим доносом одновременно и на религиозную психологию и на истинную религию мы и считаем все рассуждения г. Колосова о нормальной субъективной религиозности. Однако, как мы уже упомянули, его ошибка может быть поставлена ему и в заслугу. Действительно ведь она обусловлена, в конечном счете, его собственной, несомненной религиозностью, которая никак не могла примириться с мыслью, что религиозное состояние есть только психологический факт, а не что то, по существу, ценное. Трансцендентное убило в авторе эмпирика-научника, но оно же спасло в нем истинного эмпирика, живущего не одним лишь чистым восприятием, но и имеющего уста, способные различать качество пищи. А из того, что эти уста однажды ошиблись в выборе пищи, еще не следует, что категория высшего духовного вкуса должна совершенно выпасть из сферы познания. Автор написал целую апологию православной мистики, почему же он после обратился к будничному мистицизму Запада? Не изменил ли он своему первоначальному и очевидно естественному вкусу? Нам думается, что изменил, и потому-то такими неудачными оказались его попытки осолить солью философской мудрости нечто, по существу, безнадежно пресное. Наш искренний совет ему – вернуться к непосредственности первоначальных чувств. Это сделает и труд его гораздо более ценным, когда автор найдет нужным выпустить его в свет. По нашему мнению, он в целом вполне
–268–
того заслуживает, как и сам автор его с избытком заслуживает искомой им степени».
23) О сочинении студента священника Колчицкого Николая на тему: «Христианское богослужение по творениям св. Иоанна Златоустого».
а) Экстраординарного профессора священника И. В. Гумилевского:
«Прежде всего бросается в глаза приличный объем сочинения (I–VIII+1–517), достаточный для печатной книги в полтораста страниц, и необычно чистая и опрятная его внешность, что рекомендует автора, как трудолюбивого и добропорядочного работника.
«От автора (I–VIII)» мы узнаем, что настоящая его работа представляет попытку «изучить многочисленные творения св. Иоанна Златоуста именно с их литургической стороны». В этом – значение труда автора, так как творения св. Иоанна Златоуста недостаточно обследованы под литургической точкой зрения и русская литургическая наука весьма бедна исследованиями в этом направлении: автор пытается восполнять этот недостаток, являясь продолжателем доброго почина Преосвященного Филарета, Епископа Харьковского и Ахтырского. Здесь – научное оправдание темы и научная заслуга автора, как, выполнившего удовлетворительно ее задание.
Из рубрики «Источники и Пособия» (IX–XII) мы узнаем, что автор мало внимания уделял пособиям, обосновываясь на источниках, что вполне естественно в его положении: изучение литературы об Иоанне Златоусте не оставило бы ему времени для добросовестного изучения самых творений, напитало бы его чуждыми взглядами и уклонило бы от прямого задания темы. Однако знакомство со всей этой литературой – естественная потребность того, кто, изучив самостоятельно содержание творений, хочет проверить свои выводы, противопоставив им взгляды других. Эту потребность чувствовал и сам автор, почему он и не игнорировал совершенно пособий. Но, конечно, он мог лишь войти в тот обширный круг, в котором неминуемо должно вращаться научное продолжение этого труда. И, пожалуй, было бы
–269–
больше единства в характере работы, если бы автор ограничил себя источниками.
Сочинение автора делится на три части, которые в свою очередь распадаются на несколько глав: «I часть (археологическая). Христианский храм и его устройство», «II часть (литургическая). Христианское богослужение», «III часть. Таинства и обряды». Очевидна логическая невыдержанность такого плана, особенно если принять во внимание отдельные главы: почему-то третья часть оказалась не литургической, а «Священные облачения» (II ч., I гл.) изъяты из части археологической. Подобная невыдержанность встречается и в пределах отдельных частей: «Всенощное бдение» рассматривается под рубрикой: «Суточное богослужение» (II ч., III гл.), а «Путешествие по святым местам» (III ч. VI гл.) – на ряду с таинствами и обрядами, хотя литургическое положение этого вопроса автором не установлено. Деление сочинения на части и главы находится под определяющим влиянием плана школьной системы литургики. При означенном недостатке этот план обладает и положительным достоинством, помогая автору разобраться в громадном и разнообразном литургическом материале, изложив его в виде системы христианского богослужения по данным творений св. Иоанна Златоуста. Системы подобного рода имеют научно-практическое значение, корректируя школьную систему литургики, которая, как построенная на отрывочных данных, весьма нуждается в анализе и синтезе своих тезисов. Тем самым наука обогащается материалами для построения литургики, как научной системы. Как опыт систематичного изложения весьма ценного материала в этом именно направлении мы и приветствуем труд автора со стороны его плана.
Метод работы – обычный. Автор преодолевает вниманием около 11000 страниц печатного текста творений с. Иоанна Златоуста и, как пчела, собирает с цветов его красноречия все, что претворимо в литургическое исследование. Размышляя над собранными выражениями, автор сопоставляет их с греческим оригиналом там, где находит это нужным. Отправляясь от грамматического и синтаксического анализа греческих терминов, автор делает интересные полезные разъяснения археологического
–270–
и чисто литургического характера (см. стр. 72, 77, 79, 81, 97, 99, 500 и 394–395, 406, 428–429). Все же этим анализам и сопоставлениям следовало дать более широкое место. Извинить автора в этом отношении может лишь то обстоятельство, что, потратив треть академического года на последовательное чтение текста, обилием собранного материала он был вынужден работать более над ассоциацией литургических выражений, чем над анализом их. Работа ее видна, например, из такой последовательности цитат по одному и тому же вопросу: т. III, т. II, т. X, (стр. 196); или тт. IX, IV, X, VIII; II, VII, III, XII, IX (стр. 294); или в пределах одного тома: стр. 320, 322, 334, 326, 331, 350, 347 (см. стр. соч. 479).
Синтезируя добытое означенным методом, автор предлагает вниманию читателя в систематичном изложении описание христианского богослужения времени св. Иоанна Златоуста, причем картина богослужения отличается возможной в условиях ограниченного времени полнотой, так как под пером автора элементы археологического характера переплетаются с элементами характера идеологического и психологического, чтобы осветить богослужение не только как обряд, но и как движение живой мысли и живого чувства. Мысли сочинения – ясные, выражение их – определенное, а изложение литературное. Чувствуется неослабевающий интерес автора, который невольно сообщается и читателю. И здесь, как во всякой работе, можно, конечно, усматривать недостатки: идеологические (напр. стр. 16), логические (напр. 42–62; 66 ср. 67; 104 ср. 105), стилистические (напр. стр. 25, 195) и грамматико-синтаксические (напр. стр. VIII, 492, 504, 510, 511), а также недостатки внешности изложения: страница примечаний разрывает текст (стр. 41, 53, 81, 87).
Автор не имел времени использовать весь тщательно собранный материал (стр. 188, 517). Он остается при жажде работы и при серьезных заданиях, которые предносятся его уму (стр. 200, 237, 315–316, 447, 517), что нравственно обязывает его поработать над устранением указанных недостатков и над выполнением новых заданий, чтобы сделать свою работу общим достоянием чрез печатное слово. Автор безусловно достоин степени кандидата богословия».
–271–
б) И. д. доцента А. М. Туберовского:
«Нельзя не отметить, прежде всего, что автор выполнил свой труд весьма добросовестно: прочел составляющие целую библиотеку творения И. Златоуста, сопоставил русский текст с греческим по изд. Migne’я, не пользовался без нужды и украдкой чужими мыслями, предпочитая всюду свой труд чужому. Об особой добросовестности автора могут свидетельствовать также многочисленные замечания о собственных недостатках и опущениях. Последнее дает нам повод указать автору и на другие, не подмеченные им, недочеты – в самом же начале настоящей рецензии.
Отмечая в творениях Златоуста наличие двух литургических практик: антиохийской и константинопольской, автор ни одним словом не обмолвился, что ни та, ни другая не могут служить выражением общецерковной богослужебной практики своего времени. Ведь, если теперь, по истечении 15 веков, при всем стремлении к однотипности богослужения, нельзя указать двух даже сельских церквей с одинаковой практикой, не говоря о таких исключениях, какие представляют собой обычно столичные церкви, не говоря, напр., о Большом Успенском Соборе, Великой Церкви Киево-Печерской Лавры, академических храмах и т. д., – ужели тогда, при несравненно большей литургической свободе, при затруднительности путей сообщения, практика двух столичных церквей, запечатленная в творениях несравненного витии, может служить отражением христианского богослужения того времени вообще? Не была ли она, со своими всенощными бдениями, крестными ходами и пр. особенностями, скорее исключением, чем общим правилом? Отчего бы автору не сравнить ее со столь же хорошо сохранившеюся в «словах» св. Кирилла Иерусалимского практикой иерусалимской церкви, очень близкой по времени? После этого общего замечания укажем на мелкие погрешности.
На 2 стрр. автор отожествляет метод и план, – другими словами: экипаж и маршрут.
На 2–3 стрр. автор делит свою работу, противореча оглавлению.
На 249 стр., в примечании, вследствие незаконченности периода, нельзя знать, что хотел сказать автор.
–272–
На стр. 264 автор слишком свободно пишет: apropo.
На стр. 326–327 высказываются нерешительные и противоречивые суждения о том, совершалась по пятницам литургия или не совершалась во время Златоуста.
На стр. 371 автор не объяснил, почему первая после Пасхи неделя называется «новой».
На стр. 376 устанавливается какой-то несуществующий праздник «воскресения мертвых», в качестве седьмого великого праздника годичного круга. Здесь уж явное недоразумение. Св. Иоанн Златоуст говорит о воскресении мертвых, как о будущем торжестве прославленной церкви, а не как о существующем годичном празднике.
Из достоинств, кроме отмеченной выше добросовестности, даже некоторой щепетильности, нужно указать на тот литургический огонек, с которым, как это чувствуется по теплоте стиля, все время работал, как это и надлежит особенно священнику, автор, – на то, далее благоговение, с которым автор относится к творениям великого отца церкви. Все это делает честь настроению автора.
С другой стороны, полнота исследования или широкий охват, основательность высказанных положений, многочисленные сопоставления с греческим текстом, хотя и транскрибируемым по-новогречески, делают труд о. Колчицкого научным и заслуживают ему степень кандидата богословия».
24) О сочинении студента священника Крылова Григория на тему: «Сновидцы и сновидения у евреев и соседних с ним народов».
а) «Ординарного профессора Д. И. Введенского:
«Сочинение, студента священника Крылова состоит из введения, четырех глав и общего заключения. Во введении автор указывает на апологетический характер его работы. В 1-й главе говорится о сновидцах и сновидениях ассиро- вавилонян, во 2-й главе – о сновидцах египтян: в 3-й главе – о сновидцах и сновидениях евреев. В 4-й главе автор излагает святоотеческие взгляды на сновидения, поскольку в святоотеческой литературе имеются в виду
–273–
данные Библии. Выводная заключительная часть работы автора подтверждает и обобщает ту основную мысль, что сновидцы евреев, открывавшие волю Божию, получали озарение Свыше, чего нельзя сказать о сновидениях язычников вообще, которые имели дело с специалистами-сновидцами и снотолкователями, каких не было у евреев в смысле особого института.
Небольшая, сравнительно, работа автора требовала от него не малого труда, так как вопрос о сновидениях и сновидцах древнего мира очень мало разработан не только в русской, но и вообще в западной библейско-богословской литературе, и рецензент не может не обратить внимание на то, что отец Крылов с похвальным усердием изучал как первоисточники, так и источники и пособия, в коих он мог собрать необходимые для него справки. Кроме Библии, в которой он находил точки отправления для своих решений, он пользовался трудами историков и географов: Геродота, Диодора, Страбона, Иосифа Флавия и многочисленными работами новых исследователей древнего востока. И то обстоятельство, что наш автор не имел специальных трактатов по его вопросу, осложняя его работу, придавало ей, вместе с тем, и особую ценность: он из многочисленных источников и пособий извлекал необходимый ему материал в минимальных дозах, почему и небольшой труд автора говорит о его усердном отношении к делу.
Правильно решив свой вопрос и изучив для этого достаточный материал, автор внес, однако, в свое сочинение такие подробности, которые являются совершенно излишними в его небольшом труде. Сюда нужно отнести, например, его замечание об истории и характере клинописи, о магии вавилонян. Вместо этих подробностей он с пользой для дела мог бы остановить большее внимание на анализе библейских данных, каковой анализ особенно уместен был при изъяснении сновидений, коих удостаивались язычники (напр. сны фараона, Навуходоносора).
В частности, рецензент должен обратить внимание на своеобразную цитацию в работе автора. Так, напр., при перечислении источников и пособий он упоминает Ренана, История Изр. народа, тогда как в подстрочных примечаниях
–274–
(напр. стр. 8) он всюду пишет «Renan». Получается впечатление, что он пользовался трудом Renan’а в подлиннике, тогда как он имел под руками только перевод. Встречаются иногда в сочинении автора неудачные выражения, как например: «религия пророков», «пропаганда пророков» (стр. 62, 63), «реставрация истории» (стр. 17).
Небольшое приложение к сочинению автора в 12 страниц, где дается замечание о магической литературе, о взгляде талмудистов и представителей астрономических гипотез на библейские сновидения, без ущерба делу могло рассеяться в примечаниях к сочинению. Приложение предполагает серьезный, а не случайный материал, каким является все содержимое в приложении к труду нашего автора.
Но все указанные недочеты искупаются в значительной мере трудолюбием автора и общим внимательным отношением его к литературе вопроса и в особенности к данным святоотеческих писаний. Поэтому мы признаем работу о. Крылова заслуживающей степени кандидата богословия».
б) Доцента иеромонаха Варфоломея (Ремова):
«Небольшое сочинение о. Крылова посвящено исследованию серьезного и трудного вопроса, и нужно признать, что оно совсем не представляет собой работы, исчерпывающей и разъясняющей предмет. Добросовестный автор чувствовал, что не по силам будет ему такая работа: поэтому он сузил рамки своего труда и, по-видимому, не претендует на научный характер его. Это, конечно, мы говорим не в укор о. Крылову и относим на счет его похвальной скромности и непритязательности. Но есть в работе нашего автора то, что при самой снисходительной оценке должно быть ей вменено, как серьезные недостатки.
О. Крылов желает быть в своей работе апологетом (стр. 15), но он забывает, что ему прежде всего должно быть историком. Но как выполнять хотя бы апологетическую задачу работы, этого о. Крылов себе не представляет и в самом процессе исследования он идет ощупью.
–275–
Ясно осознанного метода исследования у о. Крылова нет, и сочинение от этого очень проигрывает.
О. Крылов прочитал довольно много хороших книг, с прилежанием пчелы отовсюду собирая себе нужный материал. Но, во-первых, литература, которой пользовался наш автор, далеко не всегда отборная, не столько помогавшая автору, сколько его затруднявшая. А, во-вторых, о. Крылов, откровенно скажем, не всегда умеет пользоваться ею. На стр. 52 с примеч. 131 о. Крылов пишет, что памятник, содержащий рассказ о сне Бактана, «исследован и опубликован был Champollon’ом... Rugé, Brugsch’ем... Maspero, Д. И. Введенским... и др.». О. Крылов не заметил, как точно научает его формулировать это примечание в своем труде его почтенный руководитель [Проф. Д. И. Введенский. Патриарх Иосиф и Египет (Опыт сближения данных Библии и Египтологии), стр. 240 (Сергиев посад 1914)]. Делать филологические справки по 7 изданию (1868 г.) словаря Gesenius’а, когда есть 15-е (1910), по меньшей мере неудобно.
О. Крылов пользовался всяким подходящим для него материалом, но он не обратил внимания на хорошо исследованную область сновидений у древних греков. А между тем там он нашел бы для себя весьма ценный и значительный материал, который помог бы ему разобраться в вопросах его работы. А то, о. Крылов всецело во власти своих пособий, которые он подбирал, подходя к ним с узкой слишком, маленькой меркой. Это очень отразилось на труде о. Крылова. Автор наш боится и сказать что-нибудь лишнее, что очень хорошо, но плохо то, что он недостаточно продумывает свой материал и слишком скуп на разъяснения и детали своей работы. Обстоятельство это передается и внешней стороне труда о. Крылова: у него весьма приличный «нижний этаж» сочинения – примечания. Но, к сожалению, самый стиль сочинения, не очень обработанный, носит отпечаток гнета пособий. Мелкая, но характерная подробность: священные книги цитируются о. Крыловым так – 1Сам.15:23... 2Цар.18:16–17... 2Пар.33:6 (оставляем этот пример без комментария).
Есть в работе о. Крылова стилистические погрешности,
–276–
выражения шероховатые, неосторожные, необдуманные (есть у о. Крылова и грех любви к «ловким словечкам»): их можно найти чуть ли не на каждой странице сочинения о. Крылова (особ, на стр. 15, 17, 27, 29, 81, 41, 44, 62, 63, 74, 82, 83, 96, 99, 103, 104, 106, 116). Гораздо более неприятны промахи фактического характера у о. Крылова, когда напр. он Гарнака называет великим мыслителем (стр. 6) или Климента Александрийского Епископом (стр. 44). Иногда определения о. Крылова недостаточно ясны, иногда сведения его или оценка явлений, им сделанная, спорны или даже прямо неверны, неправильны (стр. 8, 17, 33, 41, 42, 52, 62–63 – о пророческих школах).
О. Крылов, несомненно, дал в сочинении гораздо меньше материала, чем сколько вычитал в пособиях своих. Из всего сочинения его нам более представляется обработанной глава 2-ая – «Сновидцы – египтяне и их сновидения», что мы объясняем в значительной степени хорошей литературой в этой области, имевшейся в распоряжении о. Крылова. Другие главы сочинения о. Крылова слабее: видны, как это вполне естественно, неопытность, неумелость автора разбираться и разрабатывать столь трудные и сложные вопросы, каковые предлежали о. Крылову. Ведь он пытается дать объяснение своего предмета и цепи связанных с ним вопросов даже с психологической точки зрения. По правде сказать, это он сделал совсем напрасно, у него получился самый спорный и недостаточный ответ: еще бы! здесь нужно быть хорошим знатоком отдела психологии о сновидениях. Лучше бы нашему автору держаться крепче исторической почвы. За любовь к испытанию столь интересных и важных вопросов, каков вопрос его темы, а также за свое похвальное усердие, проявленное в его сочинении, о. Крылов может быть удостоен ученой степени – кандидата богословия».
25) О сочинении студента Куханова Александра на тему: «Учительное Евангелие, известное с именем Филофея, патриарха Константинопольского».
а) Доцента В. П. Виноградова:
«Сочинение г. Куханова представляет собой настоящую
–277–
ученую работу, основанную почти исключительно на сравнительном анализе первоисточников, главным образом рукописных – греческих и славянских. Несомненно – талантливый автор совершенно правильно определил современное научное положение избранного им предмета, связанные с последним научные интересы и задачи.
Учительное Евангелие, известное с именем патриарха Филофея, заслуживает самого серьезного внимания уже просто потому, что это был фактически первый и древнейший на русской почве сборник поучений на воскресные дни года, приобретший всеобщую известность и уважение среди древнерусского общества и даже вошедший в церковно-богослужебное употребление в качестве одного из главнейших элементов «Уставных чтений». «Из всех видов уяснения и проведения в жизнь библейской истины, совершенно справедливо утверждает проф. Евсеев (Очерки по истории славянского перевода библии. Хр. Чт. 1913 г. № 2, стр. 198), Учительное Евангелие было самым распространенным и самым любимым литературным типом с половины XVI и до второй половины XVII века. Оно не только читалось дома, но составляло книгу церковных поучений и, при недостатке живого слова, заменяло собой церковную проповедь. Его служба делу религиозно-нравственного просвещения Руси, за указанное время, незаменима и несравнима. Это был самый удачный синтез евангельского учения в учительной форме, какого нельзя указать в соответствующей русской литературе ни ранее, ни позднее».
Но литературная история этого памятника наукой еще совершенно не разработана. Не только каких-либо специальных статей или исследований, но даже простых заметок в этой области мы почти не встречаем. Ученую литературу этого вопроса составляют собственно описания рукописей, да и то сообщаемые здесь сведения (за исключением описания Син. рук. Горского и Невоструева), помимо их чрезвычайной краткости и отрывочности, имеют в виду исключительно славянские списки Учительного Евангелия и совершенно не касаются его греческих оригиналов. А между тем самый центр тяжести в исследовании его литературной истории падает именно на греческие, так как есть полное основание
–278–
подозревать, что славянские списки являются лишь одной и при том последней редакцией в ряде различных переделок, дополнений и изменений, имевших место преимущественно на греческой почве и уводящих исследователя в глубину целого ряда любопытнейших проблем по истории византийской церковно-учительной литературы. Небогатая, скудная по содержанию научная литература об Уч. Евангелии Филофея вся вращается в области одних и тех же положений, высказанных еще Горским и Невоструевым в Опис. рук. Син. библ. (т. II, отд. 2, стр. 667–668) и дальние их не идет. Единственное исключение представляет лишь небольшая заметка по поводу рукописи из собрания П. И. Щукина (половины XV в.), принадлежащая проф. Яцимирскому, где автор выдвигает несколько новых положений, сравнительно с Горским и Невоструевым, но и эта заметка относится только к славянскому переводу Учит. Евангелия и, в частности, к определению даты его перевода с греческого, но греческих источников вовсе не касается (Известия Отдел. русского языка и слов. Импер. Акад. Наук 1899 г. т. IV). Все сообщаемые наличной научной литературой сведения сводятся к следующим общим положениям: Учит. Евангелие есть памятник переводный, составленный из разных источников и между прочим из поучений патриарха Ксифилина патриархом Филофеем вернее всего в 1354 году и переведенный на славянский язык в 1407 году; славянский перевод имеет две редакции: одна, представленная рукоп. Троицкой Лавры № 99, и другая, представленная рукописью той же Лавры № 100.
Наш автор предпринимает попытку сделать дальнейший, требуемый научным интересом, шаг в исследовании Учит. Евангелия. Он делает опыт критического рассмотрения греческих источников Учит. Евангелия с целью определения отношения к ним отдельных элементов Евангелия, а в связи с этим выяснения тех наслоений, которые постепенно нарастали на основном ядре памятника, создавая тот его тип, с которым мы встречаемся на славянской почве.
Работа г. Куханова дает ряд любопытнейших и ценных историко-литературных сопоставлений, наблюдений и выводов, проливающих новый свет как в истории исследуемого
–279–
им предмета, так и вообще греко-славянской церковно-учительной литературы. Отмечу важнейшие из них. Обстоятельно исследуя вопрос об отношении Учит. Евангелия к поучениям патр. Иоанна Ксифилина, наш автор изучает тексты последних (пока неизданных, за исключением двух) по греческой, рукописи Синод, библ. № 45 и производит анализ их сравнительно с текстом Учит. Евангелия. В результате он делает чрезвычайно важную поправку к тезису А. В. Горского. Оказывается, что хотя составитель Учительного Евангелия действительно имел под руками, сборник Ксифилина, но пользование им заключалось не в том, чтобы, как думает Горский, составитель Учит. Евангелия выбрал несколько целых поучений, а в том, что заимствовал лишь отдельные части поучений, причем самый выбор последних всецело зависел от личного вкуса и расположения составителя Учит. Евангелия. Проведя затем свой анализ глубже и шире, наш автор приходит к выводу, что сборнику поучений Иоанна Ксифилина принадлежит первое и важнейшее место в области источников Учит. Евангелия. Вся составная часть последнего, состоящая из поучений на воскресные дни года, носит в себе явные следы непосредственного влияния Ксифилина и обнаруживает безусловную материальную и формальную зависимость от него. Для доказательства этого положения наш автор обследует также вопрос об отношении поучений Ксифилина к совпадающим с ними во многих местах и тирадах «Толковым Евангелиям» Зигабена и Феофилакта Болгарского и толкованиям на евангелия Иоанна Златоуста.
При обследовании состава Учит. Евангелия наш автор базируется на счастливо им впервые установленном греческом списке Учит. Евангелия – на греческой рукописи Син. библ. № 275. На рукопись эту обратил внимание еще Маттеи, но он по каким-то соображениям признал ее за сборник поучений Ксифилина, пять из которых и издал с именем Ксифилина (помещены у Migne вместе с двумя другими поучениями, действительно принадлежащими Ксифилину). Наш автор доказывает, что ни эти пять поучений, изданные у Migne, ни весь сборник не принадлежат Ксифилину, но это есть ничто иное, как Учительное Евангелие, известное с именем Филофея.
–280–
Вновь открытый греческий список Учит. Евангелия наш автор сопоставляет с ранее известными списками Баварским и Тюринским. Не имея возможности воспользоваться последними списками, г. Куханов по необходимости пользуется лишь их описаниями и извлекает лишь показания об их сравнительном составе. Оказывается, что в Синод. списке недостает целой группы поучений на недели постной и цветной триоди. Это наблюдение, в связи с рядом других, дает ему почву для любопытных предположений о первоначальном составе Учит. Евангелия.
Вся вторая часть исследования автора посвящена детальному анализу текста целого ряда полных поучений Учит. Евангелия, имеющему целью с одной стороны отношение греческого текста к славянскому переводу, а с другой приемы использования составителем Учит. Евангелия своих источников. Здесь, между прочим, наш автор с очевидностью утверждает подвергшийся было сильному сомнению со стороны проф. Яцимирского факт соответствия славянского перевода Учит. Евангелия греческим оригиналам.
Основной недостаток исследования г. Куханова состоит в его недоконченности. Наш автор произвел детальный анализ не всех поучений Учит. Евангелия, а это лишает его работу характера полной научной обоснованности, научные выводы – надлежащей научной прочности. Самое изложение сочинения в некоторой мере носит свойство чернового наброска. Но поставить в вину автору этот недостаток было бы решительно несправедливо. В течение одного учебного года сделать больше, чем сделал автор, невозможно уже просто физически. Работа автора требует, действительно, продолжения, но и то, что им уже сделано, представляет ценный научный труд, обнаруживающий в авторе задатки истинного ученого и дающий ему безусловное право не только на присуждение степени кандидата богословия, но и особое (денежное) поощрение со стороны Совета Академии».
б) Ординарного профессора А. П. Алмазова:
«Учительное Евангелие, усвояемое имени известного Константинопольского патриарха Филофея, при всем его важном значении в истории отечественного проповедничества,
–281–
доселе еще не было предметом нарочитого исследования в нашей богословской литературе. В виду этого тема, избранная г. Кухановым, представляет особенный интерес. Но вместе с тем, как не затронутая еще в специальном сочинении, она требует для своего выполнения работы непосредственно по первоисточникам и притом таким, которые доселе еще не опубликованы в печати. – г. Куханов в своем сочинении действительно и осуществляет такую работу. – Кроме вводных страниц, все его исследование есть результат личного изучения им источников. При этом, нужно отметить, привлекая к делу рукописи, славянские и греческие, автор пользуется и такими, которые находятся вне библиотеки Московской Академии.
Задача автора – дать «критический обзор греческих подлинников Учительного Евангелия и определить отношение отдельных его элементов к первоисточникам». Соответственно с этим все его сочинение распадается на две главы. В первой из них он излагает внутреннюю литературную историю памятника в его целом. – В этом случае г. Куханов: а) останавливаясь на взаимоотношении исследуемого памятника и проповеднического сборника патр. И. Ксифилина (XI в.), самостоятельно и со всею ясностью определяет действительное их соотношение, чем вносит существенную поправку к мнению, высказанному в свое время А. В. Горским и К. И. Невоструевым, – а точнее говоря – устанавливает новое положение, подтверждаемое документально; и б) с несомненностью устанавливает, что образование Учительного Евангелия с именем Филофея представляет долгий и сложный исторический процесс и что переработка проповеднического сборника Ксифилина на пути образования Евангелия, усвояемого имени патр. Филофея, осуществлена не одним лицом.
Во второй главе, составляющей преимущественную часть всей работы г. Куханова, он с особенной тщательностью и с наглядностью (параллельным изложением соответствующих текстов) выясняет отношение по крайней мере восьми поучений к их первоисточникам.
Работа по первоисточникам всегда требует более или менее длительного времени. Автор не располагал таким временем. Благодаря этому, ему не пришлось выполнить
–282–
свою задачу во всем ее объеме, и он вынужден был ограничиться исследованием Учительного Евангелия Филофея как вообще историко-литературного памятника, и характеристика его с внутренней гомилетической стороны осталась вне освещения. Не затронутым остался вопрос и о том, какое же в действительности было отношение к тому же Учительному Евангелию патр. Филофея.
Однако последние дефекты, как не зависевшие от автора, не ослабляют положительных сторон настоящей работы. Исполненное в указанных пределах по первоисточникам, с полной добросовестностью и редкой тщательностью, и изложенное, притом, без напрасных уклонений в сторону, ясной речью и с отчетливой логической последовательностью, сочинение г. Куханова и в представленном им объеме должно быть признано вполне отвечающим своей цели».
26) О сочинении студента Ленчинского Ивана на тему: «Древнерусское паломничество по былинам».
а) Ординарного профессора С. И. Смирнова:
«Небольшое по размерам (195 стр.) сочинение г. Ленчинского распадается на следующие части: Введение, I Русские калики древнего времени и их паломничество, II Отношение к паломничеству церкви, III Паломники былин как исторические лица: а) былина о 40 каликах с каликой, б) Василий Буслаевич, в) былина «Калика – богатырь».
По своему содержанию сочинение представляет интересный очерк, не лишенный достоинств. Автор основательно изучил источники темы не только былины, но и паломничью специально письменность и данные других источников, относящиеся к тому же явлению древности. Это внимательное отношение к первоисточникам дало возможность автору извлечь из них свежий материал и высказать ряд удачных соображений и мыслей. Литература о паломничестве также достаточно известна г. Ленчинскому.
К недостаткам работы надо отнести прежде всего пропуски. Автору остался неизвестным любопытный памятник – «Богатырское слово», изданное Е. В. Барсовым. Затем недочеты в плане: гл. II – Отношение к паломничеству
–283–
церкви – написана довольно беспорядочно и озаглавлена не совсем точно. Спорны или прямо неверны следующие положения автора: будто церковь наша боролась с паломничеством не только в XII в., но и позднее (для последнего утверждения нет оснований) – стр. 134; рискованно сближение калик с скоморохами (8–9); термином «калика» автор пользуется, не всегда отдавая себе твердый отчет в его значениях (13); сближение Василия Буслаева с архиеп. Новгородским Василием едва ли удачно. Наконец, язык автора не всегда складен (2, 44, 51).
Не смотря на указанные недочеты сочинение г. Ленчинского вполне достаточно для кандидатской степени».
б) Экстраординарного профессора И. В. Попова:
«Сочинение Ленчинского, посвященное церковно-бытовому вопросу о древнерусском паломничестве, читается легко и с интересом благодаря занимательности самой темы, внимательному изучению источников и литературы, естественности плана и ясности изложения. Два недочета можем мы поставить на вид автору. Во-первых, по местам паломничество характеризуется главным образом по специальной паломнической литературе, так что его основной источник – показание былин – отходит на второй план и становится незаметным; во-вторых, некоторые отделы мало оригинальны, напр. разбор былины о Сорока каликах и о Василии Буслаеве сделан по трудам Вс. Мюллера и Жданова и почти не представляет ничего нового сравнительно с ними. Это не мешает, однако, признать труд г. Ленчинского вполне достаточным для присуждения ему степени кандидата богословия».
27) О сочинении студента Любимова Александра на тему: «Суд над Иисусом Христом».
а) Инспектора Академии архимандрита Илариона:
«Студент Александр Любимов в своем сочинении излагает подробную историю суда над Господом Иисусом Христом по каноническим евангелиям и по апокрифическим памятникам. Все свои источники автор изучил весьма внимательно и историю суда излагает шаг за шагом.
–284–
Он воспользовался при изучении источников доступными ему научными пособиями; апокрифическими памятниками пользовался даже и в рукописи (Синод. Б-ки № 435). Для исторического освещения суда над Господом Иисусом Христом автор дает описание еврейского уголовного процесса (гл. 1, стр. 29–61) и римского судопроизводства (гл. 3, стр. 143–166). Приводя подробности из апокрифических памятников, автор тщательно отмечает особенности того или другого апокрифа и даже особенности редакций одного и того же памятника. Все сочинение написано простым и понятным языком. Автор поставил себе при написании сочинения скромные цели и скромно идет по пути к их осуществлению. В этом отношении автор заслуживает даже упрека, так как он доходит до неразборчивости в своих источниках и пособиях. Он пользуется в качестве пособий и статьями Московских Епархиальных Ведомостей, и приложениями к Русскому Паломнику, и Душеполезным Чтением, и «Иудейскими древностями» в переводе Самуйлова. Часто автор слишком доверяет апокрифическим памятникам, так что в сочинении перемешаны факты исторические и апокрифические. Он, напр., серьезно обсуждает вопрос о том, как Пилат мог произнести обличительную речь против иудеев, о которой говорят апокрифы (стр. 210–211). Ссылается автор на письмо Лентула (стр. 264), даже на легенду, изданную (!) шведской писательницей Лагерлеф (стр. 279). Иногда автор на свои пособия смотрит как на источники, почему у него, напр., читаем: «о столкновении Господа с моста сообщает и проф. Маккавейский в своем труде и т. д.» (стр. 99). Особенно часто автор в качестве источника пользуется сочинением: «Страдание и смерть Господа нашего Иисуса Христа, истинно и обстоятельно изображенные, или чудный образ Христов, достойный замечания, удивления, жалости и подражания всякому христианину, чтением услаждающемуся» (1824). Проверять пособия и самому доходить до источников не в обычае г. Любимова, почему он, напр., в подтверждение того факта, что указания на «акты Пилата» у древних писателей начинаются со второго века, считает достаточным сослаться на Порфирьева (стр. 18).
Экзегетическим анализом евангельского текста г. Любимов
–285–
занимается мало; богаче у него сторона историко-археологическая. Это объясняется опять тем, что историко-археологических сведений больше давали автору находившиеся у него под руками пособия. Автор нередко занимается психологией отдельных лиц, предполагая, что они могли думать и чувствовать, но мало говорит о настроении, напр., той толпы, которая просила отпустить Варавву (стр. 219).
В сочинении г. Любимова очень много мелких недосмотров. Он впадает, напр., в противоречие по вопросу о клятве в еврейском уголовном процессе: то говорит, что клятва не допускалась (стр. 52–53. 246), то о некоторых свидетелях, отказывавшихся клясться, предполагает, что это были последователи Христа, так как в Ветхом Завете клятва не запрещалась (стр. 188 прим. 4).
На стр. 277 читаем: «Слово рай происходит от персидского слова и означает рай».
На стр. 9 видим буквально следующее: «Характерную особенность этого текста представляют скорбные речи разных лиц, как-то св. Берната, Аньсельмуса – «велебного доктора», Адамасцениуса «у своем казании» (вероятно в Казани?), Ориенса».
На стр. 163 получается, будто Th. Mommsen разделяет предположение Маккавейского.
Встречаются в сочинении и стилистические шероховатости. «Установление новозаветного таинства Евхаристии произошло сидя после речи о страданиях» (стр. 84). «Найдите свидетелей для приговорения Спасителя к смерти» (стр. 112). «Читая канонические повествования о суде над Спасителем у Пилата, остается впечатление полного отсутствия определенного юридического процесса» (стр. 153). Встречаются у автора «герольды» (стр. 158. 161), «штандарты» (стр. 181).
См. еще стр. 21, 36, 86, 101, 166, 179, 185 и др.
Весьма значительно страдает в сочинении орфография, хотя вина автора в этом отношении лишь частичная, так как переписывал сочинение он не сам. Таким образом, сочинение студента Любимова не дает чего-либо важного в научном отношении, но автор достаточно обнаружил свою трудоспособность и литературную подготовленность. Сочинение г. Любимова представляет даже
–286–
интерес в качестве попытки систематической сводки апокрифических сказаний о суде над Господом Иисусом Христом. Кандидатской степени студент А. Любимов заслуживает».
б) Экстраординарного профессора священника В. Н. Страхова:
«Своей задачей автор ставит изучение подробностей суда над Иисусом Христом по новозаветным апокрифам, в виду умолчания о том евангелистов. В связи с поставленной так задачей автор во введении дает обзор источников. Ему известны три документа: «Слово о страстях Господа Иисуса Христа, новопреведенно с греческого языка на словенский», Страсти Христовы в западнорусском списке XV века и «Никодимово Евангелие». С особенным вниманием автор останавливается на последнем источнике, указывая его редакции и решая вопросы о его составе, единстве и цельности, авторе, времени происхождения и его значении. Несчастие автора в том, что он не знает иностранных языков. Вследствие этого основоположительный отдел его работы о Никодимовом Евангелии не отличается строгой документальностью и обстоятельностью, так как автор не мог использовать научных трудов по этому вопросу Гофмана, Жизнь Иисуса по апокрифам (1851), Тишендорфа, о суде Пилата над Христом по Актам Пилата (1855), Липсиуса, Акты Пилата (2 изд. в 1886 г.), Гарнака, История древнехристианской литературы и мн. др. Вследствие же этого автору остались неизвестны и другие апокрифические евангелия, где он мог бы найти некоторые новые подробности, относящиеся к его теме, напр., Евангелие Петра. – Помимо апокрифов автор пользуется и каноническими евангелиями, чего требовала и его тема. Автор хочет евангельское повествование о суде над Иисусом Христом ввести в рамки современного событиям еврейского и римского судопроизводства. Соответственно этому в первой главе г. Любимов более или менее удовлетворительно описывает еврейский уголовный процесс, во второй излагает суд над Господом у первосвященников иудейских и в Синедрионе, в третьей –
–287–
изображает римское судопроизводство, в четвертой говорит о суде над Господом у Пилата и Ирода, в пятой делает общие выводы о суде над Господом, указывая все те злоупотребления и несправедливости, какие допущены были иудейскими и римскими властями в суде над Господом. В шестой главе автор описывает распятие, смерть и погребение Господа. Излагая евангельские повествования о суде над Господом, автор попутно вставляет подробности того или другого момента суда из имевшихся у него под руками апокрифов. При юридическом и историко-археологическом освещении суда над Господом наш автор не был одинок. Тут у него были под руками почтенные труды проф. М. Д. Муретова об Иуде Предателе, проф. Маккавейского, Археология страданий Господа и др. Эта часть сочинения г. Любимова изложена хотя и элементарно, но в общем удовлетворительно. К числу недостатков сочинения следует отнести также совершенно безграмотную переписку сочинения (крайней степени (род. пад.) с. 3, церьковь с. 20 и 102, чесности (честности) 41, звереет 135, немецкий 156, Июстиан (Юстиниан?) 165, искустная резьба 170, и перенос: сог-ласно 161, нес-колько 228, пот-ворствуя 296) и погрешности в стиле (редко будет приходиться... излагать 21, Иисус Христос избирает место, способное к молитве 86, – приговорение к смерти 112, прокураторская способность (вероятно надо: прокурорская?) 124).
Принимая во внимание общую удовлетворительность историко-юридическо-археологического освещения тематического вопроса по русской литературе и извиняя автору его незнакомство с иностранными языками, вследствие чего он не мог дать обстоятельного обзора евангельских апокрифов, а также имея в виду, что автор работал при необычно тяжелых условиях военного времени, – автору можно присудить степень кандидата богословия».
28) О сочинении студента Матвеевича Виктора на тему «Религиозно-философские взгляды Н. Н. Страхова».
а) И. д. доцента Ф. К. Андреева:
«Автор настоящей работы взял на себя трудную задачу
–288–
изучить и систематизировать религиозно-философские взгляды мыслителя тонкого, вдумчивого, но в высшей степени осторожного в раскрытии своих глубочайших убеждений, Н. Н. Страхов, как справедливо утверждает г. Матвеевич, обладал по преимуществу силами критическими, острым анализом и боялся всяких обобщающих утверждений, без которых, однако не может обойтись ни религия, ни философия. Воспитанный в школе германских идеалистов – первых наследников Канта – он научился у них одной лишь их неумолимой логике и совершенно отказался от предложенного ими метафизического ее употребления. Такое преобладание анализирующих способностей сделало Страхова одним из лучших русских критиков и научных исследователей, но оно же помешало слиться в стройную систему его собственным религиозно-философским взглядам. Его суждения по основным вопросам веры скупо рассеяны по страницам его разнообразных работ, его философское мировоззрение выясняется только косвенным путем. Часто он сам опровергает свои собственные положения, но, опровергнутые однажды, они выплывают вновь, в новой форме. Непрерывно чувствуется, что у Страхова есть и религия и философия, но он боится за их формальные определения. Задача исследователя сводится, таким образом, к тому, чтобы отделить логически-умерщвленное от онтологически-живого. Ему нужно попытаться быть в известном смысле более смелым, чем сам Страхов. Такой опыт и произведен в настоящей работе, и эти остатки от рационалистического стола оказываются действительно метафизически сладкими. Но самое ценное в этой метафизике – не ее догматическое содержание, а – то отношение, в котором стоит к ней философствующая мысль Страхова. Отношение Страхова к религиозной и философской истине оказывается тем самым, которое считается характерным для русской души: истина трансцендентна для рассудочного сознания. Истина сперва авторитет, и потом уже, в награду, – истина. Но, как же такое отношение уживается с логикой, критикой и вообще научной стороной дела? у Страхова здесь нет противоречия. Ни в науке, ни в художественной критике Страхов не был нигилистом: напротив, его задачей было –
–289–
ощутить гениальное в гениальном и очистить его от всего негениального. Поэтому то он и в гносеологии, после критики эмпирических и рационалистических объяснений, становится на сторону интуитивизма. Отсюда также, его личное любящее отношение к великим, его вечное желание подчиниться сильному. Отсюда и его определение Церкви, как высшего авторитета в вопросах религиозных, отсюда его вера в бытие невидимого, но реально существующего (души, ангелы), в реальное же пресуществление вина и хлеба в таинстве Евхаристии. Толстой сильно склонял его к чистой нравственности, но благоговевший перед его художественным гением Страхов отвернулся от его рассудочного доктринерства. Страхов мог стать католиком, но протестантизму он враждебен органически. Остался ли он, однако, православным? Автор настоящего исследования утверждает это категорически, но такое суждение слишком уж сильно. Страхов безусловно всю жизнь тянулся к православию, во многом его достигал, но утверждать «полное признание Страховым православной догматики (стр. 95)» его писания не уполномочивают.
Таково содержание работы г. Матвеевича. Ему соответствует и ее внешний план. Во введении перед нами Страхов – критик негениального и – вместе – покорный раб гения. В двух больших главных отделах сочинения он – религиозный мыслитель и философский защитник интуитивного познания. Объем работы – средний (около 125 страниц «Б. В.»), но для выполнения ее автору пришлось ознакомиться с 13-ю томами сочинений Страхова, его большими журнальными статьями, несколькими собраниями его писем. Им принято во внимание более 50-ти критических заметок о нем, рассеянных в разных сборниках и периодических изданиях. Страхов в особенности скуп на выражения своих религиозных убеждений, поэтому часто целые томы дают лишь одну нужную автору строчку, но ее ведь предварительно следовало отыскать. Труд автора был большой, и он исполнил его очень добросовестно.
Основным и крупным недостатком работы г. Матвеевича является слишком формальное и холодное отношение его к предмету исследования. Автор не заинтересовался ни личностью Страхова, ни его религиозно-философскими
–290–
взглядами. Конечно, любви нельзя требовать, но в данном случае такое отношение дурно отразилось на самом изложении, как со стороны внутренней, так и внешней.
Со стороны внутренней холодность автора мешает читателю ясно понять основную метафизическую позицию Страхова, его – пусть даже программный – онтологизм. Дело в том, что автор для такого определения недостаточно свободно владеет философским языком, и здесь-то живое отношение могло бы прийти к нему на помощь. Он бы тогда попытался тщательнее описать характер религиозной интуиции Страхова, но он этого не делает, по нелюбви, и читатель остается без ключа к его исследованию.
Со стороны внешней такое отношение выражается в крайней сухости изложения. Работа автора похожа на большую докладную записку, формально правильную, но строго официальную (причем сходство увеличивает манера автора часто повторять в скобках, для ясности, подлежащее).
Из более мелких недостатков укажем на логически несостоятельно мотивированное исключение хотя бы краткой биографии Страхова (стр. II–III). Совершенно лишней в солидной работе является выписка из энциклопедии Брокгауза определений эклектизма (стр. 23–24). Некоторые выражения или неудобны или просто ошибочны: «констатировать» – вместо «определять» (стр. 27), оно же – без дополнения, на стр. 133; «комментирование», вместо «комментарий» стр. 10; «революционаризм» (стр. 90): «тогдашняя современность» (стр. 38); «ругань» (стр. III) и под.
Кроме того, как ни богат указатель литературы о Страхове, составленный г. Матвеевичем, в нем есть, однако, и некоторые существенные пропуски. Так г. Матвеевичу не известно, что Страхову принадлежит биография Фета при 1-м томе стихотворений последнего в издании Маркса. Не указаны им также некоторые письма его, напечатанные в июньской кн. «Русск. Вестника» за 1901 г. Далее, некоторые статьи Страхова в первоначальном виде несколько полнее, чем их перепечатки в разных сборниках, которыми пользовался г. Матвеевич. Так статья: «Из воспоминаний о Ф. М. Достоевском», перепечатанная во 2-м томе его «Критических статей» из «Семейных вечеров», была еще раньше помещена им в «Руси» за 1881 г. (№ 16),
–291–
с дополнением в конце и с интересным редакционным замечанием И. Аксакова. Статья «Об атомистическом строении вещества», вставленная в «Мир как целое», первоначально была напечатана в виде самостоятельной статьи в «Русск. Вестн.» за 1860 г. (№3), о чем, впрочем, и сам Страхов не нашел нужным упомянуть. Из литературы о Страхове г. Матвеевичу неизвестны несколько статей в «Историческом Вестнике»: «Станислав первой степени и енотовая шуба (Из воспоминаний о Н. Н. Страхове)» – за 1904 г., февраль, «Еще о Страхове» (– 1907. январь), «Л. Н. Толстой и Н. Н. Страхов в Оптиной пустыни (– апрель, и в июньской книжке – возражения на эту статью)» и – в «Русском Вестнике» за 1902 г. октябрь – большая критическая статья о Страхове Н. Скифа. Необходимо было бы также подвергнуть анализу роман Д. И. Стахеева «Пустынножитель», где, по свидетельству самого автора, под этим прозванием выведен Страхов.
Но, за всем тем, работа г. Матвеевича остается в высшей степени ценной и оригинальной и свидетельствует о большом трудолюбии автора. Что же касается отдела, посвященного изложению религиозных взглядов Страхова, то он почти без изменений мог бы быть использован в качестве статьи для серьезного журнала.
Степени кандидата г. Матвеевич вполне, заслуживает»
б) Ординарного профессора С. С. Глаголева:
«В своем сочинении г. Матвеевич стремится установить два положения: 1) что Н. Н. Страхов был очень талантливый и очень разносторонний человек и 2) что Страхов в своих многочисленных сочинениях мало раскрывал себя с положительной стороны. Страхов был натуралист, философ, литературный критик, переводчик. Он был магистром зоологии и кроме диссертации дал много теоретических работ по общим вопросам естествознания, он написал массу трактатов метафизического характера, специально занимался литературной критикой – особенно разбором сочинений Тургенева и Толстого. Но какое было credo у Страхова? г. Матвеевич говорит нам, что Страхов стремился лишь к правильной постановке вопросов, а не к их решению.
–292–
Разумеется, если так, то о credo можно и не вести речи. Оказывается, не так. Г. Матвеевич провозглашает Страхова верным сыном православной церкви. Затем из сочинения г. Матвеевича видно, что к Страхову относился враждебно класс людей с очень определенной философской физиономией. Постановка вопросов, по-видимому, не должна резко разделять людей и сеять вражду; людей разделяет не постановка, а решение вопросов.
Г. Матвеевич чувствует это и, признавая Страхова православным, это утверждает. Достоинство сочинения г. Матвеевича заключается в том, что оно написало документально – на основании положительных данных, а не гаданий. Поэтому читатель сам имеет возможность разгадывать загадки, представляемые личностью Страхова. Разгадка может быть такова. Страхов имел верования, но не спешил навязывать их другим. Трактуя по большей части о вопросах, которые в конце концов оказываются связанными с верой, он только предлагал правильно ставить и основательно исследовать эти вопросы.
Сочинение г. Матвеевича обращает рецензента ко дням его собственной юности. Когда рецензент был студентом. Страхов около свежей могилы Данилевского поднял вопросы о дарвинизме, России и Европе, de rebus omnibus et quibusdam aliis. Совершенно незнакомый с естествознанием Владим. Соловьев безнадежно лавировал между православием и дарвинизмом. Тимирязев с пеной у рта кричал о бессильной злобе антидарвиниста (= Страхова), Страхов призывал к порядку. В спорах принимало участие много иных. С тех пор прошло около 30 лет. Большинство споривших умерло. Наука, как и Страхов, поворотила в сторону от дарвинизма, и один из немногих оставшихся в живых противников Страхова Тимирязев, с недоумением и непониманием смотря на новые течения мысли, бормочет на страницах «Вестника Европы»: «церковная реакция... церковная реакция». Но г. Матвеевич не пожелал проследить судьбы тех споров, которые вел Страхов. А между тем это было нужно для выяснения способности у этого мыслителя видеть, предвидеть и понимать.
Мало г. Матвеевич предлагает нам данных и для суждения о том, какие психологические побуждения, логические
–293–
соображения и факты склонили Страхова на ту сторону, на которой он оказался. Вообще в том, что г. Матвеевич дает мало, и заключается существенный недостаток его сочинения, г. Матвеевич умеет писать и рассуждать, умеет и заинтересовывать, но он оказывается скуповатым для того, чтобы удовлетворить интерес, им же самим возбужденный в читателе.
Для получения степени кандидата сочинение удовлетворительно».
29) О сочинении студента священника Мещерского Константина на тему: «Духоборчество. Исторический очерк и характеристика».
а) И. д. доцента А. В. Ремезова:
«Первоисточником, откуда исследователь может непосредственно черпать сведения о религиозном настроении и воззрениях, определяющих ту или иную секту, несомненно, являются религиозные песни сектантов. Но, если песни хлыстов и скопцов стали появляться в печати сравнительно давно, то в таком внимании сектоведов не повезло рационалистическим сектам, в частности духоборцам. Так как при большей откровенности представителей этого рода сектантства всегда имелось на лицо несколько их собственных вероизложений, то наши исследователи могли более или менее удачно характеризовать духоборчество без обращения к исключительному по своей важности источнику их вероучения – «животной книге», которая, вследствие этого, и оставалась записанной лишь в памяти самих духоборцев. Только в 1909 г. появилось издание ее в «Материалах» В. Д. Бонч-Бруевича. Этим изданием открывалась возможность заглянуть, т. ск., в самую душу духоборца, проследить, насколько верно было прежнее представление о духоборцах и какие изменения претерпело духоборчество со стороны своего внутреннего содержания за последнее время, тем более что и внешняя его история пополнилась таким значительным событием, как переселение в Америку и устройство жизни там. Нечего и говорить, что как особенности духоборческого мировоззрения,
–294–
так и значение внешних событий в духоборчестве можно правильно учитывать лишь не иначе, как при свете всей предшествующей истории этой секты. Поэтому, хотя рецензенту хотелось, чтобы свящ. Мещерский обратил свое главное внимание на современное состояние духоборчества, тем не менее он должен был, во избежание недоразумений, указать в самой данной им теме на необходимость для автора познакомиться с прошлым изучаемой секты. Так как, с одной стороны, сам Бонч-Бруевич попытался предпослать своему изданию «животной книги» характеристику духоборческого мировоззрения, а с другой, – для изложения внешней истории свящ. Мещерский не имел в своем распоряжении каких-либо новых источников и должен был руководиться уже в значительной степени использованными сведениями, то его работа, само собой разумеется, имела не столько ученый, сколько учебный характер: цель ее заключалась прежде всего в том, чтобы автор познакомился как с научной разработкой вопросов истории духоборчества, так и с его современным состоянием.
О. Мещерский вполне удовлетворительно осуществил эту задачу. В своем сочинении он обнаруживает широкое знакомство с самой разнообразной литературой по избранному им предмету от серьезных исследований и изданий источников до мелких журнальных статей; редкая фраза в его сочинении не сопровождается ссылкой на литературу. Правда, в этом случае не заметно особенной разборчивости автора, с одинаковой тщательностью и доверием привлекающего как сведения непререкаемого значения, так и сообщения весьма сомнительной достоверности, но в общем сочинение дает достаточно верное представление о прошлом и настоящем духоборчества.
Оно состоит из краткого предисловия и шести глав. В предисловии (листы 2–5) автор, отдав дань не совсем похвальной манере говорить о чрезвычайной важности и исключительной трудности и сложности принятой на себя задачи, потом вполне верно ограничивает ее более скромными рамками. Первая гл. состоит из трех неравных по величине параграфов: «Понятие о духоборческой секте (6 л.). «Наименование секты» (7–9 л.л.) и «Происхождение духоборческой
–295–
секты» (9 об, –30 л.). Первый параграф не совсем в соответствии со своим заглавием трактует о том, рационалистическую или мистическую секту представляет собой духоборчество; здесь о. Мещерский на основании присутствия в данной секте как рационалистических, так и мистических элементов заключает, о ее, т. ск., промежуточном характере. Рецензенту кажется, что неопределенность в ответе на поставленный автором вопрос, – неопределенном, в которой он следует г-ну Терлецкому, – обусловливается тем обстоятельством, что свящ. Мещерский забывает об относительности всякого деления и склонен придавать ему абсолютное значение, как будто можно найти секту, совершенно свободную от мистицизма или, наоборот, чуждую рационализма. Автор мог слышать на лекциях по сектоведению, что здесь должно принимать в соображение общий характер религиозности, учитывая своего рода равнодействующую религиозного настроения; склоняется ли она в сторону мистических или даже экстатических переживаний или, наоборот, находится ближе к интеллектуалистическому религиозному типу; словом, нужно рассматривать не частные пункты вероучения или отдельные стороны религиозного содержания, а всю психику известного сектантского типа. При таком критерии всякая секта обязательно окажется либо рационалистической, либо мистической: третье немыслимо; духоборчество, например, – конечно типичное, не современное выродившееся, – представится сектой вполне определенно рационалистической. Если бы о. Мещерский точно представлял себе реальное основание принятого деления наших сект, то едва ли бы поставил духоборчество вне этого деления.
В вопросе о происхождении духоборчества свящ. Мещерский, сделав краткий обзор существующих разнообразных мнений (10–17 л.), совершенно напрасно углубляется вслед за г-ном Ливановым до первых времен христианства на Руси исключительно на основании отрицательного отношения тогдашних еретиков (Адриана и Дмитра) к «церковной внешности» (17 об.). В этом отделе приходится отметить несколько оригинальную постановку самого вопроса: духоборчество представляется о. Мещерскому результатом соединения русского исконного рационализма с заносным из-за
–296–
границы мистицизмом квакеров, хотя до возникновения духоборчества были случаи как обнаружения на Руси иноземного вольномыслия, т. е. рационалистического отношения к религии, так и, наоборот, стихийного взрыва природного мистицизма в форме хлыстовства. Вообще, автор, по-видимому, слишком определенно представляет себе момент возникновения духоборчества: «Ответим на вопросы, когда, где и как основано духоборчество?» (25 об.), – обещает он и, лишь решая последний вопрос – о родоначальнике секты, – вспоминает прекрасную мысль одной журнальной статьи: «Нельзя в народной массе отыскать, кто первый сложил какую-нибудь песню» (29 об. – 30), хотя из последующего раскрытия ее, да и так очевидно, что к слову кто в выписанной фразе нужно прибавить и когда, и где.
Следующие четыре главы (II–V) содержат изложение четырех периодов истории духоборчества; причем в зависимости от состояния сведений о том или ином периоде и от характера самого периода свящ. Мещерский излагает то более внутреннюю историю секты (1-й период – 31–45. И здесь нельзя не отметить излишней самоуверенности, – он задает себе, напр., такой вопрос: «Что нового внес в духоборческое учение Иларион Побирохин?» – 36 об.). то внешнюю и даже частнее – отношение к духоборцам правительства (2-й период – 45 об. –70). В этой центральной части сочинения можно указать несколько ошибок в передаче внешних фактов: о. Мещерский думает, что С. Уклеин ушел от И. Побирохина в молоканство (39), тогда как до Уклеина молоканства совсем не было; о покушении на его жизнь «смертоносных ангелов» Побирохина, при всем интересе этого факта, совсем не упоминается; наконец, о. Мещерский думает, что хлыстовство «открытое в 1733 г.» возобновилось в 1746-м (43), хотя последняя дата означает лишь начало 2-го правительственного следствия над хлыстовской сектой, которая, конечно, не прекратила своего существования после 1733 г.
Шестая гл. (112–135) посвящена вероучению, нравоучению и быту духоборцев с присоединением нескольких общих критических замечаний о духоборческом учении. Здесь о. Мещерский, сказав об источнике духоборческого вероучения, – «животной книге», указывает 2, по его мнению, основных
–297–
догмата духоборцев; о поклонении Богу духом и истиной, в котором наш автор усматривает лишь источник отрицания всей религиозной внешности, и о внутреннем озарении. Далее следует изложение учения о Боге, Троице, Христе и отрицательных воззрений на таинства, обряды, мощи и праздники, рисуются эсхатологические чаяния, характер богослужения, нравственные требования, отношение к гражданским властям и государственному строю, описывается внешний вид духоборца; наконец, в «критической оценке», указав несколько противоречий в вероучении, свящ. Мещерский называет его «результатом крайнего невежества», признает «атеистическим, языческим» (?) (130 об.) и констатирует, что духоборчество все целиком ушло в интересы внешней организации жизни, устройства государства в государстве, так что будто бы «о религиозных вопросах у современных духоборцев и речи быть не может» (132). Уже из этого краткого конспекта VI-й гл. можно видеть, что в характеристике духоборчества о. Мещерский следует обычному приему перечисления духоборческих ответов на основные пункты православного вероучения. Как ни распространен такой прием при характеристике наших сект, все же по поводу него нельзя не сказать, что он принуждает более говорить о том, чего сектанты не признают, чем указывать их положительные воззрения. Конечно, рецензент далек от мысли ставить, в упрек о. Мещерскому следование этому обычаю, но все же не может не поделиться здесь своими заветными ожиданиями относительно характеристики наших сект, о. Мещерский в некоторых фактах духоборческой истории видит «выражение какого-то трагизма души, внутренней драмы, создавшейся на почве» искания обетованной земли» (135). Вот и нужно было бы проникнуть в глубь этой души, чтобы понять трагедию ее, т.-е. надо было бы постараться, проникнуть в самое духоборческое настроение, представить себе общую физиономию этого вида сектантства, заняться его психологическим генезисом, а не вращаться почти бесплодно в сфере каких-то отрывочных теоретических положений. Достаточно, напр., несколько ближе присмотреться к двум указанным о. Мещерским в качестве основных догматам, чтобы видеть, что в существе это –
–298–
одно и то же убеждение в возможности непосредственного общения с Богом, так что первый, всецело сведенный к отрицанию, является своего рода изнанкой второго. Но, начинать с обратной стороны и именно с пресловутого текста о поклонении Богу духом и истиной, это – слишком укоренившийся у нас прием характеристики рационалистического сектантства: с этого текста не только сельские батюшки и становые пристава (см. «Материалы» Высокопреосв. Алексия), но и серьезные исследователи начинают описание внутренних основ секты, совершенно повторяя таким образом примитивный способ изучения сектантства еще царя Иоанна Грозного, открывшего диспут с лютеранином вопросами о том, как у них попы службу Божию правят, каков бывает колокольный звон – одинаковый ли во все праздники или разный и т. п. Излагая, далее, отрицательную интерпретацию христианских таинств, о. Мещерский, по-видимому, и не замечает, как много здесь материала к положительному раскрытию основного духоборческого догмата. Наконец, стремление проникнуть в самую психологию секты избавило бы о. Мещерского от категорического утверждения об исключительно социальном характере современного духоборчества: ведь, те эксцессы, какими так богата новейшая история секты, воочию убеждают в наличности на глубинах духоборчества могучих струй крайнего мистицизма, т.-е. течения по самой природе своей специфически-религиозного.
Для годичной работы о. Мещерский сделал совершенно достаточно, и степени кандидата он вполне заслуживает».
б) Экстраординарного профессора А. П. Орлова:
«Работа о. Мещерского представляет собой опыт конспективной систематизации имеющихся в нашей исторической литературе данных относительно секты духоборцев, и опыт сравнительной оценки различных воззрений на исторические корни, место, время ее происхождения и т. п. Сочинение о. Мещерского показывает значительную начитанность автора в избранном вопросе, но критические замечания его в общем не отличаются глубиной и тонкостью. В сочинении автора встречаются спорные, неясные и ошибочные места. Напр., едва ли можно признать исторически-правильным
–299–
взгляд о. Мещерского на стрельцов 17 в., как «либералов», «известных гражданским и религиозным вольномыслием», «усвоивших различные мистические учения Запада» (28 об. – 29 стр.). Такая характеристика едва ли применима к стрельцам, явившимся в своей массе оплотом «старой веры», непримиримыми противниками западных новшеств. Нельзя, далее, признать основательным резкий отзыв автора о духоборцах, как об отъявленных материалистах. «Как о жидовствующих известно, что они были крайними рационалистами, и даже материалистами, отличавшимися религиозным индифферентизмом (sic), так о духоборцах мы знаем, что борьба за материю (?) и животные инстинкты, борьба (,) не контролируемая совестью,.. стоит у них на первом плане» (21 об.). «Материализм» духоборцев о. Мещерский, как видно из его дальнейших рассуждений, усматривает в том, что они «постольку преследовали (sic) социальные вопросы» (131 об.) и в настоящее время представляют собой «не религиозное, а анархически-социалистическое общество, идущее в разрез с современными социальными условиями, стремящееся устроить «царство Божие» на земле со всеми свойствами (?) утопического учения Толстого» (133 об.), так что «о религиозных вопросах у современных духоборцев и речи быть не может» (132). То, что о. Мещерский называет «материализмом» духоборцев и «борьбой за животные инстинкты», по вашему мнению, вернее назвать крайним идеализмом их, фанатическим стремлением во всей полноте осуществит свой религиозно-социальный идеал, почерпнутый из Евангелия, хотя слишком односторонне и ложно понятого. Что в основе социальных исканий духоборцев, сопровождавшихся иногда такими эксцессами, как «буйная анархическая борьба с властью, поход «навстречу Христу», хождение без одежды» (135 стр.), лежат известные религиозные, в частности своеобразно-понятые евангельские принципы, это достаточно ясно из цитированных самим автором слов канадского старика-духобора одной англичанке: «Мы полагаем, что главное, что передал Христос, это завет братской любви, чтобы люди жили, как братья, и когда перекуются мечи на рало, и лев и ягненок будут лежать рядом, тогда настанет царство Божие на земле»
–300–
(132 об.). Но о. Мещерский в цитированных словах почему-то видит лишь самое яркое доказательство «всего неверия и безрелигиозности» характеризуемых сектантов (133 стр.). – На стр. 21-й автор характеризует секту жидовствующих в таких крайне неопределенных чертах: «Она не составляла чего-либо нового, привезенного откуда-нибудь, а была объединением многоразличных, сходных и противоположных (?) мнений и толков, выросших со времени богомилов, стригольников на русской почве». На стр. 63-й (трижды) и 67-й херсонский губернатор времени Александра I-го Ланжерон называется у автора Лаптеровым.
В изложении работы о. Мещерского, вообще не блещущем литературной отделкой, нередки очень неудачные выражения. «Квакеры давно были скрыты (?) в России, они (sic) были здесь, как полагает Филарет Черниговский, еще со времени Петра I-го» (27 стр.). «Теперь (при Побирохине) духоборчество как бы выделяется из толпы религиозных вольнодумцев» (36 об.). В эпоху Александра I-го «издавались журналы, трактующие (sic) о чувстве истины» (65 об.). «Проф. Малышевский преследует (?) ту же мысль, когда говорит и т. д.» (22 об.). «В своей общественной жизни у духоборцев была строгая дисциплина» (128 стр.). – Орфография автора также нередко нуждается в исправлении.
Кандидатской степени автор достоин».
30) О сочинении студента Никольского Григория на тему: «Оптинский старец Иосиф. (Его жизнь и нравственный облик)».
а) Ректора Академии Епископа Феодора:
«Автор называет себя духовным сыном Оптиной пустыни (см. III стр.), которой он много обязан своим религиозным воспитанием. В этом чувстве благодарного сына он и имел главное побуждение к настоящему своему литературному труду. Этот труд автора является пока первым и единственным опытом в нашей литературе дать жизнеописание недавно умершего старца Иосифа, преемника оптинского старчества и носителя его духа. Не только почитатели старца Иосифа, а их, как видно из сочинения, не мало, не только его ближайшие духовные дети и монастырская
–301–
братия скажут большое спасибо за труд автора если он его сделает достоянием печати, но и все, кому дороги судьбы русской церкви, судьбы нашего монашества, кто ценит и признает делом необходимым полноту обследования явлений русской духовной жизни, должны признать за трудом г. Никольского чисто научную, литературную ценность. Работать г. Никольскому приходилось без пособий, и он сам собирал материал во время поездок в Оптину пустынь, расспрашивая об о. Иосифе знавших его лиц, списывая и записывая разные сказания и воспоминания о нем, собирая письма разных лиц к о. Иосифу и его самого к своим духовным чадам. Имел автор под руками и собственноручные записи о. Иосифа о своей жизни в миру, его слова, записанные духовными детьми и пр. (см. VIII–XIV стр.). Конечно, далеко не весь материал собрал автор, да это и невозможно сделать сразу, ибо множество имен, воспоминаний и сказаний всякого рода об о. Иосифе в руках многочисленных его дух. детей, автору неведомых, могут стать достоянием истории только позднее. Все же автору удалось познакомиться с 274+9 письмами старца к духовным детям и даже в приложении к сочинению дать копии некоторых из его писем и воспоминаний о нем разных лиц (см. 255–285), Так, можно сказать, что со стороны полноты материала, собранного автором для своей работы, им сделано все возможное в его положении студента Академии и в короткий срок его работы.
Автор расширил задачу своей работы внесением в нее глав, посвященных историческим справкам об Оптиной пустыни (ее возникновению, устройству, внешнему виду и пр.) (гл. IV, VI), о старчестве вообще по учению древних о.о. аскетов (V гл.) и о старчестве в Оптиной пустыни до о. Иосифа (гл. VIII).
Это несколько нарушило единство работы и вошло в нее досадным отступлением от главной темы. Мы бы советовали автору, если он будет печатать свой труд, выкинуть эти главы или настолько их сократить, чтобы они не были отступлением от связного повествования об о. Иосифе, а просто примечанием к главному материалу. Так точно и в перечне литературы, которой пользовался автор
–302–
для своей работы он лучше бы сделал, если разделил то, что относится к личности о. Иосифа и что относится к вопросу о старчестве и его истории в Оптиной пустыни. Кстати заметим, что по вопросу о старчестве автор высказывает несколько странный взгляд, считая старчество 4-м особым видом подвижничества, на ряду с 3-мя другими, каковы по Иоанну Лествичнику: 1) отшельничество и полное уединение, 2) безмолвие с одним или двумя и 3) общежитие. Как же автор понял и выполнил свою прямую задачу? Он сам говорит о себе, что ему хотелось в сочинении «нарисовать портрет (живую личность) о. Иосифа, проследить как о. Иосиф, мало-помалу восходя от силы в силу в духовной жизни, достиг в мужа совершенна, и дать нравственный облик уже окончательно сложившейся его личности, как старца» (см. стр. V, VI–VII). С этой целью автор, сделав почему-то прямо в 1-й главе общий духовный облик старца, говорит о детстве, отрочестве и юности о. Иосифа (2 гл.), о злоключениях его жизни до вступления на правильный путь жизни, указываемый внутренним настроением о. Иосифа (3 гл.), о вступлении в Оптину пустынь и о жизни под руководством о. Амвросия (7 гл.), об его старчествовании при о. Амвросии и после смерти последнего (8 гл.). Самая важная часть сочинения по ее художественной задаче это 9 глава, в которой автор рисует духовно-нравственный облик о. Иосифа как старца, заканчивая свою работу последними минутами старца, его смертью и погребением. Все эти главы сочинения автора читаются с живым интересом и дают много интересных сведений об о. Иосифе, рисуя его духовно-нравственный облик в привлекательном виде, а его деятельность, как старца, в полном соответствии с лучшими представителями старчества в Оптиной пустыни. О. Иосиф благодатная, духоносная личность, утверждающая высшую правду христианского подвига и являвшая воочию всех, его знавших, чрезвычайное богатство духовных христианских даров.
Мы бы пожелали автору придать своей работе более живой литературный характер, отрешенный от задач чисто научного исследования. Присуща труду некоторая сухость биографа, связанного узами научных приемов работы,
–303–
и мало литературно-художественного элемента, что делает работу при чтении интересной и завлекательной.
Степени кандидата богословия автор вполне заслуживает».
б) И д. доцента А. М. Туберовского:
«Сочинение г. Никольского на живо интересовавшую его тему не могло не выйти удачным. Соответствующий задаче – жизнеописания оптинского старца и его характеристики – агиографический тон; обильный, нередко рукописный или устный, свежий, никем еще не использованный, материал; ценные приложения – таковы, на наш взгляд, главные достоинства рассматриваемого труда. Уже в своем настоящем виде он мог бы служить весьма интересной и поучительной книгой. Позволительно только не согласиться с конструкцией частей или «глав» сочинения. Составляющая по количеству страниц почти треть, и по важности – половину всего труда, IХ-я глава, по сравнению с остальными девятью главами, оказывается непропорционально большой. Лучше было бы, вместо отделов: а, б и в, разделить ее на соответствующие главы. Еще одно замечание a propos. Говоря о безрезультатности последней поездки Льва Толстого в Оптину, автор называет «слабовольным» того, кто всю жизнь, кажется, шел наперекор другим, не считаясь ни с чем. Автор, вероятно, хотел назвать Толстого нерешительным, каковым он в некоторых случаях, действительно, и был (лучший пример – долговременное колебание об уходе из семьи).
Рассматривая сочинение г. Никольского по частям, мы находим:
1-ая глава вышла довольно бледной, – быть может, потому, что представляет собой лишь «общий духовный облик старца», общее же всегда бледнее конкретного;
2-ая глава, наоборот, является вполне отчетливой, содержательной гравюрой – особенно захватывает конец этой главы, где исстрадавшийся в поисках насущного хлеба, бесприютный юноша стоит пред дилеммой: сделаться зятем богатого купца или поступить монахом в Оптину пустынь;
3-я гл. ясно мотивирует избрание Иваном Евфимиевичем второго, – монашеского пути;
–304–
4-ая гл. останавливает наше внимание на «внешнем виде» обители Оптиной, заставляя нас как бы вместе с Иваном Евфимиевичем пережить впечатление впервые увидевшего ее юного беглеца из мира;
5-я гл. излагает святоотеческую основу старчества, процветавшего тогда в Оптиной пустыни, равно как и взгляды на тот же предмет писателей-мыслителей: Достоевского и Леонтьева.
6-я гл., подробно говоря о возрождении старчества, благодаря трудам Паисия (Величковского), и насаждении его о. Леонидом в Оптиной, очень мало говорит о двух последующих великих старцах, особенно о Макарии (об о. Амвросии речь идет в 7 и 8 главах, но лишь постольку, поскольку старческая деятельность его касалась о. Иосифа), тогда как для характеристики «оптинского подвижничества», казалось бы, не липшим было, хотя с выделением в особую главу, очертить значение и этих старцев, чтобы понять ту притягательную силу, которая, вместо Киева, куда спешил Иван Евфимиевич, привела его к живым «угодникам» в Оптину пустынь.
7-я гл. воспроизводит жизнь о. Иосифа в Оптиной под старческим началом о. Амвросия.
8-я гл. изображает превращение смиренного о. Иосифа из послушника в старца, из келейника о. Амвросия в его преемника.
9-я гл. характеризует о. Иосифа, как старца, учителя веры и христианской жизни, скитоначальника и монаха; при сравнении настоящей главы с первой можно видеть, какая разница между общим очерком и конкретной обрисовкой: там общие положения, здесь факты; там – бледный контур, здесь – живой портрет; особенно поучителен и интересен первый отдел этой главы, сообщающий факты из мистической жизни старца; внешний недостаток этой главы – непропорциональный размер, – отмечен выше.
10-я гл. рассказывает о последних днях и кончине старца. Приложения ценны собранием многих случаев благодатной помощи и прозорливости старца, – того материала, который может впоследствии лечь в основу «жития». Рассмотренное сочинение ученой степени достойно».
–305–
31) О сочинении студента Никольского Леонида на тему: «Вавилон и Персия времен пророка Даниила».
а) Ординарного профессора Д. И. Введенского:
«Сочинение г. Никольского состоит из введения и трех глав. Во введении автор говорит о методе и плане работы и присоединяет к этому краткие биографические сведения о пророке Данииле. В 1-й гл. («Постепенное образование нововавилонской монархии») он останавливает особое внимание на характеристике личности Навуходоносора и на его значении в истории расширения нововавилонского царства. Во 2-й гл. г. Никольский говорит («Расцвет Вавилона») о городе Вавилоне, который во времена пророка Даниила имел особое значение, как центр политической и религиозной жизни, хотя, нужно заметить, отмечаемые автором особенности в культовой и религиозной жизни вавилонян не всегда относятся ко времени пророка Даниила. В этой же главе автор обстоятельно трактует о личности вавилонского царя вообще и об его деспотизме, коим объясняются жестокие распоряжения Навуходоносора относительно отроков еврейских. В 3-й гл. («Падение Вавилона и вступление на историческую сцену Персии») автор говорит о падении Вавилона, о личности Вальтасара, о Кире и его завоеваниях и о персидском царстве вообще в связи с деятельностью пророка Даниила. В заключении г. Никольский говорит о значении пророческой деятельности пр. Даниила в плену вавилонском. В приложении автор дает хорошо исполненные карты нововавилонского и персидского царства.
В целом сочинение г. Никольского, использовавшего при разработке своего вопроса значительную литературу, указывает на усердное отношение автора к делу. Он всюду внимательно относится к данным Библии. В целях установления точного смысла отдельных терминов библейского текста он пользуется текстами мазоретским, LXX и нашими славянским и русским переводами. Не забыта г. Никольским и святоотеческая литература. Не довольствуясь справками из курсов общей истории, автор привлек в свое сочинение и данные клинописи, поскольку он мог ознакомиться с содержанием клинописной
–306–
литературы по трудам Schrader’а, Ленормана, Петрово-Соловово, Астафьева и др. Его описание быта вавилонян и персов отличается достаточной полнотой, благодаря чему мы встречаем у него вполне удовлетворительное разъяснение таких, например, подробностей, как замена еврейских имен вавилонскими, что мы знаем из Библии о перемене имен Даниила и других еврейских отроков. Личности Навуходоносора, Бальтасара, Кира и Дария Мидянина у автора являются хорошо охарактеризованными. Цитация в сочинении г. Никольского всюду точная.
Но при всех указанных достоинствах сочинения г. Никольского, в нем есть и некоторые недочеты. Так, ему следовало бы объяснить принятую у него транскрипцию имен Вавилонских царей, например «Киаксаркс» вместо «Ксеркс». Такая транскрипция допустима: но она должна быть обоснована на точных данных, которых мы не видим в сочинении г. Никольского. Далее, по ясному смыслу темы автор должен был говорить только о Вавилоне и Персии времени пророка Даниила, но он допускает иногда отклонения от прямого смысла темы, трактуя, например об Иудее времени последних царей пред пленного периода. Название «Вавилона» (בכל от בלל «смешивать») автор объясняет библейским фактом смешения языков. Таковое объяснение названия «Вавилон» очень многими библеистами и экзегетами признается правильным. Но существуют и другие объяснения названия «Вавилон» (в клинописи: Bab-ilu). И раз автор затронул вопрос о природе этого слова, – чего он мог и не касаться, – он должен был указать существующие мнения по вопросу о происхождении названия «Вавилон».
Но подобные недочеты, от которых не свободно ни одно ученое исследование, мало касаются существа работы автора. Его работа в целом производит хорошее впечатление, почему мы признаем сочинение г. Никольского вполне заслуживающим степени кандидата богословия».
б) Экстраординарного профессора священника Е. А. Воронцова:
«Сочинение г. Никольского состоит из введения и 3 глав. Сообразно своей задаче автор последовательно обозревает
–307–
образование нововавилонской монархии, ее расцвет и падение при выступлении на историческую сцену Персии. Труд г. Никольского продуманный и составлен на основании тщательного изучения источников и пособий, относящихся к его теме, только напрасно, думается, автор всегда доверяет русским переводам иностранных источников, когда для него всегда, за исключением клинописных данных, было удобно обратиться к оригинальному тексту. Археологический элемент в сочинении открывает любознательного исследователя древневавилонского быта, но лингвистические экскурсы или бледны или отсутствуют сполна».
32) О сочинении студента Никольского Николая на тему: «Отношение Соловецкого монастыря к никоновским новшествам».
а) Ординарного профессора М. М. Богословского:
«Сочинение г. Никольского состоит из четырех частей. В первой части автор старается выяснить «корни отрицательного отношения монастыря к никоновским новшествам». Эти корни автор видит в полном национального самомнения консервативном русофильском направлении монастыря, а затем в присутствии в монастыре неспокойных политических элементов в виде беглых крестьян, политических ссыльных и казаков. Вторая часть озаглавлена названием «Соловецкое стояние за веру в период до осады». В этой части автор характеризует два периода, которые прошло поднявшееся в монастыре религиозно-политическое брожение: a) период скрытого соловецкого стояния за веру и b) период открытого стояния за веру. В третьей части «Соловецкое сидение» мы находим изложение причин той медленности, с которой велась осада, а также рассказ о ходе осады. Наконец, четвертая часть «Отзвуки соловецкого возмущения» посвящена вопросам о распространении раскола в Поморском крае, о влиянии на это распространение соловецких сидельцев и о тех отголосках осады, которые заметны в старообрядческой литературе и народной поэзии Поморского края.
При составлении своей работы г. Никольский имел в виду целый ряд изданных документов по истории раскола
–308–
вообще и соловецких событий в частности. Сочинение обнаруживает также достаточное знакомство с литературой предмета. Список источников и пособий приложен к работе вслед за предисловием. Главы о периоде, предшествовавшем осаде, и рассказ о самой осаде написаны по материалам, изданным Братством Св. Петра Митрополита. Барсовым и друг. Эти главы (IV, V, VII) мы считаем лучшими. При всем том, следует сказать, что в сочинении есть строки, возбуждающие немало недоумений, и есть также значительные промахи. Недоумеваем напр., почему автор на стр. V предисловия, говоря, что «соблюдение хронологической последовательности сообщило совершенно разбросанный характер подстрочным примечаниям», тревожится тем, что документ позднейшего происхождения указывается в примечаниях прежде документа раннейшего происхождения. Какая в этом беда? Примеры такого цитирования автор мог бы неоднократно заметить в тех исторических пособиях, какие им указаны в его перечне. На стр. 13, характеризуя введение различных новшеств в Московском государстве, г. Никольский относит к ним также появление «соляных варниц», как будто таких варниц ранее на Руси не было. Крайне неудачной считаем характеристику положения поморского крестьянства в XVII в. обремененного налогами. Слова на стр. 35 «налоги эти были двоякого рода: тягло и подати, являвшиеся вследствие задолженности земских миров по заемным кабалам» – совершенно неточны, и интересно было бы знать, какие же это государственные подати вытекают из земских кабал. Неверно понял автор деятельность дворянина Золотарева, посланного московским правительством в 1640-х годах в Заонежские погосты с поручением возвращать на прежние места крестьян, бежавших из Заонежских погостов. Между прочим, Золотарев должен был выводить заонежских крестьян, перешедших в вотчины Соловецкого монастыря, но именно во вотчины, находившиеся, как известно, в разных уездах, г. Никольский же представляет дело так, как будто бы эти крестьяне укрывались в Соловецком монастыре. Совершенно неизвинительным я считаю то знакомство с Уложением царя Алексея Михайловича 1649 г., которое автор обнаруживает на стр.
–309–
38–39. Здесь говорится, что политическое недовольство в Московском государстве XVII в. возбуждалось, между прочим, темными сторонами Уложения, и к этим темным сторонам автор почему-то относит a) запрещение переводить крестьян с поместных земель на вотчинные, b) недопущение перевода крестьян с пашни во двор. По-видимому, автор не ясно представляет себе смысл этих норм Уложения, несоблюдение которых именно и могло вызывать недовольство. Не могу признать удовлетворительным приводимое автором на стр. 110 объяснение причин медленности в действиях московского правительства против Соловецкого монастыря. Причину медленности г. Никольский видит в «невнимательности» правительства к осаде, а эту невнимательность объясняет ссылкой на «русскую халатность». В научном исследовании такое объяснение совершенно неуместно; да оно и не нужно, так как сам же автор приводит далее вполне достаточное объяснение: «государство не могло послать больших сил на Белое море: страшный бунт (Разина) кипел на конце противоположном». Очевидно, добавляет автор к этим словам, заимствованным у Соловьева, что московское правительство не имело лишнего войска для осады Соловецкого монастыря. Причем же здесь русская халатность? Одинаково не научна и ссылка на «скупость монастырских приказчиков», т. е. приказчиков соловецких вотчин, которые отказывали в выдаче хлеба стрельцам, осаждавшим монастырь (123–124, 135). Противоречиво с этими рассуждениями о «невнимательности» правительства звучит заявление автора в гл. VII о твердом решении правительства бороться с Соловецким возмущением.
Слог сочинения тяжел, не всегда точен и приспособлен к историческому изложению. Нельзя признать удачными выражения: стр. V «период скрытого возмущения и период открытого недовольства». Следовало бы сказать, думается нам, наоборот. Не менее неудачно выражено определение причин Соловецкого возмущения. «Причины, лежащие в основе политического элемента соловецкого возмущения» (33); неудачно выражение (201): «что касается до продолжительности соловецкой осады, то она мало говорит о стойкости и мужестве соловецких насельников в виду
–310–
благоприятствующих для себя условий». Трудно допустимо сравнение Соловецкого возмущения (процесса) с организмом (199).
Всего более удались автору те места его работы, где он, изучив документы, бесхитростно излагает добытые из них данные в виде хронологического повествования. Это знание документов, о котором свидетельствует сочинение, дает мне основание признать работу г. Никольского заслуживающею кандидатской степени».
б) И. д. доцента Ф. М. Россейкина:
«Сочинение г. Никольского посвящено одному из интереснейших эпизодов в истории зарождения и первоначального развития раскола старообрядчества. Стояние за веру «отцов и страдальцев соловецких» представляло попытку вооруженной силой защитить старый церковный обряд, порушенный реформами Никона. Можно не сочувствовать этой попытке, можно видеть в ней выражение фанатизма и невежества; но сама по себе она не лишена героизма, так как в ней отразилась готовность кровью защищать свои религиозные убеждения. Казалось бы, что тема давала благодарный материал нарисовать не только исторически правдивую, но и увлекательную картину, способную захватить читателя эпичностью событий, взволновать трагизмом отдельных положений. Нужно признать, что в обработке нашего автора тема потеряла многие из своих красок. Можно не оспаривать основную схему г. Никольского, по которой построено его сочинение: но ее раскрытие и способы изложения оставляют желать лучшего. Не говоря уже о том, что вопрос об отношении Соловецкого монастыря к никоновским новшествам у нашего автора сведен почти к одному факту соловецкого возмущения, самая история возмущения носит характер сухого хронологического регистра событий. Существенное мало выделено из мелочей. Изложению не хватает живости, что особенно чувствуется там, где речь идет о событиях, полных драматизма (стр. 161). В добавок, слог во многих местах шероховат, – выражения не всегда удачны (стр. 52, 60, 99, 126, 141, 165: кстати отметить странные грамматические ошибки – 154, 165, 157, 155, 156). Кажется, представления нашего автора о
–311–
приемах исторических работ недостаточно отчетливы. Ему. напр., представляется делом мало обычным цитировать материалы не в их хронологическом порядке, а по их внутренней связи (стр. V). – Но если г. Никольский не обнаружил особых дарований историка, то во всяком случае он удовлетворительно изучил литературу темы, приобрел знакомство с источниками и проявил достаточное трудолюбие. – Для получение степени кандидата богословия его сочинение достаточно».
О сочинении студента Орлова Александра, на тему: «Пасторологический анализ произведений Ф. М. Достоевского».
а) Доцента В. И. Виноградова:
«Есть зрелище, писал Виктор Гюго, величественнее леса – это море; есть зрелище величественнее моря – это небо; но есть зрелище и величественнее неба – это зрелище души человеческой». Наш автор ставит себе задачей заглянуть в сокровенные глубины не рядовой человеческой души, но «страшной, сложной, мятущейся души великого богоискателя и богоборца, – души, представлявшей из себя какой-то кратер, огнедышащий вулкан, где вечно кипело, горело, откуда летели и пепел, и сера, и камни и всеиспепеляющая огненная лава». Пасторологический анализ произведений Достоевского наш автор представляет себе именно как анализ души великого писателя по его произведениям. Свое право на это г. Орлов доказывает разъяснениями чрезвычайной субъективности творчества Достоевского – с одной стороны, и необыкновенной близости, мистической связи личности Достоевского с нашей эпохой (стр. 1–8). «Обе эти причины, пишет автор, имели своим следствием то, что Достоевский заслонил собой от нас свое творчество... вышло так, что, изучая творчество Достоевского, мы всюду видели его одного... и только... Достоевский встал пред нами в своем творчестве, как целая самостоятельная величина, как личность. Вглядываясь дальше в творчество Феодора Михайловича, мы увидели, что это – бесконечно трагическая личность, что вся жизнь его – одна сплошная, душенадрывающая драма. Она то и приковала к себе наше внимание. В нашей работе мы почти
–312–
исключительно и всецело имеем дело с так называемыми «больными сторонами» творчества Достоевского, из которых и слагается драма этой личности» (стр. 8). «С первого же взгляда мы увидели что-то знакомое в этой драме Ф. М-ча. Что-то старое и общечеловеческое, только вскрытое с новой силой и экспрессией. Прикинувши религиозно-пастырский масштаб, мы увидели, что догадка наша справедлива. Драма Феодора Михайловича – общечеловеческая драма»... (стр. 11).
В чем же сущность этой драмы, по представлению автора? «Достоевским, отвечает автор, в муках, раздиравших его душу, брошен был вызов религии, объявлен ей грозный бунт» (236 стр.). В своем сочинении г. Орлов и вскрывает последовательно те моменты, те «внутренние муки», которые, раздирая душу, вели к этому бунту.
В первой главе (стр. 13–50) – «Достоевский и религия (постановка вопроса о личности Достоевского)» автор критически излагает историю вопроса об отношении Достоевского к вере и церкви и в конце концов решительно склоняется к мнению проф. Батюшкова. «Общий смысл веры Достоевского, пишет г. Орлов, лучше всего может быть выражен знаменательными словами евангельского маловерного: «верую, Господи – помоги моему неверию» (стр. 26). Далее («Драма Достоевского», «Жестокий талант» – стр. 51–83) устанавливается общий или основной вопрос, составлявший предмет мук Достоевского, и намечается (стр. 84–99) «Схема драмы Достоевского». Затем следует центральная часть сочинения – детальный анализ отдельных моментов драмы (стр. 100–233). Вскрыв драму Достоевского, автор ставит задачей «осветить эти муки светом евангелия и церкви, указать исход из этих страданий, из этой вековечной трагедии, указать при свете религии источник мук Достоевского и какие средства она дает от этих мук» – с одной стороны, и «судить Достоевского пастырским судом: наш ли он или от неприятелей наших?» – с другой (стр. 237–8). Первую половину задачи автор выполняет в специальной главе: «Пастырский анализ драмы Достоевского», вторую в главах: «Суд над Достоевским, как личностью» и «Материнство – стихия Достоевского» (стр. 234–291).
–313–
Исходя из иных точек зрения на характер творчества Достоевского, можно много возражать против отдельных положений труда г. Орлова. Но свою точку зрения автор проводит вполне последовательно, с глубоким и широким знанием произведений Достоевского и русской литературы вообще. В авторе чувствуется серьезный мыслитель и вместе с тем творчески-поэтическая натура. Автор излагает не только глубоко-продуманное, но и пережитое и даже выстраданное в душе: за каждой страницей работы слышится трепетание не только живой, сильной, талантливой мысли, но и сердца, чутко проникающего в боли и страдания человеческой души.
Из недостатков сочинения наиболее значительный – это его незаконченность и с внутренней и с внешней стороны. Сам автор признается, что ему «не удалось написать двух глав, очень важных при такой постановке темы, какова у нас, и довести до конца пастырский анализ мук Достоевского. Пастырский анализ в настоящей работе скорее только намечен, чем выполнен» (Предисловие, стр. II, ср. стр. 233). Одна из глав осталась не вполне законченной (стр. 174). Изложение по местам носит характер чернового наброска. Но я не считаю возможным поставить этот недостаток в вину автору: чрезвычайная сложность темы и серьезность и глубина ее постановки у нашего автора при ограниченности данного ему времени делали этот недостаток неизбежным. Для существа же работы этот недостаток имеет лишь временное значение, в отношении деталей, которые хотя пока и не развиты в должной мере, но намечены с определенностью, делающей их развитие лишь вопросом времени. Степени кандидата богословия г. Орлов за свой труд безусловно заслуживает».
б) Экстраординарного профессора И. В. Попова:
«Успех пастырского служения зависит больше всего от широты духовного опыта и знания человеческой души. Только при этом условии пастырь может найти в больной и страдающей душе точку приложения для той религиозной силы, которую он призван влить в нее для ее исцеления. Пред лицом известных пастырей и старцев проходили тысячи людей, взволнованных личными бедствиями, мировыми катастрофами,
–314–
неразрешимыми противоречиями жизни, сознающих важность момента, ищущих помощи и потому искренних и нелживых. Так постепенно расширялся опыт этих старцев, развивалась их проницательность и нравственная прозорливость. Для рядового пастыря, а тем более для готовящегося посвятить себя пастырскому служению живой опыт подобного рода не доступен. Его по необходимости приходится заменять литературными документами, снискавшими для себя известность глубиной и тонкостью психологического анализа. В ряду этих документов первое место принадлежит Достоевскому с его религиозными исканиями, с его обостренным интересом к патологическим состояниям души, с его несравненным уменьем осветить тончайшие изгибы страстей, с его богатством и разнообразием моральных типов. Поэтому было бы естественно ожидать, что г. Орлов скажет нам в своем труде, каким образом следует использовать этот обширный материал в интересах науки о пастырстве. Вместо этого мы встречаемся в его сочинении с довольно неожиданной постановкой вопроса. На все сочинения великого писателя он взглянул, как на его автобиографию, во всех выведенных типах он увидел исключительно выражение личной драмы самого Достоевского, и таким образом сосредоточил все в его личности, описал его мучительные сомнения и со всеми ими поставил страждущего богоискателя пред судом пастыря, предложив последнему решить, «наш он или от неприятелей наших» (стр. 237). Нам представляется это мало оправданным сужением взятой темы. Но рассматривая сочинение г. Орлова в тех пределах, которые поставил для себя сам автор, мы должны признать его выдающиеся достоинства. Сочинения Достоевского изучены автором с любовью и очень подробно и основательно. В достаточной мере использована и богатая литература об этом писателе. Его религиозная драма изображена с большим подъемом и чувством живой симпатии. Степени кандидата богословия г. Орлов вполне заслуживает».
34) О сочинении студента Орлова Николая на тему: «Евангельское учение о богатстве и бедности».
–315–
а) Ординарного профессора Μ. М. Тареева:
«Сочинение, кроме введения, имеет три части. В первой излагается «евангельское учение о богатстве и бедности в передаче евангелистов». Под этим, несколько темным, заголовком скрывается мысль об индивидуальной особенности каждого из евангелистов, сказавшейся, частнее, и в выступающих у каждого из них чертах учения Христа о богатстве и бедности. Вторая часть имеет своим содержанием «учение Христа о богатстве и бедности в собственном смысле, или евангельское учение». Здесь автор ставит себе задачей свести учение Христа о богатстве и бедности по всем евангелистам в систему, отрешенную от той исторической формы, в которую вылилась «проповедь Христа». В третьей части, которая названа дополнительной, кратко намечается «церковное учение о богатстве и бедности». Эта глава в плане сочинения не является случайной. Мысль автора та, что евангельское учение есть собственно учение о духовной жизни, так что и экономические отношения обсуждаются в нем не в житейской полноте и конкретности, а исключительно с той стороны, которой они обращены к духовной жизни. Такая духовность евангельского учения заставляет почувствовать нужду в практических наставлениях этико-экономического характера: признание собственности и вытекающие отсюда руководственные начала для житейской области мы находим в церковном учении и святоотеческих пастырских наставлениях.
План сочинения и его основное содержание не вызывают возражений. Но существенный недостаток сочинения – крайне необработанный язык. В нем мы встречаем «симпатию Христа к бедным и антипатию Его к богатым» (почти на каждой странице, начиная с IV), «обман художественного гения евангелистов» (стр. II), «роль Христа в человеческой истории» (IV), «всю поэзию, которая была свойственна духу евангелистов» (2), «вторжение Христа в социально- экономическую жизнь своего времени» (2, 17, 24, 26, 28, 42). Автор пишет: «Христос не боится сравнивать вечные блага царствия с тленными благами земли» (9), – «Христос стремится пробудить у своих слушателей потребность»...
–316–
(12), – «Его интересует» то-то (12, 28), – «евангелист оказывает нам услугу» (14), – «замечательная сцена, в которой выступает богатый юноша» (ib.), – «Христос создает яркие картины социальной жизни» (18), – «Христос разжигает у слушателей чувство возмущения» против социального строя (18, 20), – «производит решительную переоценку всех ценностей» (19), – «евангелие оперирует с понятиями» (35). И это еще не самые худшие из рассеянных в сочинении фраз. Свою мысль автор выражает крайне неуклюжим сочетанием слов и предложений, крайне темно. Он пишет: «Возможно ли рассуждать о нравственном состоянии людей в богатстве и бедности, когда факты вопиют о злоупотреблениях богачей, о несправедливости их к беднякам? Вызванный таким образом подъем, Проповедник затем обращает в нужную Ему сторону. Пред нами врываются в жизнь богачей и бедняков религиозные факты, которые неожиданно дают новое освещение всем этим возмутившим нас явлениям; они, вдруг, пред нашими глазами приобретают нравственную оценку. Вот мы видим, как богач, мучась в аду, становится лицом к лицу пред истиной своего положения» (19)... И так автор пишет из страницы в страницу (см. для примера 21, 22, 26, 29, 30, 31, 33, 42). Непрерывно попадаются вопиющие противоречия. Так: «общий взгляд евангелия на богатство и бедность тот, что богатство есть зло; а бедность – добро» (34), – «нигде в евангелии богатство не называется злом само по себе» (39) – «богатство есть безусловное зло для человека» (40) – «богатство само по себе не зло и бедность не добро» (41). Еще: «учение Христа должно стать руководством социально-экономической жизни» (41) – «нельзя сделать непосредственного приложения евангельского учения к нашей действительной жизни, из наставлений Христа нельзя составить заповедей, которыми должны руководствоваться в своей жизни все последователи Его» (44) – также стр. 47 и 71. Еще: «в то время как социалисты видят в собственности принцип, евангелие видит в ней только факт... евангелие вполне мирится с фактом собственности, как принципа социально-экономической жизни» (стр. 51).
При всем том, из-за неуклюжих фраз и туманных страниц чувствуется в сочинении г. Орлова какая-то
–317–
мысль, по местам даже глубокая мысль. Из личных бесед с автором рецензент убедился, что автор очень интересовался своей темой, обдумывал ее много читал. По всей вероятности, он лишь не успел придать своим суждениям литературную обработку. В виду этого можно признать его достойным степени кандидата богословия».
б) И. д. доцента Ф. К. Андреева:
«Работа г. Орлова производит довольно грустное впечатление: на ней лежит печать дурного провинциализма, не чувствуется, что ее исполнял человек, посвятивший 14 лет на свое богословское образование. Перед автором стояла интересная тема, свое исследование он должен был производить над первоисточником, доступным ему в подлиннике, к его услугам была обширная литература на двух языках, и все это пошло у него на создание брошюрки широковещательной, но тощей во всех смыслах. Это в особенности надо сказать о методе его исследования. Вместо того, чтобы исходить из текста св. Писания и на основании его строить выводы, как это ясно вытекает из самой постановки его темы, автор предпочитает начинать с общих рассуждений и под них уже подводить нужные тексты. Такой прием особенно последовательно применяется им в первой главе своей работы, где он задается целью уловить оттенки в изложении учения И. X. о богатстве и бедности у каждого из четырех евангелистов. Задача безусловно интересная и вполне правомерная, поскольку Церковь сама, в своей символике, утверждает такое различие евангелий в целом. Как же, однако, автор приступает к делу? Верный своему методу, он и здесь начинает с общих характеристик и затем уже пытается подкрепить их цитатами. Но, так как эти характеристики взяты им у исследователей, страдающих таким же ученым неряшеством, как и сам автор, и незнакомых с текстом тех памятников, о которых они спешат составить общее суждение, то, когда вслед за такими суждениями приходит очередь для цитат, – последние являются не как подтверждения, а как опровержения только что высказанных положений. Так, например, ведя параллель
–318–
между евангелистом Матфеем и Лукой, он уверяет: «Евангелист Лука более всех других евангелистов останавливает наше внимание на учении Христа о богатстве и бедности можно сказать, что внимание евангелиста Луки особенно сосредоточено на этом учении. Это особенно обнаруживается в одном месте. Евангелист Лука, сходно с евангелистом Матфеем и Марком приводит изречения И. X. об условиях последования за Ним, называет ненависть к отцу, матери, сыну и т. п.; но в этой же связи он далее добавляет: «так всякий из вас, кто не отрешится от всего, что имеет, не может быть моим учеником (стр. 15)». Но, во-первых, эти слова Христа следуют вовсе не за призывом к отречению от семьи, а за притчами о несообразительном, строителе башни и царе, собирающемся в поход с малыми силами, каковые образы говорят напротив о том, что и в деле христианского подвига (в том числе, значит, и добровольное нищенство) нельзя быть безрассудным, а, во-вторых, не является ли, напротив, освобождение от семьи, если его понимать буквально, скорее обогащением, так как одному жить дешевле? Автор даже и не задается такими естественными вопросами и продолжает лирическим тоном уверение в особенной любви евангелиста Луки к нищенству. «Это даже, уверяет он, послужило поводом к обвинению евангелиста Луки в тенденциозности, именно приписывают ему тенденцию эвионистическую». Конечно, автор восстает на таких обвинителей, но он сам ближе к ним, чем думает, по крайней мере в том, что касается всякого рода тенденциозности. Продолжая параллель далее, он говорит: «в нагорной беседе ублажаются нищие духом; в соответствующем месте евангелия Луки речь идет о нищих в собственном смысле (стр. 7)». Опять автор слышал звон, но не догадался обратиться к источнику, у евангелиста Луки ублажаются тоже нищие духом, а то, что им противопоставляются богатые просто, дает толковникам право и в последних видеть не просто богачей, а богатых духом же, т. е. надменных, гордых. Не смущаясь, однако ничем, автор пускается в дальнейшие изыскания причины такой особенной склонности евангелиста Луки к бедным и видит ее просто в личной, «особенной» его к ним «симпатии».
–319–
Вы ждете доказательств? Автор предупредительно указывает: см. Шейлер Матьюс – Социальное учение И. Христа – примечание такое-то, на такой-то странице. Ну, а что если читатель, вместо того, догадается заглянуть в собственные писания Евангелиста Луки? не удивится ли он, когда увидит, что этот особенный любитель бедняков и враг богатых два главные труда своей жизни – свое Евангелие и Книгу Деяний посвящает державному Феофилу? – Еще категоричнее автор в своих суждениях о евангелисте Иоанне. «Евангелист Иоанн, говорит он, в своем евангелии, как мы говорили уже (многократно и настойчиво – Ф. А.), совсем не касается учения Христа о богатстве и бедности, если не считать двух его изречений: гл. 12 ст. 8 и гл. 13 ст. 29». Но первое «изречение» говорит о том, что бывают случаи, когда драгоценное миро, пролитое на ноги Христа, оказывается более приятной жертвой Ему, чем милостыня нищим, а второе сообщает о том, что Иуда, по повелению Христа, раздавал нищим собранное в его ковчежец. Такие «изречения» автор, однако, предлагает «не считать», чтобы не испортить впечатление от его характеристики ап. Иоанна.
Подобных странностей у автора достаточное количество. Порой просто кажется, что имеешь дело с загипнотизированным человеком, неспособным взглянуть на вещи своими глазами. Так, автор упорно уверяет, что мытари, блудницы и грешники суть непременно бедняки (стр. 6, 14 и всюду), забывая, что грех первых в том как раз и заключался, что они обогащались на счет бедняков, что среди блудниц были такие, что покупали миро на 300 динариев, а у ев. Луки грешниками называются те, кто дает взаймы, «чтобы получить обратно столько же (6, 34)». – Порой кажется даже, что автор готов был бы признать нищенство чем-то святым само по себе. Но как же это примирить тогда с другими советами Христа: раздавать богатства нищим? Не пострадает ли от такого дарового обогащения святость последних? – Нищие, уверяет автор, всегда желанные гости на приточных пирах; но, ведь спасается то позвавший их богатый. Да и одежда, какая требуется от приглашенных, показывает, что речь идет не о нищих просто. – Чувствуя порой, что
–320–
в своей апологии нищеты он заходить уже слишком далеко, автор начинает жалеть богатых. Приточному богачу, сокрушается он, до Христа «никто не сказал, что не хорошо так жить (стр. 19)». Но, почему же, когда тот просит о своих братьях, Авраам ему отвечает: у них есть Моисей и пророки, пусть слушают их?
Таково отношение автора к священному Писанию, как к словам евангелистов; во второй главе он пытается изложить учение Христа в целом, независимо от обстановки, в которой оно представлено у каждого из них. Делает он это в твердой уверенности, что совершает какой-то необыкновенно тонкий анализ, позволяющий ему отделить евангельскую психологию от евангельской онтологии, но он совершенно забывает, что евангелия писаны не стенографически или под свежим впечатлением, а долгое время спустя, уже под наитием единого, одушевлявшего апостолов Духа, и Он то, а вовсе не авторский анализ, делает нам доступной евангельскую онтологию. Кроме того, если бы автор действительно имел в виду апостольскую психологию, он не должен был бы ограничиваться одними евангелиями, а ему следовало бы также принять во внимание и другие писания евангелистов, т.-е. книгу Деяний и Послания ап. Иоанна с Апокалипсисом. Автор ведь нигде не подозревает, что они писаны другими апостолами. Он, однако, их не принимает во внимание, и поэтому его опыт с апостольской психологией оказывается интересным по замыслу, но, как мы сказали, крайне плоским по выводам. Первая глава, таким образом, просто сводится ко второй, и разделять их не было никакой нужды. Разница лишь в том, что во второй главе автор, как и следовало ожидать, обходится уже вовсе без священного Писания, хотя от этого его работа только выигрывает. Тут становится видно, что вопрос о богатстве и бедности у автора – наболевший, и он делает героические усилия его решить. Конечно, решения не получается, но антиномичность вопроса заостряется, и от этого работа делается интереснее и глубже, впрочем, – до известного предела. – Третья глава названа «дополнительной», так как там излагается церковное учение о богатстве и бедности. Но, думается, что раз уж автор нашел нужным гово-
(Продолжение следует)
Жданов А.А. Из лекций по Священному Писанию ветхого Завета / Под ред. проф. иеромон. Варфоломея // Богословский вестник 1916. Т. 2. № 9. С. 33–48. (4-ая пагин.). (Продолжение).
–33–
первоначальный текст книги Иисуса Навина и ссылка на «Книгу праведного».
Таким образом, писатель книги Иисуса Навина не пользовался, как видно из сказанного, «Книгой праведного», а потому эту книгу и нельзя включать в число письменных первоисточников для книги Иисуса Навина.
В заключение остается сказать несколько слов относительно плана книги. Обыкновенно принято разделять ее на 2 части: 1-я часть – первые 12 глав – история завоевания земли Ханаанской, 2-я – с 13-й главы до конца – история разделения ее по коленам. Но это разделение соответствует содержанию той и другой части лишь приблизительно, и многие главы совсем не подходят под указанные рубрики завоевания и разделения. Поэтому некоторые исследователи отделяют две последние главы (последние распоряжения и смерть Иисуса Навина, смерть Элеазара) от предшествующего и считают за третью часть книги. Иногда отделяют и 1-ю главу или 5 первых глав, как особое вступление к целой книге.
Встречаются и еще более дробные деления книги на части. Их разнообразие зависит от того, что сам писатель в расположении своего повествования следовал простой хронологической последовательности событий от смерти Моисея до смерти Элеазара и излагал все достопримечательное в этом промежутке времени в непрерывном порядке. Поэтому о каком-либо плане книги Иисуса Навина в строгом смысле этого слова речи быть не может: возможен только более или менее детальный пересказ ее содержания по определенным группам событий. Всего менее можно находить в этой книге вступление – вступление вообще не в обычае у восточных и в частности еврейских историков: они всегда вводят читателя in mediis res, и рассказ о каждом событии составляет вступление к последующему.
Равным образом то же нужно сказать и о заключении: самым естественным заключением служит последнее из рассказанных событий, как, напр., в данном случае смерть Элеазара. Несколько времени спустя появилось другое заключение-заметка о смерти Финееса (у LXX) и, наконец, 3-е: стали сыны Израилевы служить Астарте и Астарофу и богам окрестных народов, и предал их Господь в руки
–34–
Еглона царя Моавитского, и он владел ими 18 лет, – чем, книга и оканчивается.
Книга Судей
Вторая книга в порядке Невиим носит наименование Шофетим, у LXX κριταί – судии, в Вульгате «liber judicum». Русское и славянское название «книга Судей Израилевых» ведут свое происхождение от древних переводчиков, пользовавшихся текстом Вульгаты.
а) Термин – «Шофетим»
Понятия о шофетим, давших свое имя целому периоду израильской истории между смертью Иисуса Навина и воцарением Саула, и книге, в которой описана большая часть этого периода, не установилось в науке с достаточной степенью точности. И это неудивительно: одним именем шофетим еврейская история отмечает целый ряд замечательных народных деятелей, между которыми едва ли можно найти двух похожих один на другого; в числе шофетим встречаем и вдохновенную женщину Деворру, к которой сыны Израилевы стекались для разрешения тяжебных дел, и Иаира, мирного патриарха многочисленного племени, и Иеффая, храброго предводителя сначала отряда вольницы, а затем войска Галаадитян, Илия – первосвященника и Самуила пророка. При великом разнообразии лиц, носящих имя шофетим, при различном характере их общественных отношений нелегко уловить общие и существенные черты их деятельности и составить полное и удовлетворительное представление о значении их в жизни еврейского народа. Отсюда множество противоположных определений понятия шофетим, которые не остаются без влияния на суждение о происхождении, характере и основной идее подлежащей нашему рассмотрению книги.
По-обычному, издавна установившемуся мнению, шофетим получили свое название от того, что они были действительными отправителями правосудия в Израиле, блюстителями и представителями откровенного закона Иеговы, охранителями народа от уклонений в след чужих бо-
–35–
гов. Это мнение имеет некоторые основания в свою пользу.
Слово шофет очень часто употребляется в прямом значении «судии». Еще при Моисее «судьи» вместе с старейшинами и князьями входили в состав народного управления, как постоянные чиновники, специальную обязанность которых составляло отправление правосудия. Кроме постановления судебных приговоров им отчасти принадлежала власть исполнительная (как видно из книги Чисел, гл. 25). По заповеди Моисея сыны Израилевы должны были и в земле обетованной избирать себе подобного рода лиц и обращаться к ним в затруднительных юридических случаях. «Во всех жилищах Твоих, которые Господь Бог твой даст тебе», говорил Моисей во Второзаконии (Втор.16:18), «поставь себе судей и надзирателей по коленам твоим, чтоб они судили народ судом праведным», и далее (Втор.17:8): «если по какому делу затруднительным будет для тебя рассудить между кровию и кровию, между судом и судом, между побоями и побоями, и будут несогласные мнения в воротах твоих, то... прииди к священникам, левитам и к судье (шофет), который будет в те дни, и спроси их, и они скажут тебе как поступить». Поэтому в шофетим, появлявшихся до воцарения Саула, видят прямых продолжателей законодательной и юридической деятельности Иисуса Навина и Моисея. Филологически правильный и основанный на ясных свидетельствах Пятикнижия, этот взгляд, однако, не может быть оправдан исторически. В самой книге только относительно Деворры говорится, что она действительно судила народ; другой пример представляет Самуил, который по 1-й книге Царств, «из года в год ходил и обходил Beфиль, и Галгал, и Массифу, и судил Израиля во всех сих местах; потом возвращался в Гаму, где был дом его, и там судил Израиля» (1Цар.7:15–17). Многие из лиц, внесенных в список шофетим, известны в истории исключительно военными подвигами, таковы: Аод, который собственноручно умертвил царя Еглона и поразил Моавитян (замечание «и был Аод судьею их до самой смерти» есть только у LXX); Самегар, который побил воловьим рожном 600 филистимлян; по всей вероятности,
–36–
и Иеффай, предводитель Галаадитян; Самсон, который в одиночку боролся против филистимлян. Напротив, другие лица, о которых несомненно известно, что они судили Израиля, обыкновенно к числу судей не присоединяются, напр., Иоиль и Авия, сыны Самуила, которых он сам поставил судьями над Израилем (1Цар.8:1–12). Не видно также, чтобы шофетим были нарочитыми представителями закона Иеговы и охранителями гражданского порядка. Гедеон, после славных побед над Мадианитянами, из золотых серег, доставшихся ему в виде военной добычи, «сделал ефод, и положил его в своем городе – в Офре, и стали все Израильтяне блудно ходить туда за ним, и был он сетью Гедеону и всему дому его» (Суд.8:23–27); Иеффай приносит в жертву всесожжения собственную дочь, вопреки закону Моисееву, воспрещавшему человеческие жертвы; Самсон вступает в брак с дочерью иноплеменника филистимлянина, и после того как брак оказался неудачным, предается открытому блужению с филистимлянками.
Таким образом, охранение закона и отправление суда не может признаваться существенной характеристической чертой деятельности шофетим.
Невозможность согласовать деятельность шофетим с обычным значением коренного глагола шафат – «судил» – заставила некоторых ученых нового времени (Winer’a, Köhler’a, Gratz’a, и Vigouroux)1123 искать объяснения термина шофетим в других употребительных значениях корня шафат. Во многих местах Св. Писания смысл глагола шафат с удобством передается словами «вступаться за чье-либо право, заступаться, защищать, избавлять, спасать». Напр., пр. Исайя (Ис.1:17) обращается к начальникам Израиля со словами: «защищайте (шифту от шафат) сироту», или в русском венском переводе «заступитесь за сироту». В псалме 42-м (Пс.42:1) выражение «суди меня Боже» поясняется синонимическими параллельными членами: «вступись в тяжбу мою с народом недобрым, от человека лукавого и несправедливого избавь меня». В 1-й и 2-й книгах Царств неоднократно встречаются сочетания «избавить
–37–
(шафат) или спасти от руки врагов, от руки восстающих и под. (2Цар.18, 19, 31).
Соответственно этому термину шофетим дают значение «защитники, спасители, освободители», и как специальную задачу их указывают освобождение Израиля от ига иноплеменников. Книга Судей содержит в себе много мест, которые подтверждают такое понимание. Во 2-й главе, где писатель излагает свой взгляд на всю эпоху судей, он говорит: «и воздвигал Господь (сынам Израилевым) Судей, которые спасали их от рук грабителей их» (Суд.2:16) и далее (Суд.2:18): «когда Господь воздвигал им Судей, то Сам Господь был с Судьею, и спасал их от врагов их во все дни Судьи». Иногда Судьи прямо называются «спасителями». «Возопили сыны Израилевы к Господу», читаем, например, в 3-й главе, «и воздвигнул Господь Спасителя сынам Израилевым, который спас их, Гофониила, сына Кеноза», или – «воздвигнул им спасителя Аода». Нередки также замечания: такой-то «спас Израиля» (Суд.3:31). «восстал для спасения Израиля» (Суд.10:1). О Самсоне Ангел Господень говорил, что «он начнет спасать Израиля от рук филистимлян» (Суд.13:5).
Несмотря на то, что это понимание имеет много оснований в свою пользу, и оно не может быть признано вполне правильным. Если борьба с иноплеменниками выступает на первый план в деятельности Судей, и некоторые из Судей исключительно являются воинами и полководцами, из этого нельзя еще заключать, что защита и освобождение от врагов было единственной функцией шофета, которой вполне исчерпывается соединяемое с этим наименованием понятие об его деятельности.
Писатель книги с особенным вниманием останавливается на военных подвигах Судей только потому, что военных подвигов требовали обстоятельства этого смутного и беспокойного времени, и некоторые из шофетим заявили себя только на военном поприще; но он этим не ограничивается и понимает задачу их деятельности в более широком смысле, на что указывают и его собственные слова и факты, сообщаемые в книге. В той же 3-й главе, при общей характеристике эпохи, писатель замечает: «и Судей (сыны Израилевы) не слушали, а хо-
–38–
дили блудно в след других богов и поклонялись им»; «как скоро умирал Судья, они опять делали хуже отцов своих»; следовательно, и в мирное время, в делах религиозных личность Судьи пользовалась высоким авторитетом, который служил опорой теократического порядка, – и усилия Судей, по крайней мере некоторых, были направлены не к одной только войне. Например, Деворра получает наименование «Судии» в мирное время, как разбирательница тяжебных дел; некоторые Судьи, как Фола, Иаир, Есевон, Элон, Авдон, по-видимому, никогда и не принимали никакого участия в военных действиях и пользовались авторитетом шофетим, как мирные патриархи многолюдных племен; когда писатель говорит о них, то не упоминает ни о врагах израильтян, ни о победах, одержанных над ними, но указывает, напр., такого рода достопримечательные черты: «у Есевона (гл. 12) было 30 сыновей, и 30 дочерей отпустил он из дома (в замужество); у Авдона было 40 сыновей и 30 внуков, ездивших на 70 молодых ослах».
Из рассмотрения двух приведенных мнений о шофетим выясняется, что в их лице могла совмещаться власть и деятельность и административная, и религиозная, и военная, и в собственном смысле судебная. Отсюда возникло 3-е мнение, что Судьи были правителями израильского народа, и их верховное положение среди колен имело много общего с положением царя, с той разницей, что правительственная власть Судей имела более ограниченный объем, утверждалась не на всеобщем и публичном народном избрании, а на молчаливом соглашении, и не была наследственной в одной династии. Это представление о Судьях, рассматриваемое помимо религиозно-теократического значения Судей израильских, с чисто политической точки зрения, по мнению защитников его, вполне соответствует аналогичным явлениям в истории других народов семитического племени. В Тире и его колонии Карфагене встречаются правители в роде римских консулов с именем суффетов (у И. Флавия δικασταί) – то же, что евр. шофетим. Подобное же учреждение и с тем же названием существовало, по-видимому, и в Ассирии. В надписях царя Саргона встречается несколько раз известное слово сап-
–39–
фити. «Я поставил над всеми этими (покоренными) странами, говорит Саргон, правителей (начальников – сапфити), чтобы они творили суд»1124. Указанные аналогии, если действительно сравнить, напр., карфагенских суффетов с израильскими Судьями, не идут далее сходства имен: существо, объем и отправление власти тех и других не имеют между собой ничего общего; власть суффетов была властью преемственной, постоянной, определенною точными законами и подчиненной строгому государственному контролю. Ничего подобного не находим в евр. шофетим. Еще менее можно сравнивать их с римскими диктаторами, которым временно поручалась почти неограниченная власть в тяжелые для республики времена. (Так делает Блеек1125). Назначение Судьи у Израильтян только раз состоялось по народному избранию: так Иеффаю предложено было начальство над военной силой Галаада старейшинами, а народ поставил его над собою начальником и вождем перед Господом в Массифе.
И вообще понятие шофет, в смысле верховного правителя над всем народом Израильским, или над определенной группой колен, даже над одним каким-либо коленом, не может найти себе должного применения в книге Судей. Многие из Судей не пользовались никаким правительственным авторитетом даже в пределах своего колена, например, Самегар, Самсон. Таким образом, оказывается, что каждое из рассмотренных определений понятия шофетим до некоторой степени имеет за себя и филологические, и исторические основания, каждое заключает в себе большую или меньшую долю истины, но ни одно из них не может быть признано соответствующим историческим фактам эпохи. Между тем все возможные стороны понятия шафат и шофет этими определениями вполне исчерпываются; других значений в языке Св. Писания они не имеют. Шофетим вообще не были ни Судьями в собственном смысле этого слова, ни временными предводителями в войнах за свободу, ни постоянными правителями Израильского народа.
–40–
Это обстоятельство может найти себе объяснение только в том единственном предположении, что писатель книги Судей, принадлежавший к позднейшей эпохе, воспользовался известным современным ему термином шофет и перенес его на древнейший исторический период, чтобы таким образом установить некоторое однообразие в сложных и запутанных явлениях смутного времени еврейской истории, объединить под одним именем всех его разнообразных деятелей и тем отчасти облегчить себе выполнение своей исторической задачи.
Взгляд на Судей, как на теократических общеизраильских деятелей, воздвигаемых Богом в преемственном порядке один за другим, как видно из 1-й и 2-й книги Царств, сложился во времена первых царей, во всяком случае не ранее эпохи Самуила и не без влияния деятельности последнего. Как увидим ниже, именно к этому времени относится написание книги.
b) Состав книги Судей, вопрос об ее происхождении и авторе
Книга Судей в своем настоящем виде имеет следующий состав:
1) 1-я глава и 5 стихов 2-й. Здесь содержится общее обозрение результатов борьбы Израильских колен с народами Ханаана, перечисление городов и владельцев Хананейских, которых не могло взять и победить каждое из колен Израильских, и рассказ об явлении Ангела Иеговы в Бохим с целью обличить незаконный союз Израильтян с остановившимися Хананеями.
2) Центральная и главная часть книги – с 6-го стиха 2-й главы по 16-ю включительно, в которой после общего введения и характеристики эпохи предлагается последовательное повествование о Судиях от Гофониила до Самсона. У LXX после Самсона помещается Емегар, сын Енана, который убил из иноплеменников шестьсот человек, кроме скота. Нужно полагать, что это – одно лицо с Самегаром, сыном Анада, который побил воловьим рожном 600 филистимлян.
3) Гл. 17–18 и 19–21 – два рассказа о событиях из древ-
–41–
нейшего периода Судей: идолослужении Михи и междоусобной войне между коленом Вениаминовым и прочими коленами Израиля.
Берто полагает, что книга Руфь в древнейшее время (Schenkel)1126 также входила в состав книги Судей. Причем ссылается на свидетельства Мелитона Сардийского, Оригена и блж. Иеронима, которые при счете св. книг Ветхого Навета соединяли Судей и Руфь под одним наименованием Шофетим. Но в послании Мелитона к Онисиму, сохранившемся в истории Евсевия, книга Руфь ясно отделяется от книги Судей. Что же касается Оригена и Иеронима, то и они не признавали книги Руфь частью книги Судей и соединяли только под одним номером в счете книг, подобно тому как, напр., это делали с книгой пр. Иеремии, Плачем, посланием его же и книгой пр. Варуха1127.
Первую часть книги (1-я глава и начало 2-й) многие исследователи соединяют с введением во всю книгу, принадлежащую одному и тому же автору, или же указывают два самостоятельных введения. В том и другом случае возникают неизбежные и неустранимые затруднения, в основе которых лежит предположение о единстве книги в целом составе и происхождении ее от одного автора. Рассмотрение содержания и языка 1-й главы и начала 2-й ясно показывает, что эта часть не стоит в тесной связи с целым ни по хронологической последовательности событий, ни по характеру их изложения, и не может быть без натяжки подведена под общий план книги.
Исходным пунктом повествования 1-й главы служит смерть Иисуса Навина и, таким образом, эта глава тесно примыкает к последней главе книги Иисуса Навина. Напротив, во 2-й главе повествование начинается гораздо ранее: «Когда Иисус распустил народ», говорится в 6-м стихе и далее, «и пошли сыны Израилевы каждый в свой дом и в свой удел, чтобы получить в наследие землю»... О смерти и погребении Иисуса Навина упоминается только в 8-м стихе: «и умер (русск. – когда умер) Иисус Навин
–42–
раб Господень, будучи 110 лет, и похоронили его в предел удела его в Фамнаф-Сараи». Перечень непокоренных городов и народов, сообщаемый в 1-й главе, приходится в другой раз в начале 3-й главы. Между тем и другим перечнем можно заметить существенные различия: первый отличается мелкими подробностями и указывает, кого из хананеев не могло изгнать каждое колено; второй ограничивается общим указанием оставшихся из первоначальных обитателей Ханаана; в первом перечне в числе завоеванных городов указаны некоторые из филистимских, именно Газа, Аскалон, Экрон, по LХХ и Азот, но втором пять владельцев филистимских, между которыми были и владельцы названных городов, представляются независимыми от Израильтян. Неполное завоевание Ханаана в 1-й главе объясняется недостатком военной силы у каждого колена и могуществом врагов, в 3-й прямо указываются в этом особые планы Промысла: «вот те народы», говорится в этой главе, «которых оставил Господь, чтобы искушать ими Израильтян, всех, которые не знали о всех войнах ханаанских, для того только, чтобы знали и учились войне последующие роды сынов Израилевых, которые прежде не знали ея». В 4-м стихе указана и другая цель: «они были оставлены, чтобы искушать ими Израильтян и узнать, повинуются ли они заповедям Господним, которые Он заповедал отцам их чрез Моисея». Далее слова ангела, явившегося в Бохим, вторично в кратком и общем виде передаются в конце 2-й главы. История Гофониила с несколько иной окраской сообщается два раза, в 1-й и 3-й главе: ранее он изображается как герой исключительно колена Иудина, а в 3-й главе – как Судья-спаситель всего Израиля, согласно общей идее главной части книги. Еще следует заметить, что между 6 и 7 стихами 2-й главы нельзя установить ни хронологической, ни логической связи. Указанные особенности и различие языка и стиля первой части сравнительно с последующей главной частью приводят к тому убеждению, что 1-я глава и начало 2-й не входили в состав целого в его первоначальном виде и обязаны своим происхождением другому автору. Одинаковое заключение надо распространить и на два эпизода, помещенные в конце книги.
–43–
Оба они по своему содержанию не стоят в связи с предшествующим. По времени описываемых в них событий они должны были бы занимать место ранее 3-й главы книги Судей, потому что первый эпизод относится еще к той древнейшей эпохе, когда колено Даново искало себе удела в Палестине, а второй (междоусобная война колена Вениаминова со всем Израилем) может быть отнесен ко времени еще более раннему, потому что по LXX первосвященник Финеес, сын Элеазара, был еще жив, и у Израильтян происходили еще всенародные собрания колен перед Господом в Массифу (Суд.20:1). Поэтому на оба прибавления можно смотреть так же, как на книгу Руфь, и если они не отделены от книги Судей и не составили особых и самостоятельных книг, то только потому, что этому препятствовал их незначительный объем. Общая идея, которая высказывается в этих прибавлениях, не одна и та же, что в главной части книги. В них неоднократно и настойчиво повторяется мысль, что в то время не было царя в Израиле, каждый делал, что хотел, что ему казалось справедливым. Между тем писатель главной части книги в Судьях указывает законную и Богом учрежденную власть, влияние которой должно было простираться на все колена Израилевы.
Если отделить первую часть книги и последнюю, то остаются 13 с небольшим глав, которые представляют собой одно неразрывное целое, расположенное по строго определенному плану, проникнутое одной общей идеей и потому принадлежащее во всем своем объеме одному и тому же автору. Этими тринадцатью главами и ограничивается первоначальный древнейший объем книги Судей.
Таким образом, при решении вопроса о происхождении книги необходимо рассматривать отдельно: происхождение ее главной части, в собственном и строгом смысле книги Судей, и происхождение прибавлений к ней в начале и конце.
Что касается прибавлений, то, само собой разумеется, не может быть и речи об именах их авторов; возможно только приблизительно указать, к какому времени и месту нужно приурочить их происхождение.
Первое прибавление, в начале книги, дает опреде-
–44–
ленное хронологическое указание только лишь на время, позже которого не могло быть оно написано. Во 2-м стихе 1-й главы (Суд.1:2) сказано, что «Иевусеев, которые жили в Иерусалиме, не изгнали сыны Вениаминовы, и живут Иевусеи с сынами Вениаминовыми в Иерусалиме до сего дня». Эти слова показывают, что автор 1-й главы жил ранее 7-го года царствования Давида, когда Иерусалим был отнят у Иевусеев. Затем, так как писатель останавливается с особенным вниманием на подвигах Иуды и посвящает им более половины всего повествования, то позволительно думать, что он происходил из обитателей Южной Палестины, и принадлежал или к колену Иудину, или к колену Симеонову, которое участвовало почти во всех военных предприятиях первого. Когда именно появилось это прибавление к книге, с точностью определить невозможно. Некоторые из современных ученых высказывают в виде не лишенного вероятности предположения, что 1-я глава Судей и начало 2-й первоначально составляли заключение к книге Иисуса Навина и отделены от нее только в позднейшее время1128.
Прибавления в конце книги, несомненно, по всем признакам относятся к началу эпохи царей. Их автор пишет, с одной стороны, под живым и свежим впечатлением неурядиц и смут эпохи Судей, и благодетельных последствий царского управления, с другой. Отсюда неоднократное повторение выражений: «в те дни не было царя у Израиля» (в гл. 18, 19, 21), «каждый делал то, что ему казалось справедливым» (гл. 21). В современную писателю эпоху в Силоме уже не было скинии: в конце 18-й главы он замечает: «сыны Дана имели у себя истуканов, сделанных Михою, во все то время, когда дом Божий находился в Силоме». Следовательно, он жил в конце царствования Саула и в начале царствования Давида. Некоторые на основании 30-го стиха той же главы относят происхождение прибавлений к после-пленной эпохе; здесь сказано, что Ионафан и сыновья его были священниками в колене Дановом до дня переселения земли. Указание на
–45–
позднейшее время опровергается последующим замечанием: «пока дом Божий находился в Силоме»; и лучшие критики текста вместо «до дня переселения (или удаления) земли» читают: «до дня удаления или перенесения ковчега» (арон. вм. эрец. האר – вм. הארצ). Таким образом, эти прибавления написаны в начале царствования Давида.
Главная часть книги Судей (с 6-го стиха 2-й главы по 16-ю включительно) относительно времени своего происхождения не дает прямых и положительных данных. Этот недостаток вознаграждается косвенными данными.
Так как повествование книги доведено до смерти Самсона, и история последних Судей – Илии и Самуила с детьми – в книгу не вошла, то отсюда ясно, что ранее смерти Самсона она появиться не могла. Отсутствие каких бы то ни было указаний на эпоху царей показывает, что она написана не позже времени Самуила. В 15-й главе книги есть замечание, которое позволяет свести период возможного появления книги к более тесным границам, именно: в Суд.15:20 сказано: «и был Самсон Судьею Израиля во дни филистимлян 20 лет». Очевидно, что «дни филистимлян»; т. е. время порабощения ими Израильтян, когда были писаны эти слова, уже прошли, и Израильтяне освободились от филистимского ига. По 1-й книге Царств дело освобождения совершается при Самуиле, и он принимает в нем непосредственное участие, как пророк Божий: «после поражения филистимлян между Массифою и Сеном», говорится в конце 7-й главы, «усмирены были филистимляне и не стали более входить в пределы Израилевы; возвращены были Израилю города, которые взяли филистимляне у Израиля, и пределы их освободил Израиль из рук филистимлян». Следовательно, книга написана была при жизни Самуила, до воцарения Саула.
Иудейское предание, сохранившееся в трактате Baba bathra, о котором мы ранее неоднократно упоминали, приписывает книгу самому Самуилу1129. Против принадлежности ее этому великому пророку нельзя привести ни одного веского
–46–
доказательства, в пользу ее говорит многое. Во-первых, историческое повествование книги прерывается как раз на том пункте, на котором и должен был прервать его Самуил, если он был автором книги: для другого лица не было никаких препятствий продолжить и закончить историю Судей описанием деятельности Илии и Самуила; напротив, повествование в этом случае приобрело бы должную полноту и законченность, включив в свои рамки целую эпоху. Во-вторых, книга проникнута теми же самыми религиозно-теократическими воззрениями, представителем и проповедником которых был пророк Самуил в течение своей продолжительной деятельности. Рассмотрим этот пункт с некоторой подробностью.
К концу жизни Самуила в народе Израильском, под влиянием обстоятельств времени и примера соседних иноплеменных народов, окончательно созрела идея постоянной и наследственной царской власти и нашла себе решительное выражение в требовании старейшин у Самуила поставить им царя. Желания иметь царя со стороны народа, кроме косвенного протеста лично против Самуила и его сыновей, заключало в себе нарушение чисто-теократического принципа, согласно которому Иегова был единым и действительным Владыкой Израиля, а народ Израильский должен был возлагать всю надежду не на политическую силу, но на помощь Иеговы, который всегда, невидима бодрствуя над Израилем, в определенные моменты, когда настояла нужда, воздвигал для удовлетворения народных нужд нарочитых, исполненных духом Божьим, избранников. Каждый из них исполнял свою особенную временную миссию, предназначенную ему Божественным избранием, и авторитет его, как посланника Иеговы, не выходил за пределы этой миссии. При такой форме правления Израиль не должен был знать другой власти кроме власти Иеговы, другого служения кроме служения Иегове, которым обусловливалась прочность теократического устройства, «Вы сказали», говорил Самуил старейшинам, «царь пусть царствует над нами, тогда как Господь, Бог ваш – Царь ваш» (Суд.12:12). «Я вывел (вас) из Египта», говорит он в другом месте от лица Иеговы, «избавил вас от руки всех царств, угнетавших вас. А вы теперь отвергли Бога ва-
–47–
шего, Который спасает вас от бедствий ваших и скорбей ваших и сказали: царя поставь над нами» (Суд.10:18–19).
Взгляд на эпоху Судей Самуил высказывает в 12-й главе. Поселившись в земле Обетованной, сыны Израилевы «забыли Господа Бога своего, и Он предал их в руки Сисары, военачальника Асорского, и в руки филистимлян и в руки царя Моавитского, которые воевали против них. Но когда они возопили к Господу и сказали: «согрешили мы, ибо оставили Господа и стали служить Ваалам и Астартам; теперь избавь нас от руки врагов наших, и мы будем служить Тебе; тогда Господь послал Иероваала и и Варака и Иеффая (и Самуила, как добавлено кем-то) и избавил вас от руки врагов ваших, окружавших вас, и вы жили безопасно» (Суд.12:9–11).
В книге Судей идея единовластия Иеговы над Израилем высказывается Гедеоном, который на предложение Израильтян: «владей нами ты и сын твой, и сын сына твоего» (Суд.8:22) – отвечает: «ни я не буду владеть вами, ни мой сын не будет владеть вами: Господь да владеет вами» (Суд.8:23). Общий характер эпохи Судей, прагматическая связь между событиями ее, историческое значение личности Судей во 2-й главе и многих других местах книги изображаются в одинаковых чертах, даже почти одинаковыми словами сравнительно с речью Самуила. Понятие шофета, объединяющее под собой всех деятелей древнейшего периода израильской истории, вполне соответствует задаче шофетим в том виде, в каком ее Самуил понимал и выполнял в действительности.
Во всяком случае, если по этим соображениями мы и не признали бы писателем книги Самуила, то должны были бы приписать происхождение книги его современнику, пророку, воспитывавшемуся под его влиянием и проникнутому одними и теми же религиозными и политическими убеждениями, так сказать – alter ego Самуила, от чего сущность дела нисколько не изменялась бы.
с) Источники книги Судей
Книга Судей обнимает собой период времени, продолжительность которого от Иисуса Навина до Самуила опре-
–48–
деляется 3-мя, 4-мя и более веками. Поэтому естественно возникает вопрос, по каким источникам писатель составил свою книгу? Особенности формы, стиля и языка легко дают возможность разложить все содержание книги на те первоначальные элементы, которые соединяются в одно целое. В числе их нужно отметить, во-первых, вдохновенную поэтическую песнь Деворры в 5-й главе, которая по своему оригинальному характеру и архаическим особенностям признается всеми за подлинное произведение пророчицы; во-вторых, историю Гедеона и Авимелеха (6–9 гл.), в которой сохранились многие отличительные черты народного говора средней и северной Палестины (напр., употребление в прозе сокращенного относительного местоимения ше вместо ашер, которое впоследствии удержалось в так называемом арамейском наречии и получило широкое распространение в позднейшей свящ. литературе); в третьих – историю Иеффая и, в четвертых, – историю Самсона. В последней, напр., характерна обычная формула для обозначения воздействия Духа Божия; «и сошел на него Дух Иеговы» (ранее «Дух Иеговы объял его»).
К указанным составным частям книги, более крупным по объему, примыкают другие, менее значительные, которые занимают место то между, то в середине главных, напр., притча Иофама в истории Авимелеха, повествование о прочих Судьях; может быть, сюда же следует отнести 16-ю главу, где говорится о пребывании Самсона в плену у филистимлян и смерти его: эта глава присоединяется к 20-му стиху предшествующей; «и был (Самсон) Судьею Израиля во дни филистимлян 20 лет». Те же слова повторяются в виде заключения в 31-м стихе.
Этот разнообразный материал, почерпнутый или из древнейших письменных памятников, или, что вероятнее, из устного народного предания, писатель включил в свою книгу почти в его неприкосновенном первоначальном виде: он ограничился лишь тем, что привел его в хронологический порядок, снабдил должным введением, где высказаны его общие воззрения на всю эпоху, и дал собственное освещения фактам, указав в последовательности их определенный исторический закон.
Общий религиозно-исторический взгляд автора, высказан-
(Продолжение следует)
Феодор (Бухарев), архим. Исследования Апокалипсиса // Богословский вестник 1916. Т. 2. № 6. с. 641–649 (5-я пагин.). Окончание.
–641–
нас тогда открыться, надобно нам еще в настоящей жизни прочно усвоить себе ту благодать, которая откроется тогда в нашу славу. Благодать и истина Христовы уже дарованы нам во всей их чистоте, как христианам православным; но мы и должны содержать эту истину и благодать в том именно их направлении, по которому как Сам Христос, открывший для нас в Себе полноту истины и благодати, сходил с неба на землю, так и духовный град Его благодати и истины – Новый Иерусалим – виден был тоже нисходящим с небесе. Итак, православный христианин, хочешь ли побеждать злое, погибельное, лживое и так. обр. достигать будущего всеобъемлющего наследия? Будь верен тому именно духу Христовой любви, по которой Он нисходил к нам на землю, принял нашу человеческую плоть, жил и умер на земле, – Сам всегда сый в лоне Отца Своего Небесного. Зло мирское, греховность плотскую отвергай до смерти; но Божий мир, как состав созданий Божиих, и особенно людей, обложенных немощами плоти, щади и люби тоже до смерти. Во все среды, где есть человек, труждающийся и обремененный внешним или духовным образом, всеусильно – сколько возможно для твоего положения, для твоей веры, – старайся проводить и распространять свет Христовой истины и благодати. Во всех областях общественной или частной жизни, как бы иная ни представлялась отдаленною от Христа, отыскивай по мере твоих дарований и усердия место для духа Господней любви, немощная врачующей, оскудевающая восполняющей, взыскующей и спасающей потерянное и погибшее. Надо заранее привлекать с небесе на землю дух и силу Нового Иерусалима. Если бы Господь наш воззрел только на наши неверности пред Ним, если бы Он не сошел к нам в наш, лежащий во зле, мир: ведь нельзя было бы никому и ничему спастись. Надо же нам хотя сколько-нибудь перенимать Его человеколюбие; а оно таково, что Господь, как находим в сказаниях о святых, при осуждении человека даже строгими подвижниками добродетелей – изъявлял готовность снова видимо сойти на землю и страдать за человека. Побеждая именно по духу Христа, нисшедшего в мир наш с Своей истиною и благодатью, по образу нового Иерусалима, тоже
–642–
нисходящего с небесе, – только этот побеждаяй наследит вся: и буду ему, говорит Сидящий на всевышнем престоле, буду ему Бог, и той будет Мне в сына. Иначе, видно, и ревнуя по Богу, можно быть только рабом – жестким, немилосердным, и потому отчужденным от Бога. Да! и ревнуя по небесному и духовному с забвением того, что Сын Божий привял вместе с человеческою душей и плоть человеческую: и таким образом открыл и в телесном, вещественном и земном место Духу Своей благодати, – ревнуя о духовном с небрежением о том, чтобы и вся область вещественного осенялась христовою благодатью, – с осуждением материального за подвержение его греховности вместо усилий спасать его от этой растлевающей греховности, – ревнуя таким образом по Божественному и духовному, можно подвергнуться искушению от того лживого духа, иже не исповедует Иисуса Христа во плоти пришедша. А это – дух самого льстивого и гибельного заблуждения, – заблуждения самых последних времен: сей есть, говорить глубочайший Богослов и след. самый тонкий и непогрешимый различитель духовных направлений, сей есть дух антихристов, егоже слышасте, яко грядет (1Ин.4:1–3). Надобно испытывать дух и силу не только открыто неблагочестивых направлений, но и направлений самого благочестия, чтобы, вместо победы над ложью и получения всеобъемлющего Христова наследия, не быть низложенным от самого опасного и лживого духа там, где менее всего видим опасности. Для победы, вводящей в наследие Христово, искушайте духи, говорит св. Иоанн Богослов, аще от Бога суть, о сем познавайте Духа Божия и духа лестча: всяк дух, иже исповедует Иисуса Христа, во плоти пришедша, и потому движется Христовым человеколюбием к очищению самого материального и земного от греховных скверн, – от Бога есть... Матерь Божия да сохранит нас от противоположного духовного направления, враждебного духу и силе воплощения от Нее Единосущного Божия Сына! Ибо только побеждаяй все, противное Христову человеколюбию, наследит вся во Христе.
Но продолжим раскрытие той же истины и из других знаменательных особенностей видения Нового Иерусалима.
Тайнозритель видел, во-вторых, что новый святой град
–643–
имеет стену с двенадцатью основаниями, на которых начертаны имена двенадцати Апостолов Агнчих, и с двенадцатью вратами, на которых также начертаны имена двенадцати колен сынов Израилевых (ст. 12 и 14). Чрез Апостолов Агнчих раскрыты миру Христова истина и благодать в Новом Завете; двенадцати коленам сынов Израилевых принадлежал Ветхий Завет, предъявлявший ту же Христову благодать и истину более или менее в образах, взимаемых из среды патриархально-семейной, народной и гражданской жизни Израиля. Если сообразить это с указанным видом Нового Иерусалима, то, ведь, выходит, что все таинственное построение Нового Иерусалима утверждено на основании Христовой истины и благодати, как они в Новом Завете открыты нам Христом, чрез св. Его Апостолов, – но что вратами для входа в спасительный град должны служить и семейная, и народная, и гражданская жизнь, как именно это самое назнаменовано было в Ветхом Завете, по отношению к двенадцати коленам сынов Израилевых, и в самом деле, в Ветхом Завете, супружество, дети в семейной жизни Патриархов давали им предзревать или предощущать Божественного их Потомка Христа и союз Его с Церковью: в Новом Завете Божественный союз Христа и Церкви благодатно отображен в каждом супружестве, и всяко отчество – корень всякого родства – именуется по Отцу Господа Нашего Иисуса Христа (Еф.3:14–15). Посему связанным теми или другими узами родства не должно ли, не удобно ли вести взаимные друг к другу отношения, как родным не просто по плоти, но по самому всемилостивому во Христе Отцу нашему Небесному? Иначе чем же наше христианское родство отличалось бы от родства между неверными, язычниками или магометанами? – В Ветхом Завете народ избранный с своим гражданством и землей обетованною удерживал духовное значение, как Божий народ, как держава и земля тоже Божия: в Новом Завете Сам Бог Слово во плоти жил и смерть плотью принял под условиями народной и гражданской жизни на земле, и это для всех народов и царств на все времена, для приведения всех их к Своему Небесному Отцу. Посему в каждом христианском сословии, в каждой службе или работе не
–644–
удобно ли, не просто ли, служить или работать в своей душе, собственно, Тому, Кому принадлежит всякая власть и держава? Чем же другим православная народность или гражданство будут преимуществовать пред неведущими Христа? И мудрено ли, напр., куплю деющим распоряжаться теми или другими предметами торговли, как несомненно Божией собственностью – к удовлетворению потребностей Божиих же людей? Так всеми приятностями и благами жизни нам можно и должно пользоваться не иначе как дарами Отца Небесного, дающего нам вся обильно в наслаждение (1Тим.6:17). В природе, в человечестве, во всем видимом и земном можно и должно выводить на свет знания и употребления все сокровища, как именно безмерные сокровища любви Отца Небесного, Единосущным Сыном Его нам открытой. Видите, как все в нашей земной жизни, домашней и общественной, ученой и рабочей, можно и должно относить ко вратам, вводящим в Новый Иерусалим; и даже мы сами, в какой бы ни было земной нашей доле, можем и должны трудиться благодатью Христовою над назиданием этого Нового Иерусалима, который и откроется некогда для нас в славу и блаженство. Так именно другой Тайновидец Пророк Иезекииль созерцал, что весь Божий народ должен участвовать в созидании духовного Святого Града (Иез.48:19). Само собою разумеется, что при этом немощи немощных должны носить более сильные, – и в особенности людей мирских, как склонных к мирскому, должны с самоотвержением любви поддерживать или терпеливо настраивать в направлении искать во всем Христова – люди духовные или более склонные к духовному. В руководство к тому, как и в земном, относящемся к общественной или частной жизни, или в области природы служить можно Божией благодати, и как истинно духовному служению, направлению и совершенству свойственно всячески тому содействовать, – укажем на близкий и священный для Православных Русских пример.
Преподобный Отец наш Сергий Радонежский, в годину преобладания над Россией Татар, не только принимал живо к Богоносному своему сердцу нашествие Мамая, словом и молитвою одушевляя на брань великого князя
–645–
Дмитрия Донского; но еще из своего иноческого лика послал двоих Христовых воинов в ряды великокняжеского войска. Что это делал Преподобный? Не возвращал ли уж в мирскую жизнь оставивших мир? Нет, – Богомудрый наш Отец видел, что воинство Православной Русской державы, – разумеющее верою, кому существенно принадлежит царство и сила и слава, – служит тоже духом своим Господу Богу; иначе оно не имело бы благодатного преимущества пред самим тогдашним неприятелем – татарскими полчищами. Потому, для самой победы над последними, Преподобный находил нужным поставить православных воинов в твердое положение воинов, в существе дела, также Христовых, к сонму которых принадлежат именно иноки, и вот так. обр. св. старец нашел и для иноков свое место в рядах войска. – Еще ранее, когда Преподобный только еще возгорелся духовным желанием иноческой жизни, – он отложил на время внешнее исполнение своего намерения ради послужения старости своих родителей. Говорим: отложил только внешнее исполнение, – ибо родители Сергия (тогда еще Варфоломея) требовали от него такого послужения – во имя не плотских своих прав, а его же стремления служить Господу без развлечения. Они представляли своему сыну, что оженившимся его братьям уже не до успокоения старости родителей. «Хорошо – говорили ему они, что ты печешься о Господних, како угодити Господу». Итак, Преподобный оставался на время в мире для успокоения своих родителей, служа и угождая и в домашнем быту собственно Господу. Мало этого, благодать Божия назнаменовала Сергия избранным сосудом к проявлению своих животворных влияний в области человеческой природы – даже еще вне ее возрождения христианского; – разумеется ради веры и благочестия его родителей! Известно, как он еще во чреве благоговейной матери своей, чудесно в слух предстоящих провозглашал свое сочувствие к церковному прославлению Пресвятой Троицы во время литургии; подобно как взыграся радощами св. Иоанн Предтеча еще во утробе праведной своей матери, при свидании ее с чревоносившей Господа Пресвятою Девою. Так благочестно и вере дано в христианстве побеждать все, что человеческую земную жизнь –
–646–
общественную, домашнюю и просто-физическую – оставляло бы естественному греховному растлению! Побеждаяй наследит вся!
Видение Нового Иерусалима показывает, в-третьих, что сами св. Ангелы поставлены стражами и охранителями святого града, находясь на тех самых его вратах, на которых начертаны имена двенадцати колен сынов Израилевых (ст. 12), – вратах Богоправимой семейной, народной, гражданской жизни Божия народа. Итак и духовность самих св. Ангелов не находит неприличным для себя служить тому, чтобы духовное, христово раскрывалось во всем земном, в чем ни живет человек. Что и говорить об этом, когда св. Ангелы и в простой детской невинности и чистоте видят собственно небесное отображение, содержащего в себе всю правду нашу Сына Божия, в Котором и созерцают лице Отца Небесного. Дадут ли посему св. Ангелы Божии пренебрегать или оскорблять человечество даже на степени его детства (см. Мф.18:10)? Кроме сего, Тайнозритель видел, и нарочито заметил, что Иерусалим грядущей славы был измерен от Ангела – именно человеческою мерою (ст. 17). Это что значит? Ведь слава вечной жизни будет общая у св. Ангелов со св. человеками: зачем Ангел употребляет меру человеческую, а не свою Ангельскую, для размерения града славы? Для того ли только, чтобы измерение его было доступно Тайновидцу-человеку? Но таинственное измерение с точным численным обозначением меры, для полного раскрытия и разумения своего требует ума тоже выше простого человеческого. Нет, – дело в том, что свет и жизнь и для святых Ангелов – в одном Боге Слове, как и для людей (Ин.1:4): а Бог-Слово соделался именно человеком для раскрытия в мире всей полноты Своей благодати и истины, любви к созданиям и славы Божественной. Потому мера раскрытия благодати и славы Божией, – мера этого вечного Божия града, – и для самих Ангелов не иная, как человеческая: мера снисхождения Бога Слова до восприятия человеческого естества в единстве Своего лица, мера возвышения человечества в лице Христовом до престола Божества. Подумаем же, потерпят ли, допустят ли св. Ангелы, определяющие вечный
–647–
град и собственной славы и блаженства мерою человеческою, – потерпят ли подавление какой либо стороны человеческого – кроме лжи и греха, составляющих уже извращение человечества? С другой стороны, не весь ли сонм небесных сил готов споборать вместе с Ангелоподобными Божиими человеками, освещению всего человеческого Христовым светом, – только бы мы сами приступили к этому делу, столь вожделенному и нужному для всего мира? Побеждаяй истиной наследит вся.
Наконец, в-четвертых, весьма важно и знаменательно, что в Новом Иерусалиме, кроме охраняющих врата его Ангелов, кроме одних имен Апостолов и колен Израильских, – Тайновидец не видел собственно обитателей ни из святых человеков, ни из святых Ангелов. Он видел в нем только живой Божественный светильник – Агнца и осиявающую святой град славу Господа Бога Вседержителя (22 и 23 ст.); все же прочее представляло: или некоторые принадлежности Эдема, напр., древо жизни (22:1–2), или одно блистающее золото и драгоценные каменья (ст. 18–21). – Что это значит? Видно, и всякая личность отдельно и все вообще, кто ни удостоится войти в новый Иерусалим, будут заняты только славою Вседержителя Бога, и одушевлены раскрывшеюся во все времена и для всех любовью Агнца Божия, понесшего на себе грехи мира, – заняты и одушевлены в такой полноте и силе, что созерцателю и видеть иного живого нельзя, кроме Божия Агнца Христа и Славы Вседержителя во всех. Все в прославленных святых будет златом и драгоценностями Богоподобных совершенств, и для них будет как райская река и древо жизни блаженной, – то и другое также и единственно от полноты любви Агнца Божия и славы Господа Бога Вседержителя... Труждающийся и обремененный человек! поспешай на всех своих путях ко Господу, призывающему тебя ко успокоению в Нем Самом; помни, что, когда будет новое небо и новая земля, во граде спасения и славы не будет уже места ничему человеческому, отчужденному от Бога и от Агнца Божия (ст. 27). Православный ревнующий по Богу и благочестию! входи именно в дух человеколюбия Агнца Божия, понесшего на себе вины человеческие, – и всюду, где тебя поставила Божия
–648–
судьба, любовью христовою, на себе вымещающей и выносящей недостатки и вины чужие, отыскивай золото и драгоценности для нового Иерусалима, чтобы исполнилось и на тебе вместе с другими истинными чадами и поборниками Православия – это откровение о новом Иерусалиме: и принесут славу и честь языков в него (ст. 26). Помни, что и самая ревность благочестия, чуждая расположения и движений любви Агнца Божия к человеку, не найдет места в том возлюбленном граде, который назван у Тайновидца невестою, – женою Агнца (ст. 9) и в котором, потому, все – свет и красота от славы и любви Божией, открытой в Агнце Божием. Побеждали только в духе Агнца Божия, победившего зло мирское, чрез понесение его на Себе Самом до крестной смерти, – вот именно кто наследит вся. Ибо что враждебное может устоять пред Агнчей любовью, вземлющей на себя бремя всякой мирской греховной враждебности? Вот, в ряду видений и откровений Иоанна Богослова о судьбах Церкви и мира известно одно едва ли не самое плачевное и примрачное: это – видение Вавилона великого (17 гл.), держащего, видно, и нового Израиля в духовном плену чуждых Христову духу начал умственной и практической жизни. Тайнозритель до тонкости и подробностей вникает во все, зверски-враждебное Церкви и человеку под этим духовно-вавилонским преобладанием; от чего еще мрачнее становится скорбное откровение. Где же выход из такого мрака? Вот где: сии со Агнцем брань сотворят, так сказано о представителях зверской Боговраждебности, и Агнец победит я, яко Господь господем есть и Царь царем (17:14).
О если бы только был жив и действовал в нас дух Агнца Божия, дух любви Его к человекам!
Матерь Божия, ныне рождшаяся на радость всему миру, родившая нам Христа Бога – Агнца Божия, Сама своей благодатью оживи или возбуди, обнови и матерински сохрани и возрасти во всех нас истинный дух Твоего Сына, дух человеколюбия Агнца Божия, – к достойному нового Иерусалима благу и славе Православного русского царства с Его царем и наследником. Ей, гряди, Господи Иисусе (22:20).
–649–
Вообще значение Апокалипсических видений о судьбах Церкви и мира, как мы видели, таково: эти судьбы, чрез весь ряд свой, таинственно раскрывают дух и силу любви Отца Небесного, почивающей всей полнотой своей в Единородном Его Сыне Господе Иисусе Христе, и только по Его благодати простирающейся как вообще на все создания, так и в особенности на человечество – силою и действием Единосущного Отцу и Сыну Святого Духа, – любви Отчей, отвращающейся от всех чуждых Единородному и Его Духу, что и составляет основание и силу всех Апокалипсических язв, – и имеющей своей областью во все времена единую Вселенскую Православную Церковь – этот Апокалипсический град святой. Вся глубина такого значения судеб мира и Церкви откроется уже с концом сего мира, когда раскроется книга жизни, когда явится в вечной зрелости плод спасенного уже человечества, имеющего тогда быть возведенным уже в небесный Эдем (Ап. 22:1–2 сл. 21–2). По такому значению откровения о судьбах мира и Церкви понятно, что прибавить или убавить что к сему откровению, ослабить значение открываемых судеб, или допустить излишество в этом отношении – значит, очевидно, уже посягать на закрытие или перетолкование самой оной любви Божией, бесконечно чуждой и отвращающейся всего злого или не христианского, и так. обр. неминуемо навлекать на себя апокалипсические язвы или лишение назнаменованных в Апокалипсисе благ истины, благодати и славы (22:18–19).
Благодать Господа нашего Иисуса Христа, так заключает Апокалипсис, со всеми вами. Аминь.
* * *
Примечания
Продолжение речи, начатой на стр. 46, пр. 3: ...отрешенно τὴν σχέσιν с обособл. членом отсылает к употреблению этого слова в предшествующей речи («привязанность к плоти и миру» [стр. 48, пр. 4]); также в τὴν φύσιν (пр. 7). Φύσις в конкретном смысле означает у пр. Максима всё, подлежащее происхождению и тлению (Ер. 9, PG. 91, 448 D), т. е. видимый тленный мир.
Должной красотой λόγος’а (слова-разума) является, как сказано в начале Предисловия к схолиям, разумение.
Читаем τὴν ἐν τοῖς νοήμασι вместо τῶν ἐν τ. ν.
Enthymema – сентенция вообще, краткая остроумная фраза; в логике – сокращённый силлогизм (например, все люди смертны, следовательно, я смертен). Древняя риторика знала два общих (помимо частных – ad hominem) вида убеждения: пример и ἐνϑύμημα (Aristoteles graece. Ed. Bekker. Berolini 1831, v. II, 1393 a 23–24; Rhetorica II, 20; у Аристотеля, между прочим, приводится такой пример энтимемы, или сокращённого силлогизма: «Нет мужа, который бы тут был свободен; он или сребра раб, или судьбы»). Ἐπενϑυμησις в техническом смысле – добавочная энтимема. Впрочем, у преп. Максима (Ad Marinum, FG. 91, 21 A) ἐνϑύμησις употребляется и в более широком смысле: означает вообще мысль, упрочившуюся в сознании, т. е., очевидно, такую мысль, для которой вообще нашлись какие-либо основания; применительно к этому смыслу понимаем ἐπενϑύμησις и мы.
Эти схолии (примечания) относятся к Предисловию к Фалассию (стр. 14–44). №№ схолий обозначены цифрами в соответствующих местах в тексте Предисловия. Они относятся к тому слову, перед которым стоит цифра.
Т. е. автор (пр. Максим).
Лучше было бы вместо δεκτικήν читать δεικτικήν (проявлять). Но в тексте, к которому относится схолия (245 А), находим тот же глагол, δεχομένην.
3-я схолия вошла в состав Сар. quing. I, 48.
Ὅτι обыкновенно начинает собой схолию, заключающую простой пересказ текста толкуемого сочинения. Цель её – выделить из всего текста одну важную в каком-либо отношении мысль (см. сх. 5).
Сар. quing. I, 52 (Добротолюбие; Умозр. и деят. гл., 103, т. III, 254).
(Καϑ’) ἕξιν стоит, очевидно, вместо более употребительного μέϑεξιν (Quaest. ad Thal. VI, 281 A; XI, 292 A; XXII, schol. 7, 324 C; cp. VI, 280 D; Oral. Dom. expositio, PG. 90, 905 D; Cap. theol. II, 88 и др.).
Схолиаст, очевидно, отождествляет λόγοί (сх. 2) с сущностями бытия (ср. Quaest. ad Thai. II, 272 А).
Cp. Ambiqua, PG. 91, 1169 CD; см. выше стр. 41., прим. 3.
Ambigua, PG. 91, 1193 D.
Читаем τῷ (вместо τὸ) κινεῖσϑαι.
Эта схолия составляет Cap. quing. I, 54 (Добротолюбие; Умозр. и дeят. гл., 105; т. III2, 255). Отсюда заимствованы и добавления к тексту, заключённые в скобки.
Bibliothecae cod. CXCII. Данному отзыву у Фотия предшествует перечень вопросов Quaest. ad Thalassium.
Σχοινοτενής – натянуть, как верёвка; перетянуть верёвкой.
Так называются обороты, в которых собственные выражения заменяются переносными, изобразительными (например, холодный вместо бесчувственный).
Эти слова составляют заключение Предисловия к Фалассию (см. стр. 44) и переход к Вопросоответам. Речь касается аскетической части вопросов Фалассия.
Св. Григорий Нисский, Об устроении человека, гл. 18, PG. 44, 192 АВ; русск. пер. I, 149; О девстве, гл. 12, PG. 46, 369 В; русск. пер. VII, 342; толк. на II. Песней XII, PG. 44, 1021 D, русск. пер. III, 303: в особ.: О душе и воскресении, PG. 46, 53 А. 57 В – С; русск. пер. IV, 234. 239.
Т. е. к телу и чувствам (Ambigua, PG. 91, 1104 А – В; Prol. ad Thal. 260 В; Quaest. ad Thal. LVIII, schol. 21, PG. 90, 601 D). У преп. Максима, между прочим, чувства называются ἄλογος αἴσησις (Qu. ad Thal. XXXIII, 376 A). Cp. ещё о неразумной части души (XLI1I, 412 С; и выше стр. 15, прим. 1). Св. Григорий Н. (цит. места) под неразумной (бессловесной) частью человеческого естества разумеет нынешний грубый состав человеческой плоти, усвоенный человеку вместе со скотским образом рождения в саду грехопадения, и приразившиеся к нему раздражительную и пожелательную (похотную) силы души.
Образ Божий в человеке – в разуме.
Под признаками скотской жизни в данном месте, по мысли преп. Максима, нужно разуметь вообще страсти удовольствия и страдания. От них страдает раздираемое и делимое ими на части человечество (см. выше Предисл. к Фал. 256 В; русск. пер. стр. 35–36). Большей частью, как основные и исходные признаки ветхого человека, отмечаются у пр. Максима рождение (связанное с удовольствием) и тление (связанное со страданием); Quaest. ad Thal. LXI, 633 A; Oral. Dom. expositio, PG. 90, 889 D, cp. Ambigua, PG. 91, 1121 B; Ep. 9, ibid. 448 D. Co всяким удовольствием в наказание связано правдой Божией страдание (Quaest. ad Thal. LXI, 628 А). Все люди, как причастные удовольствию от рождения, подвержены страданию и тлению. Можно, поэтому, по справедливости сказать, что человечество страждет от этих двух признаков неразумия – рождения и тления и связанных с ними и зависящих от них страстей.
Этот отрывок составляет Сар. quing. I, 65 (Добротолюбие: Умозр. и деят. гл., 115, т. III2, 258). Это место цитует Михаил Глика (пол. XII в.) в Annal. I, PG. 158. 221 А. 193 D; в изд. С. Евстратиада (1906) г., Εἰς τὰς ἀπορῖας τῆς ϑείας Γραφῆς κιφ. δ´, ι´. I, 4611.
Спудей (студент) – техническое название для питомцев высшей школы. Σπουϑαῖον’ы были при св. Софии, при иерус. патриархе. Это, по-видимому, было что-то вроде училищных монастырей. Спудеи известны своими заботами о богослужении (см. об этом у проф. М.Н. Скабаллановича, Толковый Типикон, т. I, 260). Из словоупотребления преп. Максима (ср. ещё LIV, 541 А; Сар. de charitate I, 71) видно, что спудеями называли также и простых монахов и вообще ревнителей благочестия.
Сар. de charitate III, 3: Quaest. ad Thal. LIV, 548 D. Cp. у св. Григория Нисск., Об устроении человека, гл. 18, PG. 44, 193 В; русск. пер. I, 152.
Читаем так согласно с Сар. quing. I, 66, вместо ϑελητικῆς изд. Комбефи.
Читаем ἢ μελετωμένην, как Сар. quing. I. 66, вместо ἠμελειωμένην Комбефи.
Этот отрывок образует Сар. quing. I, 66 (Добротолюбие Умозр. и деят. гл., 116, т. III2, 258).
Термин Дионисия Ареопагита: Dе divinis nominibus II, 5, РС 3, 611 D.
Пример см. в Ambigua, PG. 91, 1088 D.
Пр. Максим, очевидно, держатся взгляда св. Григория Нисск. (О шестидневе, PG. 44, 77 D; русск. пер. I, 12), что «причинам и силам всех существ вдруг и в одно мгновение Бог положил основание» (в потенции создал мир мгновенно), после чего в известном порядке стали появляться отдельные виды бытия.
Λόγοι – основоначала, идеи (см. выше, стр. 17, пр. 3). «Первые» идеи, это – самые общие родовые идеи (Quaest, ad Thal. III, 276 A и schol., стр. 64.); Божественный Логос, как средоточие и источник всех логосов (идей), как самый общий Логос, обычно называется Первым Логосом (Mystagogia V, PG. 91, 681 В; Quaest, ad Thal. XXV, 336 А). В данном месте, соответственно с вопросом Фалассия, под первыми идеями нужно разуметь общие видовые идеи, формирующее принципы отдельных видов бытия.
Если λόγος есть формирующее начало вида, то οὐσία представляет собой материю, так сказать, бесформенное вещество, которому λόγος и придаёт вид (εἶδος) или форму, тип. Так мы представляем у преп. Максима соотношение λόγος, а и οὐσία по аналогии с философскими построениями неоплатоников (заимствованными ими у стоиков) в виду совпадения пр. Максима с неоплатониками в философской терминологии. Впрочем, учение о λόγοι непосредственно почерпнуто пр. Максимом (как он сам даёт понять в глухой цитате в Quaest, ad Thal. XIII, 296 А; а прямо – в Ambigua, PG. 91, 1085 А) у Дионисия Ареопагита, De div. nominibus V, 7. PG. 3, 821 A – В: V, 8. 824 С.
Δυνάμει, ἐνεργείᾳ – термины Аристотелевой (перипатетической) философии, усвоенные также неоплатониками.
Преп. Максим дополняет мысль преп. Фалассия согласно с Немезием (О природе человека, гл. 44, PG. 40, 804 В, р. 174: русск. пер. Ф.С. Владимирского, стр. 199): последний против перипатетиков доказывает, что промысл простирается не только на виды, но и на отдельные существа).
Μἑρη μερικά означает частное, индивидуальное бытие в отличие от τὰ καϑ’ ὅλου, т. е. видов (Ambigua, PG. 91, 1313 В). И виды и индивиды (отдельные существа) образованы по определённому λόγος’у, основоначалу (идее, согласной с мыслью и волей Божией); те и другие имеют свой логос. Таким образом, есть логосы индивидуальные и логосы общие, видовые (ibid.). Последние, конечно, существуют в первых, как общее в частном. Каждый отдельный предмет имеет в себе в индивидуальном логосе общий. Этот общий логос и имеется в виду в дальнейшем изложении. Так как в данном случае речь ведётся собственно о людях, то их и нужно у пр. Максима разуметь под «отдельными существами», равно как под «общим видом» – естество человеческое. Термин «общий вид» в ближайших словах получает новое определение: – логоса («основоначала») «разумной сущности», т. е. (в данном случае) логоса человеческого естества. И тот и этот термины – понятия соотносительные, и потому употребляются одно вместо другого. Впрочем, это не означает их тожества; понятие естества включает в себе понятие λόγος’а, естества, как часть (см. прим. 3 на стр. 56). Под логосом человеческого естества для нашего обыкновенного познания разумеется совокупность существенных признаков, образующих понятие человека; для внешней же действительности и для таинственного познания умозрителя – творческая духовная сила, сохраняющая бытие естества в определённых для него рамках (Orat. Dom, expositio, PG. 90, 901 D; Ambigua, PG. 91, 1085 A. 1081 A). Логос естества во всех одинаков, ибо всем одинаково присущ по естеству, равно как и естество у всех одинаково. Если далее речь идёт об «уподоблении» всех общему виду, или объединении с общим логосом естества, то речь, очевидно, касается не природы, а произволения человека (см. схолию 2) и тех частых уклонений от нормы естества, какие допускает греховная человеческая воля.
О благобытии см. выше стр. 45, пр. 5.
Это τῷ ὅλῳ немного ниже выступает, как τὰ καϑ’ ὅλου. Отсюда и переводится нами в принятом для этого термина смысле (см. прим. 1).
Γνώμη, это – воля, произволение; точнее (как момент волевого процесса) – склонение или расположение воли к определённому решению после предшествующей борьбы мотивов, акт самоопределения (Ad Marinum, PG. 91, 17 С, ср. выше, стр. 14, прим. 1). Обычно у пр. Максима этот термин употребляется для обозначения воли, не имеющей (de facto) идеальных устоев, постоянно колеблющейся между добром и злом, постоянно стоящей в нерешительности пред выбором того или другого (Disputatio, PG. 91, 398 D) и большею частью зависящей от мотивов и побуждений случайного характера – разного рода пристрастий, симпатий, настроений, житейских соотношений (ср. Ad Marinum, 28 D – 29 А; Cap. de charitate J, 70). В этом смысле γνώμη у пр. Максима противополагается естеству и естественной воле, всегда помимо колебаний стремящейся к добру (De duabus unius Christi voluntatibus, PG. 91, 192 BC), и считается признаком не естества, а ипостаси, т. е. признаётся особого рода способом (различным у каждого) проявления естественной воли у человека, вернее же извращением её у падшего естества. Этой γνώμη создаются все столкновения и разделения между людьми (Orat. Dom. expositio, PG. 90, 893 В). Её, поэтому, необходимо подчинить логосу естества, общему виду или проще – общности естества, и во всём согласовать с ним, чтобы объединить людей друг е другом и с логосом естества (видовым основоначалом, по природе присущим каждому), а вместе с тем и с его источником – Богом (ibid. 901 С – D, Ер. 2, PG. 91, 400 В). Это – необходимое условие обожения.
Можно поставить вопрос: каким образом λόγος естества получает применение в нравственной жизни людей, и как в частности происходит объединение каждого человека (по воле) с λόγος’ом, или общим началом естества? У пр. Максима находим такой ответ. В λόγος’е естества, когда он внутренним оком постигается человеком, отчётливо познаются две стороны: 1) полная зависимость его по бытию от Бога (логос есть энергия Божия) и независимость от условий внешнего существования; 2) одинаковость его у всех отдельных существ одного и того же рода. Отсюда из непосредственного духовного созерцания λόγος’а естества человек убеждается в необходимости а) искать опору бытия и блага только в Боге (Ambigua, PG. 91, 1116 С – D) и безразлично относиться к условиям внешнего существования, как стоящим ниже идеала естества, и притом временным и тленным (ibid. 1113 D; Orat. Dom. expositio 901 A), и б) придерживаться в отношениях к людям того же единства, какое дано в общности их природы. Последнее выражается в том, чтобы любить всех равной любовью, и ни в коем случае не разрывать единства природы, а вместе с тем и единства с логосом естества, разного рода проявлениями ненависти и разделения (Orat. Dom. expositio, PG. 90, 901 C – D; Ep. 2, PG. 91, 401 A), этими выражениями гномической (лично-самопроизвольной) эгоистической воли, а, напротив, согласовать произволение (γνώμη) с естеством и в такой же степени выражать в нём общность естества, в какой она помимо произволения осуществлена в природе (Ер. 2, РG. 91, 396 С. 400 В), чтобы вместе с тем возвести его до идеала воли естественной. Таким образом, по учению пр. Максима, объединение с λόγος’ом естества, имеющимся в каждом человеке, достигается любовью к людям. Вместе с этим объединением достигается и объединение его с другими людьми, т. е. со всем естеством (ibid. 400 С).
Т. е. людей, к которым одинаково относится λόγος разумной сущности (идея человека), как существенный признак.
Понимание Ин.5:17 у пр. Максима, в общем, такое же, как у св. Григория Богослова в Or. 30 (de theol. IV), n. 11, PG. 36, 117 В; русск. пер. III3, 72 (сохранение бытия твари и домостроительство спасения).
Ср. у св. Григория Бог., Or. 28, n. 1. PG. 36, 25 I); русск. пер. III3, 12.
Душа пребывает одинаково во всех членах тела (св. Григорий Нисский. Об устроении человека, гл. XII, PG. 44, 160 А; ХIV, 173 D; XV. 177 В; русск. пер. I, 115. 131. 135), как оживляющее начало. Если бы она не соприкасалась с каким-либо из членов его, то он был бы не живым, а мёртвым. Так и Божество в будущем обожении будет всецело обнимать естество спасаемых.
Общие сущности (οὐσίαι), о которых речь была в начале II ответа, в схолии отождествляются с ὕλη, материей (в аристотелевском смысле). Под последней разумеется бесформенная основа бытия, принимающая в зависимости от того или другого формирующего начала ту или другую форму. В этом смысле она (ἡ ἀπλῶς, λεγομένη οὐσία) подвержена так сказать сжиманию (συστολή) и расширению (διαστολή), т. е. движению от самого родового рода до самого видового вида (т. е. до отдельного индивида или существа) и обратно (Ambigua, PG. 91, 1177 В – С; ср. о διαστολή в телах в Ер. 7, PG. 91, 428 А). В строгом смысле отождествлять её просто с веществом нельзя, ибо οὐσία является субстратом также и для существ духовно мысленных (Ambigua, PG. 91, 1400 С), формируемых их логосами (ibid. 1345 В).
Читаем, как Fr.: καὶ διὰ τί παρὰ τοῖς (εὐαγγελιστοῖς) вместо Segm. и Reg; πῶς τοῖς.
Ἐπιβολή значит домысл, догадка. В созерцании (ϑεωρία) тайн Писания более подходящим будет принятое нами для перевода слова: «созерцание». Последнее мы употребляем в широком смысле – процесса созерцания (ϑεωρία) и в узком – отдельного его акта, (ἐπιβολή), наития.
Ср. Ambigua, PG. 91, 1252 С – D.
Деятельным любомудрием, или практической философией (πρακτικὴ φιλοσοφία), короче – деланием (πρᾶξις), называется у пр. Максима упражнение в разного рода подвигах с целью освобождения от страстей и стяжания истинной духовной жизни. В подвижнической жизни – это первая ступень духовно-нравственного развития человека, подготовляющая его к духовному созерцанию (второй ступени). Содержание практической философии образуют подвиги умерщвления плоти (Qu. ad Thal. III, 273 В (в перев. см. стр. 62; LXIV, 705 В), несение трудов и страданий вольных (пост, бдение, спанье на земле и т. п.): (Сар. de charitate II, 24) и невольных (бедствий, обид: ibid. II, 66; IV, 83), стяжание добродетелей воздержания, целомудрия, нестяжательности, смирения, терпения, кротости, любви, борьба с противоположными им помыслами, духовное трезвение и молитва (см. в нашей брошюре: «Преп. Максим Исповедник и византийское богословие». Киев 1915, стр. 95–104).
Эта ступень духовной жизни чаще называется у пр. Максима «естественным (т. е. согласным с естеством) духовным созерцанием» (например, ниже в вопросе V, 280 В; см. в цит. нашей брошюре, стр. 93, пр. 1). Достигший её получает способность духовного зрения, открывающую ему внутреннюю таинственную сущность бытия – духовные его основоначала (λόγοι), или идеи Божии (см. цит. брошюру, стр. 104–108; а также выше, стр. 2–3).
Отрывок, начиная с пр. 2, на стр. 61, составляет Сар. quing, I, 67 (Добротолюбие: Умозрит. и дeят. главы, 117, т. III2, 259).
У Мф.26:18 не упоминается о человеке с кувшином воды, а прямо говорится: идите во град ко о́нсице и рцыте ему, учитель глаголет: время Мое близ есть: у тебе сотворю пасху со ученики Моими.
Так у Мк.14:13–14 и Лк.22:10–11.
Разумеются самые общие созерцания о тварном бытии, о самых общих и необходимых его формах (Quaest. ad Thal. LXIV, 708 В; LXV, 757 С). Пройдя их и возвысившись над ними, мысль приближается уже, так сказать, к границам бытия Божественного, вступает в область сверхъестественного и достигает премысленного и таинственного соединения с Богом.
Ср. Ambigua, PG. 91, 1364 В – 1365 С.
Мир мысленный собственно находится не под временем, а под веком, как формой своего бытия: Ambigua, PG. 91, 1164 ВС. 1397 АВ.
Предлагаемый Акафист не рассмотрен высшей церковной властью и потому печатается здесь не для чтения при богослужении. Ред.
Читатели писем князя Д. А. Хилкова, напечатанных вами в прошлом году, не могли не обратить внимания на то, что орфография автора писем отличается некоторым своеобразием: так, напр., мы нередко встречаем у него довольно необычное употребление заглавных букв, кавычек, а также замечу точкой других знаков препинания и проч. Тем не менее мы предпочитаем, с этой оговоркой, оставить неприкосновенной орфографию автора, за исключением тех случаев, где сохранение ее слишком резало бы глаза, а иногда могло бы вызвать недоумения и относительно смысла речи. M. Н.
H. В. Ковалев, к которому адресованы печатаемые здесь письма князя Д. А. Хилкова, в настоящее время прапорщик русской армии. Родом крестьянин, H. В-ч окончил курс сельскохозяйственного училища, жил в деревне, занимаясь крестьянской работой: пахал, сеял, ухаживал за скотом; служил на железной дороге и на сахарном заводе; занимался шелководством и садоводством; работал на молочной ферме и т. д. – Еще юношей H. В-ч много читал по религиозным вопросам: Паскаля, Л. Толстого, Вл. Соловьева, Добротолюбие и др. Особенно сильное влияние на H. В-ча оказало религиозное учение Толстого. «Я принял умом непротивление» – говорит он, – «его и можно принять только умом; принятое сердцем, уже будет христианство». Однако истинного утоления своей религиозной жажды, H. В-ч в учении Толстого не нашел. Встреча с князем Д. А. Хилковым имела решающее значение в жизни H. В-ча: в нем, по его словам, встретил он «настоящую, живую, искреннюю, благородную душу, редкую и святую»; «при этом», – пишет он, – «произошла перемена в моих взглядах на школу, на государство, на Государя и проч.». – Призванный на военную службу, H. В-ч служил в гвардии стрелком, затем ефрейтором и унтер-офицером; в настоящее время он получил первый офицерский чин и находится в рядах действующей армии. M. Н.
Этот намек князя на возможность перевоплощения («карма») обусловлен временным увлечением его учением Оригена. См. первый выпуск «Писем кн. Д. А. Хилкова», стр. 76, 78, 79 и 118.
Известный рассказ о молодом спартанце, укравшем лисицу, который, боясь быть пристыженным, скрыл ее на груди под платьем. Хотя она царапала и грызла ему грудь, он ничем не обнаружил перед прохожими своих мучений. M. Н.
Д. А-ч преувеличивают достоинства этого труда. Сам автор книги «Сверхсознание» в предисловии к последнему изданию сознается, что в первом издании этой книги он неправильно оценил путь иогов, который он теперь признает не параллельным, а внутренно враждебным христианству. M. Н.
П. Таннери. Первые шаги древнегреческой науки. СПб. 1912. Стр. 324–329.
Столетов, Введение в акустику и оптику. М-ва. 1895, стр. 60–61.
См. Бог. Вест. Май. 1916 г.
Introd ad. Theol. I. См. прим.
См. прим.
In omnium (как иудеев так и язычников) conversionem magnam suam clementiam ostendit (Deus), quibus videlicet ante fidem nullum inesse meritum constat, quia sine fide impossibile est placere Deo (Hebr. 11, 6). Expos, ep. Rom. IV, 11 c. 936 D. Catholica tides, id est universalis, ita omnibus necessaria est, ut nemo discretus absque ea salvari possit. Introd, in theol. 4 c. 986 С. О сотериологическом значении веры в Христа для ветхозаветных праведников и языческих мудрецов см. прим.
Aliud est credere Deum, ut videlicet ipse sit, aliud est Deo, id est promissis vel verbis ejus, quod vera sint, aliud in Deum. Tale quippe est credere in Deum, ut ait Augustinus super Ioannem, „amare, credendo diligere, credendo tendere ut membrum ejus efficiatur». Credunt itaque daemoni quoque et reprobi Deum, credunt Deo, sed non in Deum. Expos. Ep. Rom. II, 4 c. 840 A. Qui in fide proflciunt, semper bonis operibus adjiciunt meliora. ib. br. 875 C.
Cum nunc tria manere dicantar, fides scilicet, spes, charitas (1Cor. 13.13), sola charitas nunquam excidit... Ex quo et merilo major dicitur, tam dignitate perseverantiae, quam remunerationis debito; cum ipsa videlicet sola, ut arbitror, remuneratione sit digna. Introd, ad theol. 1, 2 c. 984 CD. Sola charitas virtns appellanda est. Dialog, int. philos... 1648 B. Electi ad vitam aeternam praeparantur per fidem illuminati, quam primo tanquam omnium bonorum fundamentum suscipiunt, vocantur post modum per spem illexi, cum jam misericordia Dei et virtute sacramentorum cognita ad bene operandnm alliciuntur, propter aeternorum scilicet retributionem: deinde justificantur siucera charitatis affectu. Expos, ep. Rom, III, 8 c. 907 AB. Cfr. ib. V, 15 c. 966 B: Hexaem. 770 D. Различие веры от надежды Абелярд определяет в таких чертах: Spem in fide tanquam speciem in genera comprehendi existimo. Est quippe fides existimatio rerum non apparentium, h. e. sensibus corporis non subjacentium; spes vero expectatio aliquod commodum adipiscendi, quando videlicet quis credit se aliquod bonum assecuturum esse. Introd, ad Theol. 1, I c. 981 C.
См. прим.
Justitia Dei, id est justa ejus remuneratio sive in electis in gloriam, sive in impiis ad poenam liquide et perfecte (in Evangelio) continetetur et traditur... Maxima autem haec in Evangelio revelari et distingui arbitror, ubi Dominus cuncta quae fiunt secundum radicem intentionis examinat... Quae quidem opera Judaei magis quam intentionem attendebant, cum nunc Christiani naturali suscitata justitia non tam attendant quae fiunt, quam quo animo fiunt. Expos, ad Rom 1, 1 c. 801 AB.
Justus et fide vivit (Habac. 2, 4), id est secundum quam revelationem factam de bis videlicet quae credenda sunt tarn de poena impiorum. quam de praemiis justorum, quilibet electus in sua perseverans justitia, dum haec videlicet cavet quae punienda credit, et contraria quae placitura Deo credit appetit, ib. 801 C.
Novi tripertita est discipline Testamenti, ubi quidem Evangelium pro lege est, quod verae justitiae ас perfectae formam docet. ib. Prolog. 783 C. Voluit tamen Dominus et ab apostolis et a sanctis patribus quaedam superaddi praecepta vel dispensations quibus adornetur et amplificetur ecclesia velut civitas sua, vel ipsa civium suorum tutius muniatur incolumitas. ib. 784 B.
Justificationem dicit (apostolus) perseverantiam justitiae, quae justum facit. Non enun Justus dicitur qui aliquando juste agit, sed qui hoc in consuetudine habet. ib. II, 4 c. 859 AB.
Vera animae vita, sive hic in virtutibus, sive in aeterna beatitudine facta mortificantur, tanquam si parvulus in utero conceptus antequam nascatur exstinguatur ...sicut scriptum est: Beatus, qui tenebit et allidet parvulos suos ad Petram (Ps. 136, 9), id est consepta per aliquam suggestionem mente peccata, adhuc quasi parvula sint, mortificabit atque interficiet, allidendo ad petram... quod Christus est; dum quod per intirmitatem carnis mens humana concupiscit, per amorem Christi ratio roborata ne perficiatur, satagit. ib. HI, 8 c. 901 CD.
Lahore maximo fructum bonorum operum proferre meditantur. ib. HI, 8 c. 905 A. Laborantes et oneratos ad suave jugum et onus leve sumendum Dominus exliortatur, ut videlicet deservitute legis, qua premebahtur, ad libertatem transeant Evangelii, et qui a timore incoeperant, charitate cousummentur, quae sine difficultate omnia suffert, omnia sustinetr nihil quippe amanti difficile, maxime. Cum non carnalis, sed spiritalis amor Dei tanto est fortior, quanto verior. Ethica 16 c. 659 BC.
Difficile, imo impossibile nostrae infirmitati videatur immunes omnino a peceato manere... Si autem proprie peccatum intelligentes solum Dei contemptum dicamus peccamus, potest revera sine hoc vita ista transigi, quamvis cum maxima difficultate, ib. 658 B.
Monachi expediriores vel promptiores ad divinum fiunt obsequium, secularium aftectionum vinculis absoluti. Serino XXXIII. 582 D. Монахи, inspiratione et virtute divina,... ita in carne vivunt, ut vitia carnis nesciant. et humanitatis obliti virtute fiant angdici. ib. 583 A.
Sacramentum est visibile signum invisibilis gratiae Dei Introd, ad theol. 2 c. 984 AB.
Necessarium est.... ut Ecclesiae fidelis aggregetur et saeramenta ejus participet. Expos. Ep. Korn. IV, 10 c. 925 D. Quis divinorum sacramenta beneficiorum, quae in Ecclesia fiunt. operationi divinae gratiae, qua Spiritus S. intelligitur, nesciat specialiter ascribi? Ер. 1, 12 c. 163 AB.
Si praecepto Domini ante octavam diem a circumcisione parvi inhibeantur, videtur crudelis divina sententia in damnationem talium qui et his circumcisionem necessariam institute, et circumcidi qnando possent non permittit... Sed hoc quidem objectioni in nostri quoque sacramenti institutione, id est baptismi redundare videtur, cum videlicet propter aquae tantum absentiam deesse nonnullis baptismum contingat, quem in aqua solummodo Dominus constituit, nec tamen eos, cum vel ipsi ad hoc nitantur, vel alii propter eos. salvandos esse definimus absque baptismo, nisi interveniat marturium. Providentiae itaque divinae omnem ejus dispositionem cominittentes, qui solus novit quare hunc elegerit, illum vero reprobaverit, auctoritatem Scripturae quam ipse dedit immobilem teneamur, ut videlicet tempore circumcisionis nnllos de semine Abrahae sine ilia mortuos temere asseramus salvari, nisi torte pro Domino interfecti sint, sicut de innocentibus creditur. Expos. Ep. Rom. II, 4 c. 845 CD – 846 A.
Filiis primorum parentum, quibus pariter omnibus etiam pro cuipa ipsorum patrum iratus est Deus... singulis propria necessaria est absolutio, quae levissima nobis institute est in baptismo, ubt pro alieno quo obligantur peccato aliena tides patrinorumque confessio intercedat. ib. 5 c. 872 BC.
В крещении ita interior homo a peccatis mundatur, sicut exterior a corporalibus sordibus. Introd, in theol. 1, 2 c. 984 A.
Ср. мой цит. очерк.
Apud Dominum sola amantis fides ad justitiam sufficiat. Expos. Ep. Rom. II, 4 c. 839 D.
Abrahae fides, qua in Deum credidit, reputala est ei apud Deiuu in justitiam, id est. Deus eum justum esse reputavit, et remuneratione justorum dignum judicavit. Dixi reputa est, ergo quaeramus, in ipso Abraham quomodo id est quando sit ei reputata fides ejus in justitiam, utrum videlicet antequam circumeideretur vel post ut per eum videlicet et de caeteris hominibus judicare possimus utrum videlicet soli circumcisi hanc beatitudinem justitiae assequantur, an non. Et hoc est quod ait scilicet requirendo et statim solvendo. In circumcisione, id est priusquam circumcisus fuit, In praeputio, id est antequam circumcideretur, dum adhuc videlicet praeputium retineret. ib. 842 ВС. Что, по Абелярду, таинство обрезания является существенно равнозначительным таинству крещения, и что отмеченные суждения Абелярда об обрезании приложимы и к вопросу о крещении, – видно из его заявлении в Expos. Ер. Roin. II, 4 с. и II, 3 с.
Forte quaereret aliquis quare superfiue circumcisionem acceperit Abraham. cum ante justilicatus fuerit, nihilque in ea justilicationis acceperit.1 Et idee hane quaestionem praeveniens ait, non ad justificationem aliquant eum hoc signum exterius suscepisse, sed a dsanctificationem et ostensionem jusiitiae, quam jam habebat in mente dum adhuc in praeputio esset. Et hoc est quod dicitum signum accepit etc., id est circumcisionem accepit pro signo, et cujus rei signo statim supponit. ib. 842 G. Rayd, обращая внимание в приведенной тираде на слова: ad sanctificationem... justitiae, отмечает, что с этими словами можно связывать ту мысль, dass der subjective Glaube an sich noch nicht rechtfertigend war, wenn nicht die sanctificatio, die Anrechnung von Seite Gottes, dazu kam, die eine reine Gnadensache war (o. c. 266–7 ss). Но в виду того, что, по замечанию самого Гайда, Абелярд очевидно не имел такой мысли (an das nicht dachte), поскольку она не вяжется ни с контекстом речи, ни с общим характером учения Абелярда об обрезании? не имеем ли мы в данном случае дело просто с неисправностью текста его сочинений, – не следует ли вм. ad sanctificationem etc. читать ad significatiotiem et ostensionem justitiae.
Ne quis Judaeororum nobis, imo Apostolo. posset opponere, nos quoque per legem factotum, id est exteriorum operum, sicuti baptismi justificari sufficiat nos hoc de nostra justificatione. imo omnium quae in charitate consinit interposnisse, et autequam sacramenta suscipiantur sive nostra, sive iderum. Quod et propheta considerans ait: In quacunque hora peccalor ingemuerit salvus erit. (Ezeck. 33, 12). ib. II, 3 c. 838 BC.
Post baptismum parvulos et qui nullius discretions sunt, quantvis remissionem perceperint peccatorum, nondum tamen justos dicimus, quamvis mundi sint apud Deum, qui nondurn aut charitatis ant justitiae capaces esse possunt, nec aliqua merita habere, jb. 838 B.
Qui tamen si in hac, imbecillitate moriantur, cum incipiunt de corpore exire, et vident sibi per misericordiam Dei gloriam praeparatam, simuleum discretione charitas Dei in cis nascititr. ib.
Hayd. о. с. 262 s. Deutsch. 402 s.
Р. Schmoll. Die Busslehre d. Fruehscholastik. Muenchen. 1909. 29 s. – Характерно, что автор Epitome theol. christ. трактат о покаянии даже помещает не в отделе de Sacramento, где речь идет лишь о крещении, и, конфирмации, евхаристии, последнем помазании и о браке, а в отделе cе caritate (1756–1758 се. Cir. 1747 С.), Своеобразное противоположение покаяния собственно таинствам можно усматривать в следующих словах Абелярда: (credimus) remissionem peccatorum. tam per poenitentiam. quain per virtutem ecclesiasticorum sacramentorum. Expos, symb. apost. 630 A.
Tria sunt in reconciliatione peccatoris ad Deum, poenitentia scilicet, confessio, satisfactio. Ethica 17 c. 661 А. Что poenitentia в данной тираде является синонимом contritio, видно из слов Абелярда в тойже Этике: gelniuis et contritio cordis, quam veram poenitentiam dicimus. ib. 19 c. 664 1).
Poenitentia proprie dicitur: Doloi animi super ea in quo deliquit, cum oliquem scilicet piget in aliquo axcessisse (Sap. 5. 2–3). Haec autem poenitenlia tum ex amore Dei aceidit et fructuosa est. ib. IS с. 661 A.
Quod fidelis anima supradixit in psalmo se inelinatam ad bona opera foisse propter retributionem (Ps. 118, 112), inehoationem bonae operationis. non perlectionem ostendit. Quisque etiam imperfectus primo ad bene operandum, id est ad praecepta Dei implenda spe retributionis allicitur, et timore potius quam amore sicut scriptum est: Initium sapientiac timor Domini (Ps. CX. 10). Expos Ep. Rom. III, 7 c. 893 B. Dicit (apostolus) donum illud servilis timoris, quo non a mala voluntate, sed a mala eompescituur setione formidine poenae. ib. S с. 902 D. Подготовительное значение выполнения заповедей Божиих из страха наказаний или из расчета на награду по отношению к подлинному оправданию человека «искреннею любовию» к Богу отчетливо выступает в следующем замечании Абелярда: предопределенные ко спасению сначала ad bene operandum alliciuntur propter aeternorum scilicet retributionem: deinde justificantur sincerae charitatis affectu, non jam Deo tam propter sua, quam propter ipsum adhaerentes. ib. 8 c. 907 В. Правда, в проповедях Абелярда иногда встречаются обращенные к христианам увещания tam timore districti judicis. quam amore Domini peccata corrigere (Serm. XXVII, 550 В) и т.п. Но эти беглые замечания в общем не разрушают его основной точки зрения по данному вопросу. По справедливому замечанию Гунцингера, такие выражения Абелярда лишь свидетельствуют, wie schwer der theoretische Satz, dass die Busse aus dem amor justitiae hervorgehen müsse, für die Praxis des christlichen Lebens zu ertragen war. Die Predigt noetigte offenbar den Abälard... zur Rectifizierung seiner These vor dem processus poenitentiae ex amore (А. W. Hwnzinger. Das Furchtproblem in d. Kath. Lehre von Augustin his Luther. Lpz. 1906. 67 s.).
Legimus et poenitentiam Judae super hoc qnod Dommum tradiderat: quod non tam pro culpa peccati, quam pro vilitato sui, qui se omnium judicio damnatum sentiebat credimus accidisse... Multos quippe quotidie de hac vita recessuros de flagitus perpetratis poeniteri videmus, et gravi compunctione ingemissere non tam amore Dei, quem ofenderunt, vel odio peccati quod commiserunt, quam timore poenae in quam se praecipitari verentur. Ethica. 18 c. 661 ВС. Автор Epitome theol. christ. категорически заявляет, что сокрушение кающегося грешника должно определяться non timore poenae, sed amore justitiae; alioquin non est cordis contritio ad salutem, sed mentis consternatio ad damnationem... Talis igitur contritio nullius meriti est apud Deum. 35 c. 1756 B.
Cum hoc gemitu et contritione, quam veram poenitentiam dicimus, peccatum non permanet, hoc est contemptus Dei, sive consensus in malum, quia charitas Dei hunc gemitum inspirans, non patitur culpam. In hoc statim gemitu Deo reconciliamur, et praecedentis peccati veniam asseqnimur. juxta illud prophetae: Quacunque hora peccator ingemuerit, salvus erit (Ezech. 33 14), hoc est salute animae suae dignus efficietur. Non ait: quo anno, vel quo mense, sive hebdomada, vel quo die, sed qua hora: ut sine dilatione venia dignum ostendat; nec ei poenam aeternam deberi, in qua consistit condemnatio peccati. Eth. 19 c. 664 D. Cfr. Expos, Ep. Rom. II, 4 c. 840 С. Ср. прим. 6.
Etsi articuio necessitatis praeventus non habeat locum veniendi ad confessionem, vel peragendi satisfactionem, nequaquam in hoc gemitu de hac vita recedens gehennam incurrit. Eth. 19 c. 665 A.
Quisquis jam paratus est ad confessionem et suscipiendam indo peccati satisfactionem, et hoc statim suo proposito ita reconciliatus est Deo, ut si aliquo casu praeventus hoc implere praepidiatur, uequaquam de ejus salute sit desperandum. Serm. 8. 443 D). Автор Epitome theol. christ. выражает мысль о принципиальной общеобязательности сакраментальной исповеди в очень Определенной форме: Si articulo necessitatis imrninente non confiteatur, non propter hoc aeternaliter pumetur. Si autem ex contemptum vel ex negiigentia remanserit, de hac aeternaliter puniendum asserimus. Neque enim veram cordis contritionem habuisse videtur, et si haluerit, et hoc tamen quod instituta Ecclesiae contemnit, aeternaliter puniendus esse cenvincitur. 36 c. 1756 D – 1757 A.
Cfr. K. Müller. Der Umschwung in der hehre v. d. Busse während des 12 Jahrhunderts. Theolog. Abhandlungen C. v. Weizsäcker... gewidmet. Freiburg i. B. 1892. 314 s. Правда, у Абелярда эта мысль не высказана с полной определенностью, а представляет логический вывод из его общего учения о покаянном сокрушении. Наиболее яркое выражение она получила у Петра Ломбарда, который в данном пункте, несомненно, стоит на почве абелярдовской традиции. Solus Deus dimittit peccata et retinet, et tamen ecclesiae contulit potestatem ligandi et solvendi. Sed aliter ipse solvit et ligat, aliter eccelesia. Ipse enim per se tantum dimium peccatum, quia et animam mundat ab interiori macula et a debito aeternae mortis solvit. Non autem hoc sacerdotibus consessit, quibus tamen tribant potestatem ligandi. id est, ostendendi homines ligates vel solutos. Sum sen. P. I. 192 t.
Ср. стр. 545–6.
Profecto cum nullum peccatum credatur impunitum, nequaquam a debito poenae ipsi poenitentes prorsus sunt absoluti. ut si non damnatoriis, saltem purgatoriis in hac vita, sive in futura subjaceant poenis. Serm. XIV. 495 B. Non enim Deus cum peccatum poenitentibus condonat, omnem poenam eis ignoscit. sed solummodo aeternam. Eth. 19 c. 605 A. Tunc tecta sunt peccata, quando in hoc saeculo satisfactio sequitur. Quae quidem satisfactio et purgatorias exstinguit saecnli altcrius poenas. cum prius poenitentia poenas deleverit damnatorias et gehennales. Tunc ergo tecta sunt ante oculos judicis peccata, quando hec pro eis nihil videt, quod puniat. Expos, Ep. Uoni. II. 4 c. 840 D.
Venialia aut levia peccata non magnae satisfactionis poena corrigenda. Eth. 15 c. 658 D.
Egerunt Adam et Eva ejecti de paradise in sudore vnitas et doiore partus vel caeteris afflictionibus poenitentiam de cotiunissa trangressione et propitiatus est Deus eis propria ipsorum satisfactione. Expos. Ep. Rom. II. 5 c. 872 AB. Tantam in dissolutione mortis passionem esse certum est, ut pro quovis peccato, irrogata quamvis sit brevissima poena, ad purgatirnem tamen ejus, quod non aeterna damnatione dignum fuerit, sufficere credatur. Dial. Inter. phil. 1674 C.
Magna misericordia Dei, cum nos nostro judicio dimitrit, ne ipse puniat graviori. Has autem poenas vitae praesentis, quibus de peccalis satisfacimus, jejutiando, vel orando, vigilando, vel quibuscunque modis carnem macerando, vel quae nobis subtrahimus, egenis impendendo, satisfactionem vocamus. quas alio nomine in Evangelio fructus poenitentiae novimus appellari. Eth. 23 c. 672 B.
Reddetur peccatoribus ira et indignatio (Rom, 2,8), quam videlicet meruerunt, id est vindicta Dei sine eorum patientia. Electi vero, si qua in ipsis quandoque puniuntur, ut videlicet purgentur, patienter sustinent, hec inde irascuntur, sed potius gaudent, atque grates referunt. Expos. Ер. Rom. I. 2 811 C.
Qui plagae quaerit medicamentum, quantumque ipsa sordeat, quantumque oleat, medico revelanda est, ut competens adhibeatur curatio. Medici vero locum sacerdos tenet, a quo instituenda est satisfactio. Eth. 24 c. 669 B. Sacerdotibus tanquani animarum medicis peccata confiteri debemus, ut ab eis satisfactionis cataplasma sumamus. Serm. VIII. 442 B.
В этом отношении характерными, напр., представляются суждения Абелярда, высказываемые им в (письме к Элоизе) по поводу постигшего их бедствия, которое разрушило их любовную связь. В этом бедствии он усматривает и закономерное наказание им со стороны правосудия Божия (justissima plaga), и вместе с тем нравственно врачебное средство, которым Господь их, licet invitos, обратил к добродетельной жизни. Quod si divinae in nobis justitiae nostram velis utilitatem adjungere, non tam justitiam, quam gratiam Dei. quod tunc egit in nobis poteris appellare. Ep. V, 296 А. Ср. рус. перевод этого письма: П. Абелярд. История моих бедствий. Перев, с лат. И. О. Морозова, под ред. проф. А. Трачевского. СПБ. 1902 г. 72–74 стр. – Указывая на виндикативное и нравственно-воспитательное значение посылаемых Богом житейских скорбей, Абелярд отмечает, что иногда этим бедствиям подвергаются и совершенно невиновные люди: для таких людей они служат ad augmentum meriti. Dial, inter philos. 1678 C.
См. прим. 1, стр. 545.
Qui diu male vivendo abusus est potestate sua, jam non proprio, sed alieno quod deliquit corrigere debeat arbitrio, hec jam sui juris est in talibus agendis, sed alieni, Serm. VIII, 440 CD.
Quia post poenitenuam confessio restat peccati, vocatus Lazarus foras exit, dum se poenitens per confessionem peccatorum prodit, et de profundo vitiorum Lamquam de sepulcro surgit. Sed quia hic talis excommunicari meruerat, et ab Ecceiesia expulsis vinculis anathematis, adhuc religatus erat pro tam manifestis criminibus suis, procedere dicitur ligatus pedes et manus et sudario faciem involutus. Quislibet excommunicatus a praelatis. qui jam per poenitentiam et confessionem Deo sit reconciliatus, tamen ab ipsis Ecclesiae ministris anathematis vinculis est absolvendus. ib. 440 BC.
Quae sit illa potestas, vel clavium regni coelorum, quas apostolis Dominus tradidit, ac similiter eorum vicariis, scilicet episeopis, concessisse legitur, non parva quaestio videtur. Eth. 26 c. 673 c.
Quod Dominus apostolis ait: Ioan. 20,23, ad personas eorum non generaliter ad omnes episcopos referendum videtur, sicut et quod eis alibi ait:
Vos eslis lux mundi, et ros estis sal terrae. (Matth. 5, 18). ib. 674 A. Patenter Origenes ostendit, sicut et manifesta ratio habet, quod in his verbis (- Matth. 16:19), quae diximus Petro concessum est, nequaqnam omnibus episcopis a Domino collatum esse; sed his solum, qui Petrum non ex sublimitate cathedrae, sed meritorum imitantur dignitate. ib. 675 C.
Ср. прим. 1, стр. 548.
Ipse quippe Dominus Jesus se spiritalem medicum appellans ait; Matth. 9. 12... Hujus locum sacerdotes in Ecclesia tenent. Serm Vlll, 442 A.
Quis vetet quemlibet personam religicsiorem, vel magis discretam eligere, cujus arbitrio satisfactionem suam committant, et orationibus jeus plurimum adjuvetur?.. Sictit enim multi fiunt imperiti medici, quibus infirmos committi periculosum est aut inutile, ita et in praelatis Ecclesiae multi reperiuntur, nec religiosi, nec discreti, atque insuper ad detegendum conttentium peccata leves, ut confiteri eis non solum inutile, verum etiam peniciosum videatur. Eth. 25 c. 670 С. Эта защита Абелярдом права кающегося избирать себе духовника по свободному усмотрению шла в разрез с господствовавшим в 12 веке направлением церковно-дисциплинарной мысли по этому вопросу, окончательно восторжествовавшим на 4 Латоранском соборе (1215 г.), который сделал прямое постановление, что каждый христианин обязан исповедоваться у своего приходского священника. Si quis antem alieno sacerdoti voluerit justa de causa sua confiteri peccata, licentiam prius postulet et obtineat a proprio sacerdote, cum aliter ipse illum non possit absovere (21 c.). Cfr. P. A. Kirsch. Der sacerdos proprius in d. abendl. Kirche v. d. Jahre 1215, Archiv f. Kirchenrecht. 84 t. (1904. 536–7. 572 ss.)
Ad confessionem peccatorum nos ap. Jacobus adhortans ait: Jac. V, 16. Sunt qui soli Deo confitendum arbitrantur, quod nonmilli Graecis imponunt. Sed quid apud Deum confessio valeat, qui omnia novit; aut quam indulgentiam lingua nobis impetret, non video. Eth. 24 c. 668 BC.
In humilitate confessionis magna pars agitur satisfactionis. ib. c. Насколько исповедание грехов имеет умилостивительное (сатисфакционное) значение, показывает пример Давида, который, cum accusatus а Nathan propheta respondent: peccavi (II Reg. 12, 13), statim ab eodem propheta responsum audivit: Dominus quoque lranslulit peccatum tuum, (ib.): quenim major erat regis sublimitas, acceptior Deo fuit confidens humilitas. il 668 CD.
Orarionibus eorum adjuvamur, quibus confitemur ib. 668 C.
Cfr. A. Gottlob. Kreuzablass und Almosenablass. Stuttgart. 1906 99 ss.
Si quid de poena satisfactionis minus est institutum quam oporteat, Deus, qui nullum peccatum impunitum dimittit, et singula quantum debet pumis, pro quamitate peccati satisfactionis aequitatem servabit... in hac vita, vel in lutura poenis purgatoriis affligendo. Eth. 25 c. 672 A.
Cum indiscreti fuerint sacerdotes, qui haec instituta canonum ignoram, ut minus de satisfactiom quam oportet, injungant, magnum liinc incommodum pornitentes incurrunt... Sunt nonnulli sacerdotum non tam pei errarem, quam cupiditatem subjectos decipientes ut pro nummorum oblarari satisfactionis injunclae poenas condonent vel relaxent. ib. 672 C.
Non solum sacerdotes, verum etiam principes sacerdotum hoc est episcopos ita impudenter in hanc cupiditatem exardescere novimus, ut cum in dedicationibns ecclesiarum, vel in consecrationibus altarium vel benedictionibus coemeteriorum, vel in aliquibus solemnitatibus populares habent convenes, unde copiosam oblationom exspectant, in relaxandis poenitentiis prodigi sunt; modo tertiam, modo quartam poenitentiae partem omnibus communiter indulgentes sub quadam scilicet specie charitabis, sed in veritate summae cupiditatis. ib. 672 D. H. Паулюс, обращая внимание, что в приведенной тираде Абелярд протестует лишь против индульгенций за посещение церковных торжеств, но ничего не говорит о широко распространенных в его время индульгенциях за участие в крестовых походах, делает заключение, что Абелярд не отвергал этого вида индульгенций, поскольку участие в крестовых походах было действительным подвигом, способным заменить сатисфакцию, определяемую за тот или другой грех канонами (N. Paulus. Ablasslehre i. d. Frühscholastik. Zeitsch. f. Kath. Th. 1910, 400 s.). Значение этого воздвигаемого Paulus’ом, аргумента e silentio ослабляется тем обстоятельством, что Абелярд в цитованном месте осуждает индульгенционную практику не только потому, что ослабление сатисфакций дается за незначительные подвиги, но и потому, что это ослабление дается omnibus communiter, каковая «механизация» (Mechanisirung) покаянной дисциплины, по замечанию К. Мюллера и составляет характерную, восходящую именно в эпохе Абелярда, черту собственно индульгенций, в отличие их от практиковавшегося и в древней церкви частичного ослабления канонического наказания тому или другому грешнику, по вниманию иерархической власти к ревностному выполнению им наложенной на него сатисфакции (К. Mueller, о. с. 307 s. Anm.).
Potestatem, ut aiunt, in Petro, vel apostolis susceperunt, cum eis a Domino diceretur: Ioan. 20, 23. ...Licere sibi profitentur et a Domino concessum esse, et qussi in manibus eorum coelos esse positos secundum remissionis vel absolutions peccatorum supra posita testimonia. ib. 673 AB.
Sed profecto si hoc in laude benignitatis habendum est, quod tertiam vel quartam poenitentiae partem relaxant, multo amplius eorum pietas praedicanda erit, si dimidiam vel totam ex integro poenitentiam dimitterent.. Magnae denique impietatis e contrario arguendi videntur, cur non omnes subjectos ab omnibus absolvant peccatis, ut videlicet neminem illorum damnari permittant. ib.
M. Lutheri. Opera latina varii argumenti. 1 v. Francofurti ad M. et Erlangae. 1865. 291–2 pp.
Окончание. См. «Богосл. Вестн.» Май. 1916 г.
Древний перевод, представлен как здесь, так и ниже по рукоп. Москов. Синод. Б-ки № 551.
Текст Досифеевой редакции приводится по рукоп. Москов. Синод. Б-ки, № 216, 135–219.
Ἥσθιεν γὰρ σερῆς καὶ τρόζημα, MPSG. 873, с 3057. В.
В гл. 197 (л. 180, 1) ркп. № 219 это слово опущено.
Описка рукописи древнего перевода.
Тоже
В 72 гл. (т. 150о. 1) ркп. № 219 – отпущено.
Оп., – „димесна“, ркп. Тр. Лавры № 37, л. 242о.
Не принял ли Д. слово «сагы» за описку, вм. «сапогы», почему и передал, его в свою очередь – «сан̾далїа»?
Весьма красноречива самая нерешительность Д. при определении значения слова, которую мы встречаем у него в некоторых случаях. Так, напр., – «имѣх же вещь нѣкᲂую нарѣцаемᲂую палиѡ҆нїи», 1700. 2, 154 гл.; или: «носѧща ѿ сивина коловїи сирѣчь. и̑ли власенᲂу ризᲂу. и̑ли ѿ прᲂутїа ᲂу̑строє҆нꙋ», 1720. 1, 161 гл.
ὤσπερ γάρ ἐπι τῶν δημοτῶν ἐάν τό μέρος τό ἐν τόν βασιλέα εὐφημῇ τό ἄλλο μέρος οὐ λυπεῖται. MPSG. 873, с. 3020.
о̑бьща – κοινά. MPSG. 873, с. 3037.
Ἐν μία οὖν ἡττυθέντος αὐτοῦ τό βαῖν, ἀνέστησαν οἱ τοῦ μέρους αὐτοῦ κράζοντες αὐτῷ. Φιλέρημος εἰς πόλιν βαῖν οὐ λαμβάνει. MPSG. 873, с. 3017.
См. еще главы 197. 221 и др.
Описка, – вм, гл҃ѧ – εἷπεν.
На мелких выпусках этой главы мы не останавливаемся. Бог. Вест. № 6. 1916.
Другими словами, всегда можно удовлетворить целым решениям n и Ц уравнений

или что–то же, уравнение

под условием [50] взаимной простоты a и

. Возможность этого есть частный случай общей возможности найти в целых числах решение уравнения:

в котором a, a1, a2, … an-1 суть данные числа, не имеющие общего делителя (К. Сохоцкий, Высшая Алгебра. Часть вторая, начала теории чисел. СПБ., 1888, стр. 49 и др. курсы по теории чисел).
Статья написана более пяти лет тому назад, вскоре после смерти Л.Н. Толстого. Если она печатается теперь, то только потому, что с намеченной точки здесь зрения Толстой и толстовское не нашли себе освещения в посмертной литературе. А между тем и так, с такого угла зрения, подумать о Толстом людям, ищущим правды, нужно, быть может, кто-нибудь из соблазняющихся и еще не соблазнённых задумается. Только это и позволяет автору печатать статью, несмотря на сознание всех недочетов нависавшего тогда. Весьма заметные в статье недоговорённость и вместе переговорённость происходят как раз от внутренней обязательности выговорить то, что оставалось, остается не выговоренным о Толстом и что так трудно поддается выговариванию. Только невозможность при современных настроениях печати провести статью через какой-нибудь общий литературный орган вынуждает автора обременять страницы «Богославского Вестника» разбором семейной драмы Л. Толстого.
Бирюков. Л. Н. Толстой. Биография, т. II-й.
«Исповедь».
Биограф поясняет: «22 авг. Л. Н-ча посетил Тургенев, который увлекшись общим бесшабашным веселием собравшейся молодежи к удивлению всех, протанцевал в зале парижский канкан».
О котором, в отношении Толстого уже приходилось мне говорить в статье» «Около чуда». (Второй Сборник из-ва «Путь», «О религии Льва Толстого», стр. 207–210.)
Сотрудник Л. Н. Толстого по переписи.
Дочь Сютаева.
В См. статью мою «Около чуда» во втором сборнике «Пути» о Толстом, стр. 207–209.
В. Я. Булгаков «У Л. Н. Толстого в последний год его жизни» (стр. 59).
См. рассказ Лазурского о том, как в семье Толстых младшие дети и С. А. именовали идейных приятелей Л. Н., «Толстовцев» – «темными». «Графиня и её дети часто видали или узнавали от прислуги что какие-то, никому неизвестные, «темные» личности, проходили в кабинет Л. Н. Среди семьи Толстого в отношении их установилась эта кличка... «Вы знаете,– говорила двенадцатилетняя Саша, которой знакомая дама подарила в именины коробку конфет: – папа очень будет недоволен, он ведь темный и не любит, когда едят конфеты»... (В. Лазурский. Воспоминания о Л. Н. Толстом»).
В. А. Булгаков «у Л. Н. Толстого в последний год его жизни» 66-ть.
Там же, 136.
Winer. Biblisches Realwörterbuch. В. 2, Leipzig, 1848, S. 323; cp. Art Richter в Realenencyklopädie Herzog’a, B. 12, Leipzig, 1883. SS. 769–770.
Фентон. Древнейшая жизнь евреев. М. 1884, стр. 42–46.
Bleek. Einleitung in das AT., Berlin 18865 (есть изд. 3–1870. 4-e 1878 г.). S. 171.
Berleau у Schenkel‘я в Bibel-lexicon, SS. 93–94 (Richter), ср S. 12: (Ruth Schrader‘a).
Fürst. Der Canon des AT. S. 129.
Bleek. Einleitung in das А. Т.3 SS. 345 346 (Berlin, 1870); ср. 4 Auf. 8, SS. 181–183 и 5 Aufl. SS. 174–175.
Fürst. Der Canon des AT. S. 11–12.
